Страница 243 - гдз по алгебре 7 класс учебник Дорофеев, Суворова

Авторы: Дорофеев Г. В., Суворова С. Б., Бунимович Е. А., Кузнецова Л. В., Минаева С. С., Рослова Л. О.
Тип: Учебник
Издательство: Просвещение
Год издания: 2019 - 2022
Цвет обложки: белый, голубой, оранжевый с галочкой
ISBN: 978-5-09-074650-2
Рекомендовано Министерством образования и науки Российской Федерации
Популярные ГДЗ в 7 классе
Cтраница 243

№897 (с. 243)
Условие. №897 (с. 243)
скриншот условия

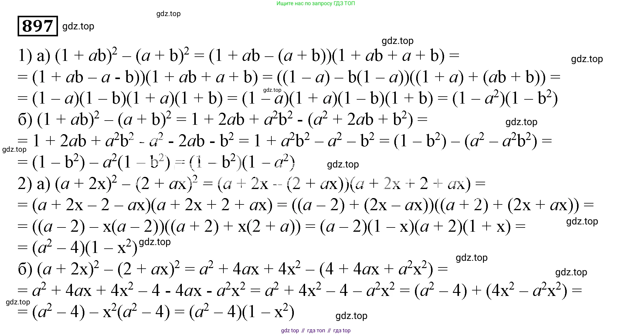
897 Разложите выражение на множители двумя способами:
1) применив формулу разности квадратов;
2) раскрыв скобки и затем применив группировку:
а) $(1 + ab)^2 - (a + b)^2$;
б) $(a + 2x)^2 - (2 + ax)^2$.
Решение 1. №897 (с. 243)




Решение 2. №897 (с. 243)

Решение 3. №897 (с. 243)

Решение 5. №897 (с. 243)

Решение 6. №897 (с. 243)
а) $(1 + ab)^2 - (a + b)^2$
1) Применив формулу разности квадратов:
Используем формулу разности квадратов $x^2 - y^2 = (x - y)(x + y)$, где $x = 1 + ab$ и $y = a + b$.
$(1 + ab)^2 - (a + b)^2 = ((1 + ab) - (a + b))((1 + ab) + (a + b))$
Раскроем внутренние скобки:
$= (1 + ab - a - b)(1 + ab + a + b)$
Теперь сгруппируем слагаемые в каждой из полученных скобок и вынесем общие множители за скобки.
В первой скобке: $1 + ab - a - b = (1 - a) - (b - ab) = (1 - a) - b(1 - a) = (1 - a)(1 - b)$.
Во второй скобке: $1 + ab + a + b = (1 + a) + (b + ab) = (1 + a) + b(1 + a) = (1 + a)(1 + b)$.
Подставим полученные выражения обратно:
$(1 - a)(1 - b)(1 + a)(1 + b)$
2) Раскрыв скобки и затем применив группировку:
Сначала раскроем каждый квадрат суммы по формуле $(x + y)^2 = x^2 + 2xy + y^2$.
$(1 + ab)^2 = 1^2 + 2 \cdot 1 \cdot ab + (ab)^2 = 1 + 2ab + a^2b^2$
$(a + b)^2 = a^2 + 2ab + b^2$
Теперь вычтем второе выражение из первого:
$(1 + 2ab + a^2b^2) - (a^2 + 2ab + b^2) = 1 + 2ab + a^2b^2 - a^2 - 2ab - b^2$
Сократим подобные члены ($2ab$ и $-2ab$):
$= 1 + a^2b^2 - a^2 - b^2$
Сгруппируем слагаемые и вынесем общий множитель:
$= (1 - a^2) + (a^2b^2 - b^2) = (1 - a^2) - (b^2 - a^2b^2) = (1 - a^2) - b^2(1 - a^2) = (1 - a^2)(1 - b^2)$
Каждый из множителей также является разностью квадратов, разложим их:
$= (1 - a)(1 + a)(1 - b)(1 + b)$
Ответ: $(1 - a)(1 + a)(1 - b)(1 + b)$
б) $(a + 2x)^2 - (2 + ax)^2$
1) Применив формулу разности квадратов:
Используем формулу $x^2 - y^2 = (x - y)(x + y)$, где $x = a + 2x$ и $y = 2 + ax$.
$(a + 2x)^2 - (2 + ax)^2 = ((a + 2x) - (2 + ax))((a + 2x) + (2 + ax))$
Раскроем внутренние скобки:
$= (a + 2x - 2 - ax)(a + 2x + 2 + ax)$
Сгруппируем слагаемые в каждой из полученных скобок.
В первой скобке: $a + 2x - 2 - ax = (a - ax) + (2x - 2) = a(1 - x) - 2(1 - x) = (a - 2)(1 - x)$.
Во второй скобке: $a + 2x + 2 + ax = (a + ax) + (2 + 2x) = a(1 + x) + 2(1 + x) = (a + 2)(1 + x)$.
Подставим полученные выражения обратно:
$(a - 2)(1 - x)(a + 2)(1 + x)$
2) Раскрыв скобки и затем применив группировку:
Раскроем каждый квадрат суммы:
$(a + 2x)^2 = a^2 + 2 \cdot a \cdot 2x + (2x)^2 = a^2 + 4ax + 4x^2$
$(2 + ax)^2 = 2^2 + 2 \cdot 2 \cdot ax + (ax)^2 = 4 + 4ax + a^2x^2$
Вычтем второе выражение из первого:
$(a^2 + 4ax + 4x^2) - (4 + 4ax + a^2x^2) = a^2 + 4ax + 4x^2 - 4 - 4ax - a^2x^2$
Сократим подобные члены ($4ax$ и $-4ax$):
$= a^2 + 4x^2 - 4 - a^2x^2$
Сгруппируем слагаемые и вынесем общий множитель:
$= (a^2 - a^2x^2) - (4 - 4x^2) = a^2(1 - x^2) - 4(1 - x^2) = (a^2 - 4)(1 - x^2)$
Разложим каждый из множителей как разность квадратов:
$= (a - 2)(a + 2)(1 - x)(1 + x)$
Ответ: $(a - 2)(a + 2)(1 - x)(1 + x)$
№898 (с. 243)
Условие. №898 (с. 243)
скриншот условия

