Страница 248 - гдз по алгебре 7 класс учебник Дорофеев, Суворова

Авторы: Дорофеев Г. В., Суворова С. Б., Бунимович Е. А., Кузнецова Л. В., Минаева С. С., Рослова Л. О.
Тип: Учебник
Издательство: Просвещение
Год издания: 2019 - 2022
Цвет обложки: белый, голубой, оранжевый с галочкой
ISBN: 978-5-09-074650-2
Рекомендовано Министерством образования и науки Российской Федерации
Популярные ГДЗ в 7 классе
Cтраница 248

№920 (с. 248)
Условие. №920 (с. 248)
скриншот условия

920 Сократите дробь:
a) $ \frac{2ab-2a}{4bc-4c} $
б) $ \frac{a^2-a}{a^3-a^2} $
в) $ \frac{(m-c)^2}{c^2-cm} $
г) $ \frac{m^2-2mn+n^2}{an-am} $
Решение 1. №920 (с. 248)




Решение 2. №920 (с. 248)

Решение 3. №920 (с. 248)

Решение 5. №920 (с. 248)

Решение 6. №920 (с. 248)
а) Чтобы сократить дробь $\frac{2ab - 2a}{4bc - 4c}$, вынесем общие множители за скобки в числителе и знаменателе.
В числителе общий множитель $2a$: $2ab - 2a = 2a(b - 1)$.
В знаменателе общий множитель $4c$: $4bc - 4c = 4c(b - 1)$.
Получаем дробь: $\frac{2a(b - 1)}{4c(b - 1)}$.
Сокращаем общий множитель $(b - 1)$ и числовые коэффициенты: $\frac{2a}{4c} = \frac{a}{2c}$.
Ответ: $\frac{a}{2c}$
б) Чтобы сократить дробь $\frac{a^2 - a}{a^3 - a^2}$, вынесем общие множители за скобки в числителе и знаменателе.
В числителе общий множитель $a$: $a^2 - a = a(a - 1)$.
В знаменателе общий множитель $a^2$: $a^3 - a^2 = a^2(a - 1)$.
Получаем дробь: $\frac{a(a - 1)}{a^2(a - 1)}$.
Сокращаем общий множитель $(a - 1)$ и $a$: $\frac{a}{a^2} = \frac{1}{a}$.
Ответ: $\frac{1}{a}$
в) Чтобы сократить дробь $\frac{(m - c)^2}{c^2 - cm}$, разложим на множители знаменатель.
В знаменателе вынесем общий множитель $c$: $c^2 - cm = c(c - m)$.
Получаем дробь: $\frac{(m - c)^2}{c(c - m)}$.
Заметим, что $c - m = -(m - c)$. Перепишем знаменатель: $c(c - m) = -c(m - c)$.
Дробь примет вид: $\frac{(m - c)^2}{-c(m - c)}$.
Сокращаем на общий множитель $(m - c)$: $\frac{m - c}{-c} = -\frac{m - c}{c} = \frac{c - m}{c}$.
Ответ: $\frac{c - m}{c}$
г) Чтобы сократить дробь $\frac{m^2 - 2mn + n^2}{an - am}$, разложим на множители числитель и знаменатель.
Числитель является полным квадратом разности: $m^2 - 2mn + n^2 = (m - n)^2$.
В знаменателе вынесем общий множитель $a$: $an - am = a(n - m)$.
Получаем дробь: $\frac{(m - n)^2}{a(n - m)}$.
Заметим, что $n - m = -(m - n)$. Перепишем знаменатель: $a(n - m) = -a(m - n)$.
Дробь примет вид: $\frac{(m - n)^2}{-a(m - n)}$.
Сокращаем на общий множитель $(m - n)$: $\frac{m - n}{-a} = -\frac{m - n}{a} = \frac{n - m}{a}$.
Ответ: $\frac{n - m}{a}$
№921 (с. 248)
Условие. №921 (с. 248)
скриншот условия

921 Проверьте справедливость равенств:
$2 \cdot 3 + 3 = 3^2$; $3 \cdot 4 + 4 = 4^2$; $4 \cdot 5 + 5 = 5^2$.
Докажите, что если к произведению двух последовательных натуральных чисел прибавить большее из них, то получится квадрат большего числа.
Решение 1. №921 (с. 248)

Решение 2. №921 (с. 248)

Решение 3. №921 (с. 248)

Решение 5. №921 (с. 248)

