Номер 59, страница 165, часть 2 - гдз по математике 5 класс учебник Виленкин, Жохов


Авторы: Виленкин Н. Я., Жохов В. И., Чесноков А. С., Александрова Л. А., Шварцбурд С. И.
Тип: Учебник
Издательство: Просвещение
Год издания: 2023 - 2025
Уровень обучения: базовый
Часть: 2
Цвет обложки: белый, красный, синий с пазлами
Допущено Министерством просвещения Российской Федерации
Популярные ГДЗ в 5 классе
Задачи. Вопросы и задачи на повторение. Глава 2. Дробные числа. ч. 2 - номер 59, страница 165.
№59 (с. 165)
Условие. №59 (с. 165)
скриншот условия

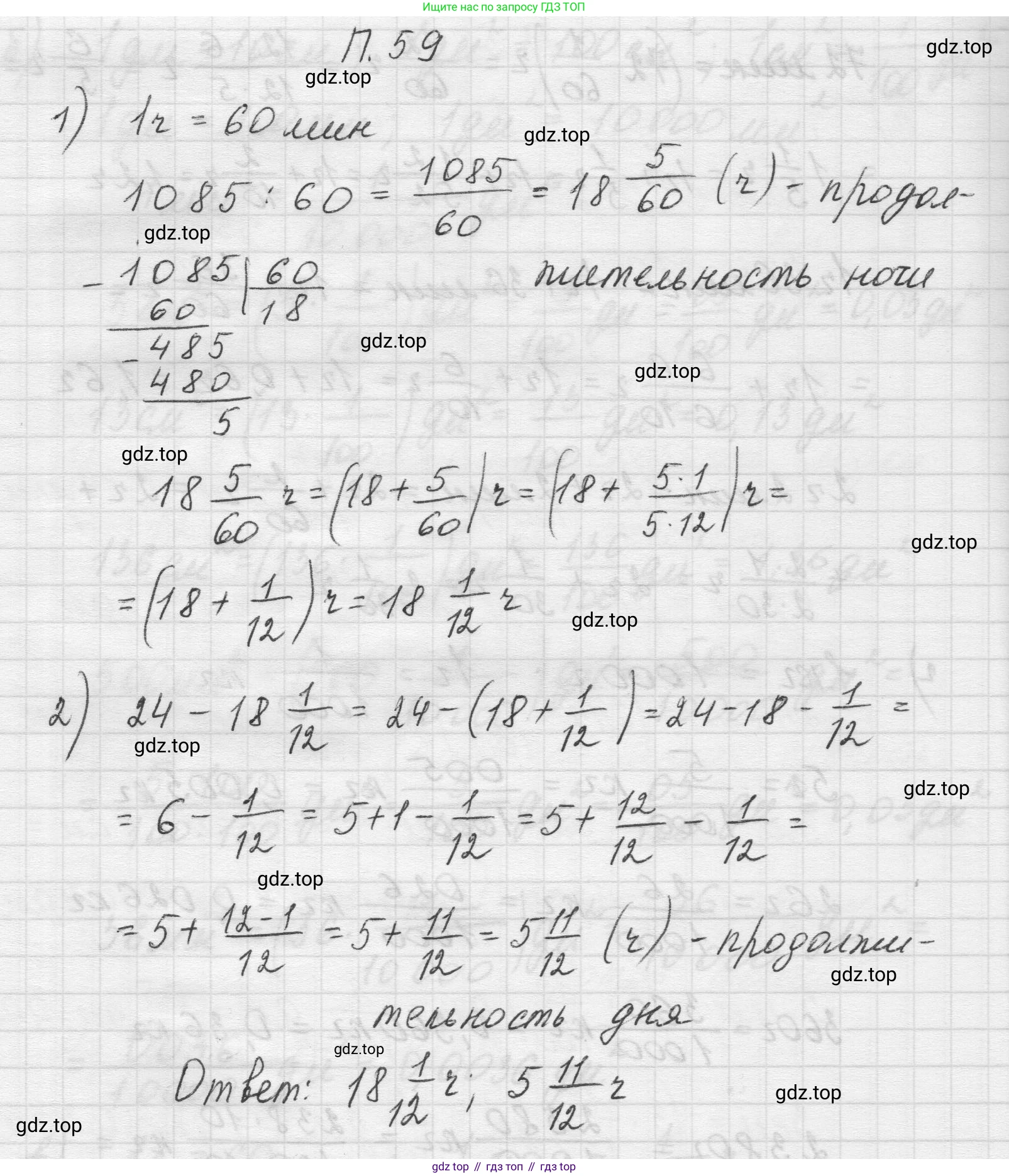
П.59 Самая длинная ночь в Петербурге длится 1085 мин. Выразите в часах продолжительность этой ночи. Какова продолжительность самого короткого дня в этом городе?
Решение 1. №59 (с. 165)
Решение 2. №59 (с. 165)
Выразите в часах продолжительность этой ночи
Чтобы выразить продолжительность ночи, данную в минутах, в часах, нужно разделить количество минут на 60, так как в одном часе содержится 60 минут ($1 \text{ час} = 60 \text{ мин}$).
Выполним деление с остатком для 1085 минут:
$1085 \div 60 = 18$ с остатком $5$.
Это означает, что 1085 минут — это 18 полных часов и 5 минут. Математически это можно записать так: $1085 = 18 \times 60 + 5$.
Ответ: продолжительность самой длинной ночи составляет 18 часов 5 минут.
Какова продолжительность самого короткого дня в этом городе?
Самый короткий день в году соответствует самой длинной ночи. Сумма продолжительности дня и ночи всегда составляет 24 часа (сутки). Чтобы найти длительность самого короткого дня, необходимо из общей продолжительности суток вычесть длительность самой длинной ночи.
Сначала переведем продолжительность суток в минуты:
$24 \text{ часа} \times 60 \text{ минут/час} = 1440 \text{ минут}$.
Теперь вычтем из этого значения продолжительность самой длинной ночи, которая равна 1085 минут:
$1440 \text{ минут} - 1085 \text{ минут} = 355 \text{ минут}$.
Чтобы выразить полученное значение в часах и минутах, разделим 355 на 60:
$355 \div 60 = 5$ с остатком $55$.
Следовательно, продолжительность самого короткого дня составляет 5 часов 55 минут.
Ответ: продолжительность самого короткого дня составляет 5 часов 55 минут.
Решение 3. №59 (с. 165)


Решение 4. №59 (с. 165)

Другие задания:
Помогло решение? Оставьте отзыв в комментариях ниже.
Мы подготовили для вас ответ c подробным объяснением домашего задания по математике за 5 класс, для упражнения номер 59 расположенного на странице 165 для 2-й части к учебнику 2023 года издания для учащихся школ и гимназий.
Теперь на нашем сайте ГДЗ.ТОП вы всегда легко и бесплатно найдёте условие с правильным ответом на вопрос «Как решить ДЗ» и «Как сделать» задание по математике к упражнению №59 (с. 165), авторов: Виленкин (Наум Яковлевич), Жохов (Владимир Иванович), Чесноков (Александр Семёнович), Александрова (Лилия Александровна), Шварцбурд (Семён Исаакович), 2-й части ФГОС (новый, красный) базовый уровень обучения учебного пособия издательства Просвещение.