898 ДОКАЗЫВАЕМ
Докажите, что разность между кубом любого натурального числа и этим числом делится на 6.
Решение 1. №898 (с. 243)

Решение 2. №898 (с. 243)

Решение 3. №898 (с. 243)

Решение 5. №898 (с. 243)

Решение 6. №898 (с. 243)
Пусть $n$ — любое натуральное число. Необходимо доказать, что разность между его кубом и самим числом, то есть выражение $n^3 - n$, делится на 6.
1. Преобразование выражения
Разложим выражение $n^3 - n$ на множители. Сначала вынесем общий множитель $n$ за скобки:
$n^3 - n = n(n^2 - 1)$
Далее, применим к выражению в скобках формулу разности квадратов $a^2 - b^2 = (a-b)(a+b)$:
$n(n^2 - 1) = n(n-1)(n+1)$
Если расположить множители в порядке возрастания, получим произведение трех последовательных целых чисел:
$(n-1)n(n+1)$
2. Доказательство делимости
Чтобы доказать, что число делится на 6, необходимо и достаточно доказать, что оно делится на 2 и на 3, так как $6 = 2 \cdot 3$, а числа 2 и 3 — взаимно простые.
Делимость на 2.
Среди двух последовательных чисел одно всегда является четным. В произведении трех последовательных чисел $(n-1)n(n+1)$ обязательно есть как минимум одно четное число (либо $n$, либо $n-1$ и $n+1$). Следовательно, произведение $(n-1)n(n+1)$ всегда делится на 2.
Делимость на 3.
Среди любых трех последовательных чисел ровно одно делится на 3. В нашем произведении $(n-1)n(n+1)$ один из множителей обязательно будет кратен 3. Следовательно, все произведение делится на 3.
3. Заключение
Поскольку выражение $n^3 - n = (n-1)n(n+1)$ делится и на 2, и на 3, оно также делится на их произведение, то есть на 6. Утверждение доказано.
Ответ: Разность между кубом любого натурального числа и этим числом равна $n^3 - n$. Это выражение можно разложить на множители: $n^3 - n = (n-1)n(n+1)$. Это произведение трех последовательных натуральных чисел. Среди трех последовательных чисел всегда есть хотя бы одно четное число (т.е. кратное 2) и ровно одно число, кратное 3. Так как 2 и 3 взаимно просты, то их произведение делится на $2 \cdot 3 = 6$. Что и требовалось доказать.
№899 (с. 243)
Условие. №899 (с. 243)
скриншот условия