Решение 6. №921 (с. 248)
Проверьте справедливость равенств
Проверим каждое равенство поочередно, вычисляя значения левой и правой частей.
1. Для равенства $2 \cdot 3 + 3 = 3^2$:
Левая часть: $2 \cdot 3 + 3 = 6 + 3 = 9$.
Правая часть: $3^2 = 9$.
Так как $9 = 9$, равенство справедливо.
2. Для равенства $3 \cdot 4 + 4 = 4^2$:
Левая часть: $3 \cdot 4 + 4 = 12 + 4 = 16$.
Правая часть: $4^2 = 16$.
Так как $16 = 16$, равенство справедливо.
3. Для равенства $4 \cdot 5 + 5 = 5^2$:
Левая часть: $4 \cdot 5 + 5 = 20 + 5 = 25$.
Правая часть: $5^2 = 25$.
Так как $25 = 25$, равенство справедливо.
Ответ: все представленные равенства справедливы.
Докажите, что если к произведению двух последовательных натуральных чисел прибавить большее из них, то получится квадрат большего числа
Пусть даны два последовательных натуральных числа. Обозначим меньшее из них как $n$, тогда следующее за ним (большее) число будет $n + 1$. По условию, $n$ — натуральное число, то есть $n \in \mathbb{N}$.
Произведение этих двух чисел равно $n(n + 1)$.
Согласно условию, к этому произведению нужно прибавить большее из чисел, то есть $n + 1$. В результате получаем следующее алгебраическое выражение:
$n(n + 1) + (n + 1)$
Нам необходимо доказать, что это выражение равно квадрату большего числа, то есть $(n + 1)^2$.
Преобразуем полученное выражение. Вынесем общий множитель $(n + 1)$ за скобки:
$n \cdot (n + 1) + 1 \cdot (n + 1) = (n + 1)(n + 1)$
Произведение $(n + 1)$ на самого себя по определению степени есть квадрат этого числа:
$(n + 1)(n + 1) = (n + 1)^2$
Таким образом, мы доказали тождество $n(n + 1) + (n + 1) = (n + 1)^2$, которое справедливо для любого натурального числа $n$.
Ответ: утверждение доказано.
№922 (с. 248)
Условие. №922 (с. 248)
скриншот условия

922 Разложите на множители многочлен:
a) $xyz + 4xz + 3xy + 12x;$
б) $2a + a^2 + 2a^3 + a^4;$
в) $m^3 + m^2n - m^2a - mna;$
г) $b^4 - b^3 + b^2 - b.$
Решение 1. №922 (с. 248)




Решение 2. №922 (с. 248)

Решение 3. №922 (с. 248)

Решение 5. №922 (с. 248)

Решение 6. №922 (с. 248)
а) Для разложения на множители многочлена $xyz + 4xz + 3xy + 12x$ сначала вынесем за скобки общий для всех членов множитель $x$:
$xyz + 4xz + 3xy + 12x = x(yz + 4z + 3y + 12)$
Теперь применим метод группировки к выражению в скобках. Сгруппируем первое слагаемое со вторым, а третье с четвертым:
$x((yz + 4z) + (3y + 12))$
В первой группе вынесем за скобки общий множитель $z$, а во второй — $3$:
$x(z(y + 4) + 3(y + 4))$
Теперь общим множителем является выражение $(y + 4)$. Вынесем его за скобки:
$x(y + 4)(z + 3)$
Ответ: $x(y + 4)(z + 3)$
б) Рассмотрим многочлен $2a + a^2 + 2a^3 + a^4$. Для удобства переставим члены в порядке убывания степеней:
$a^4 + 2a^3 + a^2 + 2a$
Сгруппируем первое слагаемое со вторым, а третье с четвертым:
$(a^4 + 2a^3) + (a^2 + 2a)$
Вынесем общие множители из каждой группы. Из первой группы вынесем $a^3$, из второй — $a$:
$a^3(a + 2) + a(a + 2)$
Общий множитель $(a + 2)$ вынесем за скобки:
$(a + 2)(a^3 + a)$
Во втором множителе $(a^3 + a)$ можно вынести за скобки общий множитель $a$:
$(a + 2) \cdot a(a^2 + 1)$
Запишем множители в стандартном порядке:
$a(a + 2)(a^2 + 1)$
Ответ: $a(a + 2)(a^2 + 1)$
в) Разложим на множители многочлен $m^3 + m^2n - m^2a - mna$. Вынесем общий множитель $m$ за скобки:
$m(m^2 + mn - ma - na)$
Теперь сгруппируем слагаемые в скобках. Сгруппируем первое со вторым, и третье с четвертым. Обратим внимание на знак минус перед второй группой:
$m((m^2 + mn) - (m^2a + mna)) = m((m^2 + mn) - (ma + na))$
Вынесем общие множители из каждой группы: $m$ из первой и $a$ из второй.
$m(m(m + n) - a(m + n))$
Теперь вынесем за скобки общий множитель $(m + n)$:
$m(m + n)(m - a)$
Ответ: $m(m + n)(m - a)$
г) Разложим на множители многочлен $b^4 - b^3 + b^2 - b$. Сначала вынесем общий множитель $b$ за скобки:
$b(b^3 - b^2 + b - 1)$
Применим метод группировки к выражению в скобках:
$b((b^3 - b^2) + (b - 1))$
Вынесем общие множители из каждой группы. Из первой группы вынесем $b^2$, а из второй $1$:
$b(b^2(b - 1) + 1(b - 1))$
Теперь вынесем за скобки общий множитель $(b - 1)$:
$b(b - 1)(b^2 + 1)$
Ответ: $b(b - 1)(b^2 + 1)$
№923 (с. 248)
Условие. №923 (с. 248)
скриншот условия

