Номер 765, страница 172, часть 3 - гдз по математике 6 класс учебник Дорофеев, Петерсон
 
                                                Авторы: Дорофеев Г. В., Петерсон Л. Г.
Тип: Учебник
Издательство: Просвещение
Год издания: 2023 - 2025
Уровень обучения: базовый
Часть: 3
Цвет обложки: голубой в клеточку
ISBN: 978-5-09-107332-4
Популярные ГДЗ в 6 классе
Часть 3. Глава 4. Геометрия. Задачи на повторение - номер 765, страница 172.
№765 (с. 172)
Условие 2023. №765 (с. 172)
скриншот условия
 
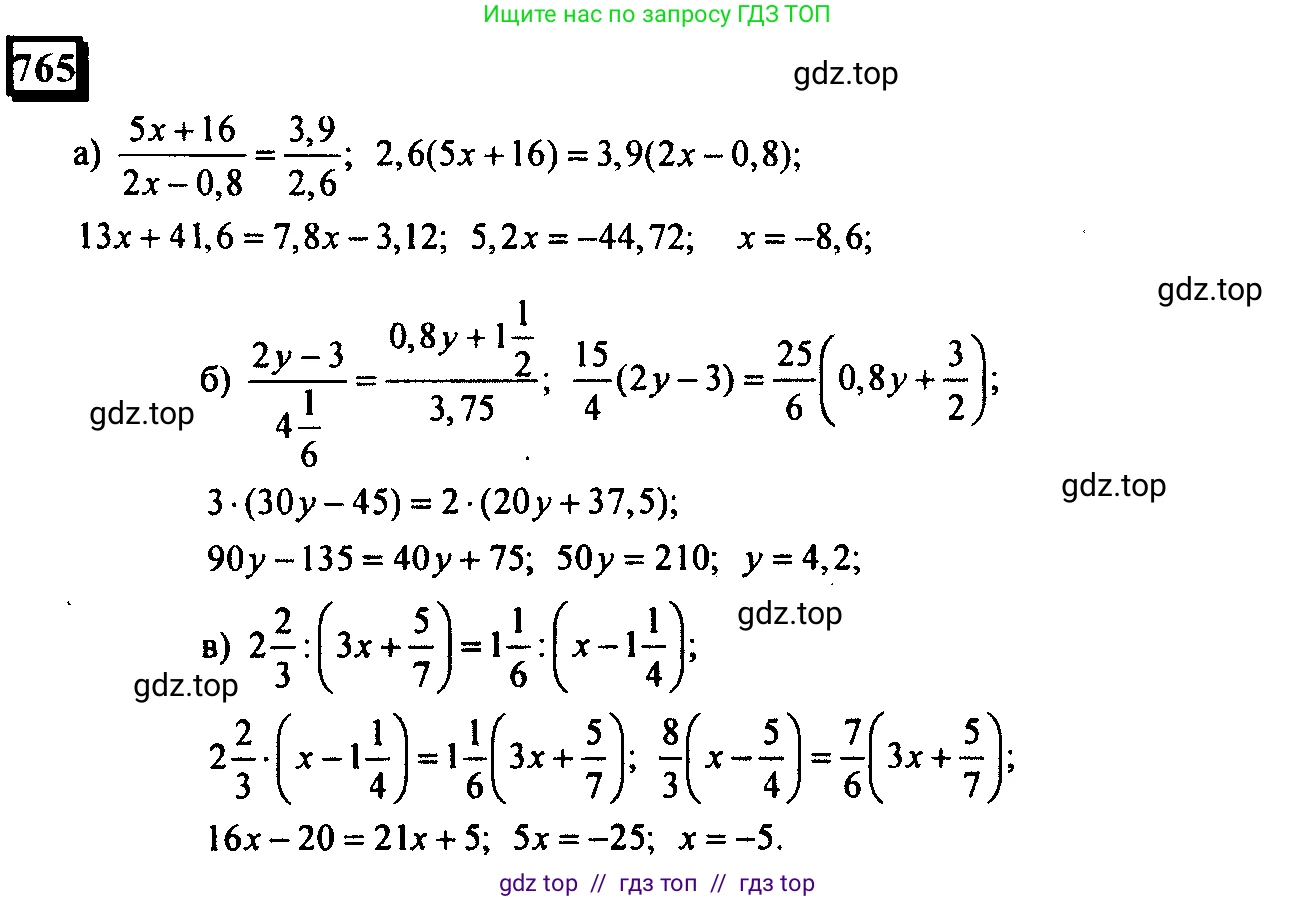
                                765 Реши уравнение:
a) $\frac{5x + 1,6}{2x - 0,8} = \frac{3,9}{2,6};$
б) $\frac{2y - 3}{4 \frac{1}{6}} = \frac{0,8y + 1 \frac{1}{2}}{3,75};$
в) $2\frac{2}{3} : (3x + \frac{5}{7}) = 1\frac{1}{6} : (x - 1\frac{1}{4}).$
Решение 2 (2023). №765 (с. 172)
а) Дано уравнение в виде пропорции: 
 $\frac{5x + 1,6}{2x - 0,8} = \frac{3,9}{2,6}$ 
 В первую очередь, упростим правую часть уравнения. Разделим числитель и знаменатель на их общий делитель 1,3: 
 $\frac{3,9}{2,6} = \frac{3,9 : 1,3}{2,6 : 1,3} = \frac{3}{2} = 1,5$ 
 Теперь уравнение выглядит так: 
 $\frac{5x + 1,6}{2x - 0,8} = 1,5$ 
 Умножим обе части уравнения на знаменатель $(2x - 0,8)$, при условии, что $2x - 0,8 \neq 0$, то есть $x \neq 0,4$: 
 $5x + 1,6 = 1,5 \cdot (2x - 0,8)$ 
 Раскроем скобки в правой части: 
 $5x + 1,6 = 3x - 1,2$ 
 Перенесем слагаемые с переменной $x$ в левую часть, а числовые слагаемые — в правую: 
 $5x - 3x = -1,2 - 1,6$ 
 Приведем подобные слагаемые: 
 $2x = -2,8$ 
 Найдем $x$: 
 $x = \frac{-2,8}{2}$ 
 $x = -1,4$ 
 Найденный корень не равен 0,4, следовательно, он является решением уравнения. 
 Ответ: $x = -1,4$.
б) Дано уравнение в виде пропорции: 
 $\frac{2y - 3}{4\frac{1}{6}} = \frac{0,8y + 1\frac{1}{2}}{3,75}$ 
 Для удобства вычислений преобразуем все десятичные дроби и смешанные числа в неправильные дроби: 
 $4\frac{1}{6} = \frac{4 \cdot 6 + 1}{6} = \frac{25}{6}$ 
 $0,8 = \frac{8}{10} = \frac{4}{5}$ 
 $1\frac{1}{2} = \frac{1 \cdot 2 + 1}{2} = \frac{3}{2}$ 
 $3,75 = 3\frac{75}{100} = 3\frac{3}{4} = \frac{3 \cdot 4 + 3}{4} = \frac{15}{4}$ 
 Подставим полученные дроби в исходное уравнение: 
 $\frac{2y - 3}{\frac{25}{6}} = \frac{\frac{4}{5}y + \frac{3}{2}}{\frac{15}{4}}$ 
 Воспользуемся основным свойством пропорции (крест-накрест): 