899 ИССЛЕДУЕМ
1) Докажите, что:
а) $\frac{x^{16} - y^{16}}{x - y} = (x + y)(x^2 + y^2)(x^4 + y^4)(x^8 + y^8)$;
б) $\frac{x^{64} - y^{64}}{x - y} = (x + y)(x^2 + y^2) \dots (x^{32} + y^{32})$.
2) Что вы заметили? Можно ли сократить дробь $\frac{x^8 - y^8}{x - y}$? $\frac{x^{10} - y^{10}}{x - y}$?
3) Сократите дробь $\frac{x^{210} - y^{210}}{x - y}$.
Решение 1. №899 (с. 243)




Решение 2. №899 (с. 243)

Решение 3. №899 (с. 243)

Решение 5. №899 (с. 243)

Решение 6. №899 (с. 243)
1) Докажите, что:
а)
Чтобы доказать тождество $\frac{x^{16} - y^{16}}{x-y} = (x+y)(x^2+y^2)(x^4+y^4)(x^8+y^8)$, мы преобразуем числитель дроби в левой части. Для этого будем последовательно применять формулу разности квадратов $a^2-b^2=(a-b)(a+b)$:
$x^{16} - y^{16} = (x^8)^2 - (y^8)^2 = (x^8 - y^8)(x^8 + y^8)$
Продолжим разложение множителя $(x^8 - y^8)$:
$x^8 - y^8 = (x^4)^2 - (y^4)^2 = (x^4 - y^4)(x^4 + y^4)$
Далее разложим $(x^4 - y^4)$:
$x^4 - y^4 = (x^2)^2 - (y^2)^2 = (x^2 - y^2)(x^2 + y^2)$
И, наконец, $(x^2 - y^2)$:
$x^2 - y^2 = (x - y)(x + y)$
Теперь, собрав все множители вместе, мы получаем полное разложение исходного числителя:
$x^{16} - y^{16} = (x-y)(x+y)(x^2+y^2)(x^4+y^4)(x^8+y^8)$
Подставим это выражение обратно в левую часть тождества:
$\frac{x^{16} - y^{16}}{x-y} = \frac{(x-y)(x+y)(x^2+y^2)(x^4+y^4)(x^8+y^8)}{x-y}$
При условии, что $x \neq y$, мы можем сократить дробь на общий множитель $(x-y)$:
$(x+y)(x^2+y^2)(x^4+y^4)(x^8+y^8)$
Полученное выражение в точности совпадает с правой частью исходного тождества, что и требовалось доказать.
Ответ: Тождество доказано.
б)
Доказательство тождества $\frac{x^{64} - y^{64}}{x-y} = (x+y)(x^2+y^2)...(x^{32}+y^{32})$ проводится аналогично предыдущему пункту. Разложим числитель $x^{64} - y^{64}$ на множители, многократно применяя формулу разности квадратов:
$x^{64} - y^{64} = (x^{32}-y^{32})(x^{32}+y^{32})$
Продолжая последовательно раскладывать первый множитель в каждом произведении, мы получим:
$x^{64} - y^{64} = (x-y)(x+y)(x^2+y^2)(x^4+y^4)(x^8+y^8)(x^{16}+y^{16})(x^{32}+y^{32})$
Многоточие в правой части исходного равенства как раз и подразумевает все недостающие множители с показателями степени, являющимися степенями двойки от 1 до 4, то есть $(x^2+y^2), (x^4+y^4), (x^8+y^8), (x^{16}+y^{16})$.
Подставим полученное разложение в левую часть тождества:
$\frac{x^{64} - y^{64}}{x-y} = \frac{(x-y)(x+y)(x^2+y^2)...(x^{32}+y^{32})}{x-y}$
После сокращения на $(x-y)$ (при $x \neq y$), левая часть становится равной правой, что и требовалось доказать.