923 Разложите на множители трёхчлен, заменив среднее слагаемое суммой двух одночленов:
a) $x^2 + 6xy + 5y^2;$
б) $3a^2 + 10ab + 3b^2;$
в) $a^2 + 3a + 2;$
г) $x^2 + 8x + 7;$
д) $c^2 - 9bc + 20b^2;$
е) $n^2 + 2n - 3.$
Решение 1. №923 (с. 248)






Решение 2. №923 (с. 248)

Решение 3. №923 (с. 248)

Решение 5. №923 (с. 248)

Решение 6. №923 (с. 248)
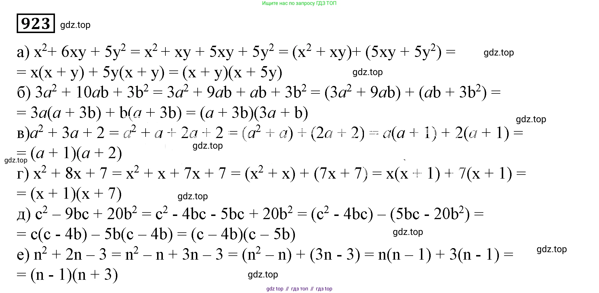
а) $x^2 + 6xy + 5y^2$
Для разложения этого трёхчлена на множители представим средний член $6xy$ в виде суммы двух одночленов. Для этого нам нужно найти два числа, сумма которых равна 6 (коэффициент при $xy$), а произведение равно произведению коэффициентов при $x^2$ и $y^2$, то есть $1 \cdot 5 = 5$. Этими числами являются 1 и 5, так как $1 + 5 = 6$ и $1 \cdot 5 = 5$.
Заменяем $6xy$ на $xy + 5xy$ и раскладываем на множители методом группировки:
$x^2 + 6xy + 5y^2 = x^2 + xy + 5xy + 5y^2 = (x^2 + xy) + (5xy + 5y^2) = x(x+y) + 5y(x+y) = (x+y)(x+5y)$.
Ответ: $(x+y)(x+5y)$.
б) $3a^2 + 10ab + 3b^2$
Чтобы разложить трёхчлен, представим средний член $10ab$ в виде суммы. Найдём два числа, сумма которых равна 10, а произведение равно произведению крайних коэффициентов $3 \cdot 3 = 9$. Эти числа — 1 и 9, так как $1 + 9 = 10$ и $1 \cdot 9 = 9$.
Заменяем $10ab$ на $ab + 9ab$ и раскладываем на множители методом группировки:
$3a^2 + 10ab + 3b^2 = 3a^2 + ab + 9ab + 3b^2 = (3a^2 + ab) + (9ab + 3b^2) = a(3a+b) + 3b(3a+b) = (a+3b)(3a+b)$.
Ответ: $(a+3b)(3a+b)$.
в) $a^2 + 3a + 2$
Представим средний член $3a$ в виде суммы двух слагаемых. Нам нужны два числа, сумма которых равна 3, а произведение — $1 \cdot 2 = 2$. Это числа 1 и 2, поскольку $1+2=3$ и $1 \cdot 2=2$.
Заменяем $3a$ на $a + 2a$ и выполняем группировку:
$a^2 + 3a + 2 = a^2 + a + 2a + 2 = (a^2 + a) + (2a + 2) = a(a+1) + 2(a+1) = (a+1)(a+2)$.
Ответ: $(a+1)(a+2)$.
г) $x^2 + 8x + 7$
Представим средний член $8x$ в виде суммы. Ищем два числа, сумма которых равна 8, а произведение — $1 \cdot 7 = 7$. Это числа 1 и 7, так как $1+7=8$ и $1 \cdot 7=7$.
Заменяем $8x$ на $x + 7x$ и группируем:
$x^2 + 8x + 7 = x^2 + x + 7x + 7 = (x^2 + x) + (7x + 7) = x(x+1) + 7(x+1) = (x+1)(x+7)$.
Ответ: $(x+1)(x+7)$.
д) $c^2 - 9bc + 20b^2$
Представим средний член $-9bc$ в виде суммы. Нужны два числа, сумма которых равна -9, а произведение — $1 \cdot 20 = 20$. Так как сумма отрицательна, а произведение положительно, оба числа отрицательные. Это числа -4 и -5, так как $(-4) + (-5) = -9$ и $(-4) \cdot (-5) = 20$.
Заменяем $-9bc$ на $-4bc - 5bc$ и группируем слагаемые:
$c^2 - 9bc + 20b^2 = c^2 - 4bc - 5bc + 20b^2 = (c^2 - 4bc) - (5bc - 20b^2) = c(c-4b) - 5b(c-4b) = (c-4b)(c-5b)$.
Ответ: $(c-4b)(c-5b)$.
е) $n^2 + 2n - 3$
Представим средний член $2n$ в виде суммы. Ищем два числа, сумма которых равна 2, а произведение — $1 \cdot (-3) = -3$. Так как произведение отрицательно, числа имеют разные знаки. Так как сумма положительна, положительное число больше по модулю. Это числа 3 и -1, так как $3 + (-1) = 2$ и $3 \cdot (-1) = -3$.
Заменяем $2n$ на $3n - n$ и группируем:
$n^2 + 2n - 3 = n^2 + 3n - n - 3 = (n^2 + 3n) - (n + 3) = n(n+3) - 1(n+3) = (n-1)(n+3)$.
Ответ: $(n-1)(n+3)$.
№924 (с. 248)
Условие. №924 (с. 248)
скриншот условия