 $(2y - 3) \cdot \frac{15}{4} = (\frac{4}{5}y + \frac{3}{2}) \cdot \frac{25}{6}$ 
 Раскроем скобки в обеих частях уравнения: 
 $2y \cdot \frac{15}{4} - 3 \cdot \frac{15}{4} = \frac{4}{5}y \cdot \frac{25}{6} + \frac{3}{2} \cdot \frac{25}{6}$ 
 $\frac{30y}{4} - \frac{45}{4} = \frac{100y}{30} + \frac{75}{12}$ 
 Упростим дроби: 
 $\frac{15y}{2} - \frac{45}{4} = \frac{10y}{3} + \frac{25}{4}$ 
 Перенесем слагаемые с переменной $y$ в левую часть, а числовые слагаемые — в правую: 
 $\frac{15y}{2} - \frac{10y}{3} = \frac{25}{4} + \frac{45}{4}$ 
 Приведем к общему знаменателю и выполним действия: 
 $\frac{3 \cdot 15y - 2 \cdot 10y}{6} = \frac{70}{4}$ 
 $\frac{45y - 20y}{6} = \frac{35}{2}$ 
 $\frac{25y}{6} = \frac{35}{2}$ 
 Найдем $y$: 
 $y = \frac{35}{2} \cdot \frac{6}{25} = \frac{35 \cdot 6}{2 \cdot 25} = \frac{7 \cdot 5 \cdot 2 \cdot 3}{2 \cdot 5 \cdot 5} = \frac{21}{5} = 4,2$ 
 Ответ: $y = 4,2$.
в) Дано уравнение: 
 $2\frac{2}{3} : (3x + \frac{5}{7}) = 1\frac{1}{6} : (x - 1\frac{1}{4})$ 
 Запишем данное отношение в виде пропорции: 
 $\frac{2\frac{2}{3}}{3x + \frac{5}{7}} = \frac{1\frac{1}{6}}{x - 1\frac{1}{4}}$ 
 Преобразуем смешанные числа в неправильные дроби: 
 $2\frac{2}{3} = \frac{8}{3}$; $1\frac{1}{6} = \frac{7}{6}$; $1\frac{1}{4} = \frac{5}{4}$ 
 Подставим полученные дроби в уравнение: 
 $\frac{\frac{8}{3}}{3x + \frac{5}{7}} = \frac{\frac{7}{6}}{x - \frac{5}{4}}$ 
 Применим основное свойство пропорции. Область допустимых значений: $3x + \frac{5}{7} \neq 0 \implies x \neq -\frac{5}{21}$ и $x - \frac{5}{4} \neq 0 \implies x \neq \frac{5}{4}$. 
 $\frac{8}{3} \cdot (x - \frac{5}{4}) = \frac{7}{6} \cdot (3x + \frac{5}{7})$ 
 Раскроем скобки: 
 $\frac{8}{3}x - \frac{8}{3} \cdot \frac{5}{4} = \frac{7}{6} \cdot 3x + \frac{7}{6} \cdot \frac{5}{7}$ 
 $\frac{8}{3}x - \frac{10}{3} = \frac{7}{2}x + \frac{5}{6}$ 
 Перенесем слагаемые с переменной в правую часть, а свободные члены в левую: 
 $-\frac{10}{3} - \frac{5}{6} = \frac{7}{2}x - \frac{8}{3}x$ 
 Приведем к общему знаменателю слагаемые в обеих частях уравнения: 
 $\frac{-20 - 5}{6} = \frac{21x - 16x}{6}$ 
 $\frac{-25}{6} = \frac{5x}{6}$ 
 Умножим обе части на 6: 
 $-25 = 5x$ 
 $x = \frac{-25}{5}$ 
 $x = -5$ 
 Найденный корень $x=-5$ удовлетворяет области допустимых значений. 
 Ответ: $x = -5$.
Условие 2010-2022. №765 (с. 172)
скриншот условия
 