Ответ: Тождество доказано.
2) Что вы заметили? Можно ли сократить дробь $\frac{x^8 - y^8}{x-y}$? $\frac{x^{10} - y^{10}}{x-y}$?
Можно заметить общую закономерность: выражение вида $x^n - y^n$ всегда делится без остатка на $x-y$ для любого натурального числа $n$. Это следует из общей формулы разности n-ых степеней:
$a^n - b^n = (a-b)(a^{n-1} + a^{n-2}b + a^{n-3}b^2 + \dots + ab^{n-2} + b^{n-1})$
Задачи из пункта 1) являются частным случаем этой закономерности, когда показатель $n$ является степенью двойки ($n=2^k$). В этом случае разложение на множители получается особенно простым за счет многократного применения формулы разности квадратов.
Исходя из этого, обе предложенные дроби можно сократить.
Сокращение дроби $\frac{x^8 - y^8}{x-y}$:
Здесь показатель $8 = 2^3$, поэтому можно применить метод из пункта 1):
$\frac{x^8 - y^8}{x-y} = \frac{(x^4-y^4)(x^4+y^4)}{x-y} = \frac{(x^2-y^2)(x^2+y^2)(x^4+y^4)}{x-y} = \frac{(x-y)(x+y)(x^2+y^2)(x^4+y^4)}{x-y} = (x+y)(x^2+y^2)(x^4+y^4)$
Сокращение дроби $\frac{x^{10} - y^{10}}{x-y}$:
Здесь показатель $10$ не является степенью двойки. В этом случае мы применяем общую формулу разности степеней:
$\frac{x^{10} - y^{10}}{x-y} = x^9 + x^8y + x^7y^2 + x^6y^3 + x^5y^4 + x^4y^5 + x^3y^6 + x^2y^7 + xy^8 + y^9$
Ответ: Была замечена закономерность, что $x^n-y^n$ всегда делится на $x-y$. Да, обе дроби можно сократить.
$\frac{x^8 - y^8}{x-y} = (x+y)(x^2+y^2)(x^4+y^4)$.
$\frac{x^{10} - y^{10}}{x-y} = x^9 + x^8y + x^7y^2 + x^6y^3 + x^5y^4 + x^4y^5 + x^3y^6 + x^2y^7 + xy^8 + y^9$.
3) Сократите дробь $\frac{x^{2^{10}} - y^{2^{10}}}{x-y}$
Эта задача является прямым применением закономерности, рассмотренной в пункте 1), для показателя степени $n = 2^{10}$.
Используя тот же метод разложения на множители через разность квадратов, мы можем представить числитель в виде:
$x^{2^{10}} - y^{2^{10}} = (x^{2^9} - y^{2^9})(x^{2^9} + y^{2^9})$
Продолжая этот процесс, мы в конечном итоге получим произведение, которое содержит множитель $(x-y)$:
$x^{2^{10}} - y^{2^{10}} = (x-y)(x+y)(x^2+y^2)(x^4+y^4)\cdot \dots \cdot (x^{2^9}+y^{2^9})$
Теперь мы можем сократить исходную дробь:
$\frac{x^{2^{10}} - y^{2^{10}}}{x-y} = \frac{(x-y)(x+y)(x^2+y^2)\cdot \dots \cdot (x^{2^9}+y^{2^9})}{x-y}$
При $x \neq y$ это выражение равно:
$(x+y)(x^2+y^2)(x^4+y^4)\cdot \dots \cdot (x^{2^9}+y^{2^9})$
Последний множитель в этом произведении равен $(x^{512}+y^{512})$, так как $2^9=512$.
Ответ: $(x+y)(x^2+y^2)(x^4+y^4)\cdot \dots \cdot (x^{512}+y^{512})$.
Помогло решение? Оставьте отзыв в комментариях ниже.