924 Разложите на множители:
a) $3xyz + x^2y + x^2z + y^2x + y^2z + z^2x + z^2y.$
Указание. Представьте выражение $3xyz$ в виде суммы $xyz + xyz + xyz$ и сгруппируйте члены многочлена.
б) $3abc + ab(a + b) + bc(b + c) + ac(a + c) + ab + bc + ac.$
Решение 1. №924 (с. 248)


Решение 2. №924 (с. 248)

Решение 3. №924 (с. 248)

Решение 5. №924 (с. 248)

Решение 6. №924 (с. 248)
а)
Дано выражение: $3xyz + x^2y + x^2z + y^2x + y^2z + z^2x + z^2y$. Согласно указанию, представим $3xyz$ как сумму $xyz + xyz + xyz$ и перепишем выражение, упорядочив слагаемые: $x^2y + x^2z + y^2x + y^2z + z^2x + z^2y + xyz + xyz + xyz$. Сгруппируем члены многочлена так, чтобы в каждой группе можно было вынести общую переменную: $(x^2y + x^2z + xyz) + (y^2x + y^2z + xyz) + (z^2x + z^2y + xyz)$. Теперь вынесем общий множитель из каждой группы: $x(xy + xz + yz) + y(yx + yz + xz) + z(zx + zy + xy)$. Как видно, все три слагаемых имеют общий многочлен в скобках $(xy + yz + zx)$. Вынесем его за скобки: $(x+y+z)(xy+yz+zx)$.
Ответ: $(x+y+z)(xy+yz+zx)$
б)
Дано выражение: $3abc + ab(a+b) + bc(b+c) + ac(a+c) + ab + bc + ac$. Для начала раскроем скобки в выражении: $3abc + a^2b + ab^2 + b^2c + bc^2 + a^2c + ac^2 + ab + bc + ac$. Перегруппируем слагаемые, чтобы выделить две части: выражение, аналогичное задаче из пункта а), и оставшиеся члены: $(a^2b + ab^2 + b^2c + bc^2 + a^2c + ac^2 + 3abc) + (ab + bc + ac)$. Первая группа слагаемых в скобках — это симметрический многочлен от $a, b, c$. Из решения пункта а) мы знаем, что для переменных $x, y, z$ справедливо тождество: $x^2y + x^2z + y^2x + y^2z + z^2x + z^2y + 3xyz = (x+y+z)(xy+yz+zx)$. Применив этот результат к нашему выражению (заменив $x, y, z$ на $a, b, c$), получим: $a^2b + ab^2 + b^2c + bc^2 + a^2c + ac^2 + 3abc = (a+b+c)(ab+bc+ac)$. Теперь подставим это разложение обратно в наше выражение: $(a+b+c)(ab+bc+ac) + (ab+bc+ac)$. Мы можем вынести общий множитель $(ab+bc+ac)$ за скобку: $(ab+bc+ac)((a+b+c) + 1)$. В итоге получаем: $(a+b+c+1)(ab+bc+ac)$.
Ответ: $(a+b+c+1)(ab+bc+ac)$
№925 (с. 248)
Условие. №925 (с. 248)
скриншот условия