                                765 Реши уравнения:
a) $ \frac{5x+1.6}{2x-0.8} = \frac{3.9}{2.6} $
б) $ \frac{2y-3}{4\frac{1}{6}} = \frac{0.8y+1\frac{1}{2}}{3.75} $
в) $ 2\frac{2}{3} : (3x + \frac{5}{7}) = 1\frac{1}{6} : (x - 1\frac{1}{4}) $
Решение 1 (2010-2022). №765 (с. 172)
 
             
             
                            Решение 2 (2010-2022). №765 (с. 172)
 
             
                            Решение 3 (2010-2022). №765 (с. 172)
 
                            Другие задания:
Помогло решение? Оставьте отзыв в комментариях ниже.
Присоединяйтесь к Телеграм-группе @top_gdz
ПрисоединитьсяМы подготовили для вас ответ c подробным объяснением домашего задания по математике за 6 класс, для упражнения номер 765 расположенного на странице 172 для 3-й части к учебнику 2023 года издания для учащихся школ и гимназий.
Теперь на нашем сайте ГДЗ.ТОП вы всегда легко и бесплатно найдёте условие с правильным ответом на вопрос «Как решить ДЗ» и «Как сделать» задание по математике к упражнению №765 (с. 172), авторов: Дорофеев (Георгий Владимирович), Петерсон (Людмила Георгиевна), 3-й части ФГОС (новый, красный) базовый уровень обучения учебного пособия издательства Просвещение.
 
                     
                     
                     
                     
                     
                     
                     
                     
                     
                     
                     
                     
                     
                     
                     
                     
                     
                     
                     
                    