925 Сократите дробь:
а) $\frac{ax + ay - bx - by}{x^2 + xy}$
б) $\frac{a^2 - 2ab + b^2}{ac - bc + bd - ad}$
в) $\frac{ax - ay - x^2 + xy}{ax - a^2}$
г) $\frac{b^2 - 2b + 1}{c - bc + a - ab}$
Решение 1. №925 (с. 248)




Решение 2. №925 (с. 248)

Решение 3. №925 (с. 248)

Решение 5. №925 (с. 248)

Решение 6. №925 (с. 248)
а) Для сокращения дроби $ \frac{ax + ay - bx - by}{x^2 + xy} $ необходимо разложить на множители ее числитель и знаменатель.
В числителе сгруппируем слагаемые: $ (ax + ay) - (bx + by) $. Вынесем общие множители из каждой группы: $ a(x + y) - b(x + y) $. Теперь вынесем общий множитель $ (x + y) $: $ (a - b)(x + y) $.
В знаменателе вынесем общий множитель $ x $ за скобки: $ x(x + y) $.
Получаем дробь: $ \frac{(a - b)(x + y)}{x(x + y)} $.
Сократим дробь на общий множитель $ (x + y) $.
Ответ: $ \frac{a - b}{x} $.
б) Для сокращения дроби $ \frac{a^2 - 2ab + b^2}{ac - bc + bd - ad} $ разложим на множители числитель и знаменатель.
Числитель представляет собой формулу квадрата разности: $ a^2 - 2ab + b^2 = (a - b)^2 $.
В знаменателе сгруппируем слагаемые: $ (ac - bc) + (bd - ad) $. Вынесем общие множители из каждой группы: $ c(a - b) + d(b - a) $. Так как $ (b - a) = -(a - b) $, то выражение можно переписать: $ c(a - b) - d(a - b) $. Вынесем общий множитель $ (a - b) $: $ (c - d)(a - b) $.
Получаем дробь: $ \frac{(a - b)^2}{(c - d)(a - b)} $.
Сократим дробь на общий множитель $ (a - b) $.
Ответ: $ \frac{a - b}{c - d} $.
в) Для сокращения дроби $ \frac{ax - ay - x^2 + xy}{ax - a^2} $ разложим на множители числитель и знаменатель.
В числителе сгруппируем слагаемые: $ (ax - ay) - (x^2 - xy) $. Вынесем общие множители из каждой группы: $ a(x - y) - x(x - y) $. Теперь вынесем общий множитель $ (x - y) $: $ (a - x)(x - y) $.
В знаменателе вынесем общий множитель $ a $ за скобки: $ a(x - a) $.
Получаем дробь: $ \frac{(a - x)(x - y)}{a(x - a)} $.
Так как $ (a - x) = -(x - a) $, заменим $ (a - x) $ в числителе: $ \frac{-(x - a)(x - y)}{a(x - a)} $.
Сократим дробь на общий множитель $ (x - a) $: $ \frac{-(x - y)}{a} = \frac{y - x}{a} $.
Ответ: $ \frac{y - x}{a} $.
г) Для сокращения дроби $ \frac{b^2 - 2b + 1}{c - bc + a - ab} $ разложим на множители числитель и знаменатель.
Числитель представляет собой формулу квадрата разности: $ b^2 - 2b + 1 = (b - 1)^2 $.
В знаменателе сгруппируем слагаемые: $ (c - bc) + (a - ab) $. Вынесем общие множители из каждой группы: $ c(1 - b) + a(1 - b) $. Теперь вынесем общий множитель $ (1 - b) $: $ (c + a)(1 - b) $.
Получаем дробь: $ \frac{(b - 1)^2}{(c + a)(1 - b)} $.
Так как $ (b - 1)^2 = (-(1 - b))^2 = (1 - b)^2 $, перепишем числитель: $ \frac{(1 - b)^2}{(c + a)(1 - b)} $.
Сократим дробь на общий множитель $ (1 - b) $.
Ответ: $ \frac{1 - b}{c + a} $.
№926 (с. 248)
Условие. №926 (с. 248)
скриншот условия

926 Разложите на множители:
а) $a^{2n} - 1$;
б) $4 - x^{2n}$;
в) $y^{4n} - z^2$;
г) $b^{2n} - c^2$.
Решение 1. №926 (с. 248)




Решение 2. №926 (с. 248)

Решение 3. №926 (с. 248)

Решение 5. №926 (с. 248)

Решение 6. №926 (с. 248)
Для разложения данных выражений на множители используется формула сокращенного умножения, а именно формула разности квадратов: $A^2 - B^2 = (A - B)(A + B)$.
а) Представим выражение $a^{2n} - 1$ в виде разности квадратов.
Используя свойство степени $(x^m)^k = x^{mk}$, можем записать $a^{2n}$ как $(a^n)^2$.
Число $1$ можно представить как $1^2$.
Тогда выражение примет вид $(a^n)^2 - 1^2$.
Применим формулу разности квадратов, где $A = a^n$ и $B = 1$:
$a^{2n} - 1 = (a^n)^2 - 1^2 = (a^n - 1)(a^n + 1)$.
Ответ: $(a^n - 1)(a^n + 1)$.
б) Представим выражение $4 - x^{2n}$ в виде разности квадратов.
Число $4$ является квадратом числа $2$, то есть $4 = 2^2$.
Выражение $x^{2n}$ можно записать как $(x^n)^2$.
Тогда выражение примет вид $2^2 - (x^n)^2$.
Применим формулу разности квадратов, где $A = 2$ и $B = x^n$:
$4 - x^{2n} = 2^2 - (x^n)^2 = (2 - x^n)(2 + x^n)$.
Ответ: $(2 - x^n)(2 + x^n)$.
в) Представим выражение $y^{4n} - z^2$ в виде разности квадратов.
Используя свойство степени, представим $y^{4n}$ как $y^{2 \cdot 2n} = (y^{2n})^2$.
Выражение $z^2$ уже является квадратом.
Тогда выражение примет вид $(y^{2n})^2 - z^2$.
Применим формулу разности квадратов, где $A = y^{2n}$ и $B = z$:
$y^{4n} - z^2 = (y^{2n})^2 - z^2 = (y^{2n} - z)(y^{2n} + z)$.
Ответ: $(y^{2n} - z)(y^{2n} + z)$.
г) Представим выражение $b^{2n} - c^2$ в виде разности квадратов.
Выражение $b^{2n}$ можно записать как $(b^n)^2$.
Выражение $c^2$ уже является квадратом.
Тогда выражение примет вид $(b^n)^2 - c^2$.
Применим формулу разности квадратов, где $A = b^n$ и $B = c$:
$b^{2n} - c^2 = (b^n)^2 - c^2 = (b^n - c)(b^n + c)$.
Ответ: $(b^n - c)(b^n + c)$.
№927 (с. 248)
Условие. №927 (с. 248)
скриншот условия

927 Сократите дробь:
а) $\frac{x+2}{4-x^2}$;
б) $\frac{a^2-ax}{a^2-x^2}$;
В) $\frac{x^2-y^2}{2ay+2ax}$;
Г) $\frac{x^2+2xy+y^2}{2x^2-2y^2}$.
Решение 1. №927 (с. 248)




Решение 2. №927 (с. 248)

Решение 3. №927 (с. 248)

Решение 5. №927 (с. 248)

Решение 6. №927 (с. 248)
а)
Чтобы сократить дробь $\frac{x+2}{4-x^2}$, необходимо разложить числитель и знаменатель на множители.
Числитель $x+2$ уже является простым выражением.
Знаменатель $4-x^2$ является разностью квадратов, которую можно разложить по формуле $a^2-b^2 = (a-b)(a+b)$.
В данном случае $a=2$ и $b=x$, поэтому $4-x^2 = (2-x)(2+x)$.
Теперь подставим разложенный знаменатель в исходную дробь:
$\frac{x+2}{4-x^2} = \frac{x+2}{(2-x)(2+x)}$
Множители $x+2$ и $2+x$ равны, так как от перемены мест слагаемых сумма не меняется. Сократим их:
$\frac{\cancel{x+2}}{(2-x)\cancel{(2+x)}} = \frac{1}{2-x}$
Ответ: $\frac{1}{2-x}$
б)
Рассмотрим дробь $\frac{a^2-ax}{a^2-x^2}$. Разложим числитель и знаменатель на множители.
В числителе $a^2-ax$ вынесем общий множитель $a$ за скобки: $a(a-x)$.
Знаменатель $a^2-x^2$ — это разность квадратов, которая раскладывается как $(a-x)(a+x)$.
Запишем дробь с разложенными выражениями:
$\frac{a(a-x)}{(a-x)(a+x)}$
Сократим общий множитель $(a-x)$ в числителе и знаменателе:
$\frac{a\cancel{(a-x)}}{\cancel{(a-x)}(a+x)} = \frac{a}{a+x}$
Ответ: $\frac{a}{a+x}$
в)
Сократим дробь $\frac{x^2-y^2}{2ay+2ax}$. Для этого разложим числитель и знаменатель на множители.
Числитель $x^2-y^2$ является разностью квадратов: $(x-y)(x+y)$.
В знаменателе $2ay+2ax$ вынесем за скобки общий множитель $2a$: $2a(y+x)$.
Подставим разложения в дробь:
$\frac{(x-y)(x+y)}{2a(y+x)}$
Так как $x+y=y+x$, мы можем сократить этот общий множитель:
$\frac{(x-y)\cancel{(x+y)}}{2a\cancel{(y+x)}} = \frac{x-y}{2a}$
Ответ: $\frac{x-y}{2a}$
г)
Сократим дробь $\frac{x^2+2xy+y^2}{2x^2-2y^2}$. Разложим числитель и знаменатель на множители.
Числитель $x^2+2xy+y^2$ — это формула квадрата суммы: $(a+b)^2 = a^2+2ab+b^2$. Следовательно, $x^2+2xy+y^2 = (x+y)^2$.
В знаменателе $2x^2-2y^2$ вынесем общий множитель 2 за скобки: $2(x^2-y^2)$. Выражение в скобках является разностью квадратов, поэтому $x^2-y^2=(x-y)(x+y)$.
Таким образом, знаменатель равен $2(x-y)(x+y)$.
Подставим полученные разложения в дробь:
$\frac{(x+y)^2}{2(x-y)(x+y)} = \frac{(x+y)(x+y)}{2(x-y)(x+y)}$
Сократим общий множитель $(x+y)$:
$\frac{(x+y)\cancel{(x+y)}}{2(x-y)\cancel{(x+y)}} = \frac{x+y}{2(x-y)}$
Ответ: $\frac{x+y}{2(x-y)}$
№928 (с. 248)
Условие. №928 (с. 248)
скриншот условия

928 Представьте выражение в виде многочлена, используя формулу разности квадратов:
а) $(m - n)(m + n)(m^2 + n^2);$
б) $(x + 1)(x - 1)(x^2 + 1)x^2;$
в) $((2c + d)^2 - (c + 2d)^2) \cdot 3cd;$
г) $((a^2 + a)^2 - (a^2 - a)^2) \cdot 5a^2.$
Решение 1. №928 (с. 248)




Решение 2. №928 (с. 248)

Решение 3. №928 (с. 248)

Решение 5. №928 (с. 248)

Решение 6. №928 (с. 248)
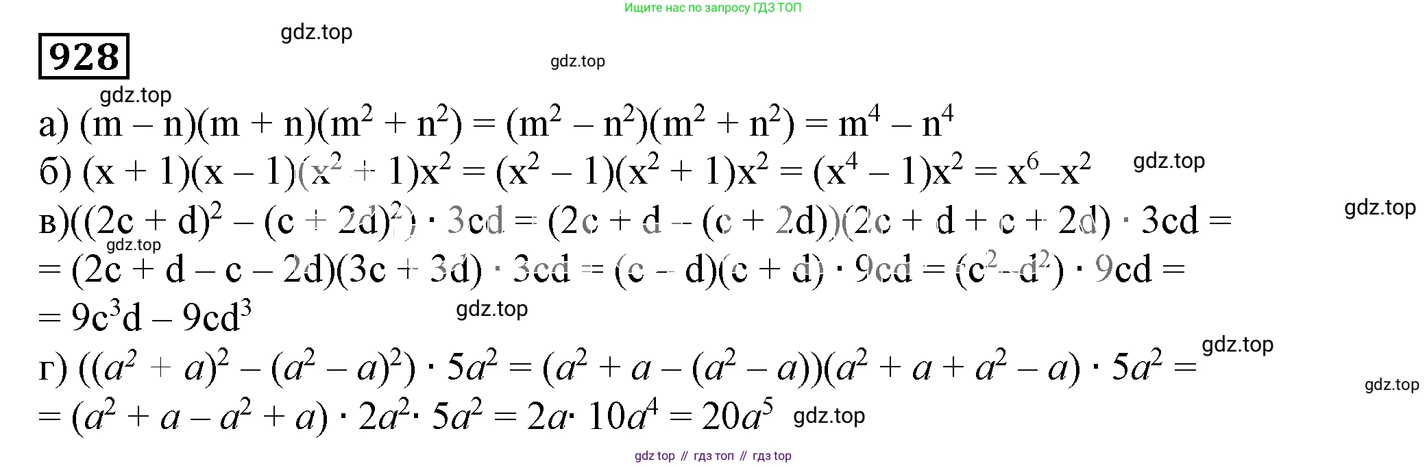
а) $(m - n)(m + n)(m^2 + n^2)$
Для решения этого примера мы последовательно применим формулу разности квадратов $a^2 - b^2 = (a-b)(a+b)$.
1. Сначала применим формулу к первым двум множителям $(m - n)(m + n)$. В данном случае $a = m$ и $b = n$.
$(m - n)(m + n) = m^2 - n^2$.
2. Теперь исходное выражение можно переписать в следующем виде:
$(m^2 - n^2)(m^2 + n^2)$.
3. Мы снова видим выражение, к которому можно применить формулу разности квадратов. На этот раз $a = m^2$ и $b = n^2$.
$(m^2 - n^2)(m^2 + n^2) = (m^2)^2 - (n^2)^2 = m^4 - n^4$.
Ответ: $m^4 - n^4$.
б) $(x + 1)(x - 1)(x^2 + 1)x^2$
1. Начнем с применения формулы разности квадратов к первым двум сомножителям $(x + 1)(x - 1)$. Здесь $a=x$ и $b=1$.
$(x + 1)(x - 1) = x^2 - 1^2 = x^2 - 1$.
2. Подставим полученный результат в исходное выражение:
$(x^2 - 1)(x^2 + 1)x^2$.
3. Снова применим формулу разности квадратов для $(x^2 - 1)(x^2 + 1)$, где $a = x^2$ и $b = 1$.
$(x^2 - 1)(x^2 + 1) = (x^2)^2 - 1^2 = x^4 - 1$.
4. Выражение упростилось до $(x^4 - 1)x^2$.
5. На последнем шаге раскроем скобки, умножив многочлен $(x^4 - 1)$ на одночлен $x^2$.
$(x^4 - 1)x^2 = x^4 \cdot x^2 - 1 \cdot x^2 = x^6 - x^2$.
Ответ: $x^6 - x^2$.
в) $((2c + d)^2 - (c + 2d)^2) \cdot 3cd$
1. Выражение в больших скобках представляет собой разность квадратов. Применим формулу $a^2 - b^2 = (a-b)(a+b)$, где $a = (2c + d)$ и $b = (c + 2d)$.
2. Найдем разность $(a-b)$ и сумму $(a+b)$:
$a - b = (2c + d) - (c + 2d) = 2c + d - c - 2d = c - d$.
$a + b = (2c + d) + (c + 2d) = 2c + d + c + 2d = 3c + 3d = 3(c+d)$.
3. Таким образом, $(2c + d)^2 - (c + 2d)^2 = (c - d) \cdot 3(c + d) = 3(c - d)(c + d)$.
4. Подставим это в исходное выражение:
$3(c - d)(c + d) \cdot 3cd = 9cd(c - d)(c + d)$.
5. Ещё раз применим формулу разности квадратов к $(c - d)(c + d) = c^2 - d^2$.
$9cd(c^2 - d^2)$.
6. Раскроем скобки, чтобы получить итоговый многочлен:
$9cd \cdot c^2 - 9cd \cdot d^2 = 9c^3d - 9cd^3$.
Ответ: $9c^3d - 9cd^3$.
г) $((a^2 + a)^2 - (a^2 - a)^2) \cdot 5a^2$
1. Выражение в скобках является разностью квадратов. Используем формулу $A^2 - B^2 = (A - B)(A + B)$, где $A = (a^2 + a)$ и $B = (a^2 - a)$.
2. Вычислим разность $(A - B)$ и сумму $(A + B)$:
$A - B = (a^2 + a) - (a^2 - a) = a^2 + a - a^2 + a = 2a$.
$A + B = (a^2 + a) + (a^2 - a) = a^2 + a + a^2 - a = 2a^2$.
3. Перемножим полученные выражения: $(A - B)(A + B) = (2a)(2a^2) = 4a^3$.
4. Теперь подставим результат в исходное выражение:
$(4a^3) \cdot 5a^2$.
5. Выполним умножение одночленов:
$4a^3 \cdot 5a^2 = (4 \cdot 5) \cdot (a^3 \cdot a^2) = 20a^{3+2} = 20a^5$.
Ответ: $20a^5$.
Помогло решение? Оставьте отзыв в комментариях ниже.