Страница 242 - гдз по алгебре 7 класс учебник Дорофеев, Суворова

Авторы: Дорофеев Г. В., Суворова С. Б., Бунимович Е. А., Кузнецова Л. В., Минаева С. С., Рослова Л. О.
Тип: Учебник
Издательство: Просвещение
Год издания: 2019 - 2022
Цвет обложки: белый, голубой, оранжевый с галочкой
ISBN: 978-5-09-074650-2
Рекомендовано Министерством образования и науки Российской Федерации
Популярные ГДЗ в 7 классе
Cтраница 242

№885 (с. 242)
Условие. №885 (с. 242)
скриншот условия

885 a) $3a^2 - 6a + 3;$
б) $ay^2 - 2ay + a;$
в) $8x^2 + 16xy + 8y^2;$
г) $-2a^2 - 4ab - 2b^2;$
д) $nx^2 + 4nx + 4n;$
е) $4x^2y - 4xy + y.$
Решение 1. №885 (с. 242)






Решение 2. №885 (с. 242)

Решение 3. №885 (с. 242)

Решение 5. №885 (с. 242)

Решение 6. №885 (с. 242)
а) Рассмотрим выражение $3a^2 - 6a + 3$.
Первым шагом вынесем общий числовой множитель 3 за скобки: $3a^2 - 6a + 3 = 3(a^2 - 2a + 1)$.
Теперь проанализируем выражение в скобках: $a^2 - 2a + 1$. Оно представляет собой формулу квадрата разности: $(x-y)^2 = x^2 - 2xy + y^2$.
В нашем случае $x=a$ и $y=1$. Проверим: $a^2 - 2 \cdot a \cdot 1 + 1^2 = a^2 - 2a + 1$.
Таким образом, $a^2 - 2a + 1 = (a-1)^2$.
Подставим это обратно в исходное выражение: $3(a-1)^2$.
Ответ: $3(a-1)^2$.
б) Рассмотрим выражение $ay^2 - 2ay + a$.
Вынесем общий множитель $a$ за скобки: $ay^2 - 2ay + a = a(y^2 - 2y + 1)$.
Выражение в скобках $y^2 - 2y + 1$ является полным квадратом разности, так как соответствует формуле $(x-y)^2 = x^2 - 2xy + y^2$.
Здесь $x=y$ и $y=1$. Проверим: $y^2 - 2 \cdot y \cdot 1 + 1^2 = (y-1)^2$.
Следовательно, исходное выражение можно записать как $a(y-1)^2$.
Ответ: $a(y-1)^2$.
в) Рассмотрим выражение $8x^2 + 16xy + 8y^2$.
Вынесем общий числовой множитель 8 за скобки: $8x^2 + 16xy + 8y^2 = 8(x^2 + 2xy + y^2)$.
Выражение в скобках $x^2 + 2xy + y^2$ является полным квадратом суммы по формуле $(a+b)^2 = a^2 + 2ab + b^2$.
В данном случае $a=x$ и $b=y$, что дает $(x+y)^2$.
Таким образом, всё выражение равно $8(x+y)^2$.
Ответ: $8(x+y)^2$.
г) Рассмотрим выражение $-2a^2 - 4ab - 2b^2$.
Вынесем общий множитель -2 за скобки: $-2a^2 - 4ab - 2b^2 = -2(a^2 + 2ab + b^2)$.
Выражение в скобках $a^2 + 2ab + b^2$ является полным квадратом суммы $(x+y)^2 = x^2 + 2xy + y^2$.
Здесь $x=a$ и $y=b$, что дает $(a+b)^2$.
В результате получаем $-2(a+b)^2$.
Ответ: $-2(a+b)^2$.
д) Рассмотрим выражение $nx^2 + 4nx + 4n$.
Вынесем общий множитель $n$ за скобки: $nx^2 + 4nx + 4n = n(x^2 + 4x + 4)$.
Выражение в скобках $x^2 + 4x + 4$ является полным квадратом суммы по формуле $(a+b)^2 = a^2 + 2ab + b^2$.
В нашем случае $a=x$ и $b=2$. Проверим: $x^2 + 2 \cdot x \cdot 2 + 2^2 = x^2 + 4x + 4$.
Значит, $x^2 + 4x + 4 = (x+2)^2$.
Полное выражение равно $n(x+2)^2$.
Ответ: $n(x+2)^2$.
е) Рассмотрим выражение $4x^2y - 4xy + y$.
Вынесем общий множитель $y$ за скобки: $4x^2y - 4xy + y = y(4x^2 - 4x + 1)$.
Выражение в скобках $4x^2 - 4x + 1$ является полным квадратом разности по формуле $(a-b)^2 = a^2 - 2ab + b^2$.
В нашем случае $a=2x$ и $b=1$. Проверим: $(2x)^2 - 2 \cdot (2x) \cdot 1 + 1^2 = 4x^2 - 4x + 1$.
Таким образом, $4x^2 - 4x + 1 = (2x-1)^2$.
Исходное выражение равно $y(2x-1)^2$.
Ответ: $y(2x-1)^2$.
№886 (с. 242)
Условие. №886 (с. 242)
скриншот условия

886 a) $2x^3 + 2y^3$;
б) $-3a^3 - 3b^3$;
В) $am^3 - an^3$;
Г) $2m^3 - 16$;
Д) $5 + 5b^3$;
е) $-c^4 + 27c$.
Решение 1. №886 (с. 242)






Решение 2. №886 (с. 242)

Решение 3. №886 (с. 242)

Решение 5. №886 (с. 242)

Решение 6. №886 (с. 242)
а) В выражении $2x^3 + 2y^3$ первым шагом вынесем общий множитель 2 за скобки.
$2x^3 + 2y^3 = 2(x^3 + y^3)$
Выражение в скобках представляет собой сумму кубов. Применим формулу суммы кубов: $a^3 + b^3 = (a+b)(a^2 - ab + b^2)$.
В нашем случае $a=x$ и $b=y$.
$2(x^3 + y^3) = 2(x+y)(x^2 - xy + y^2)$.
Ответ: $2(x+y)(x^2 - xy + y^2)$.
б) В выражении $-3a^3 - 3b^3$ вынесем общий множитель -3 за скобки.
$-3a^3 - 3b^3 = -3(a^3 + b^3)$
В скобках получили сумму кубов. Используем формулу $x^3 + y^3 = (x+y)(x^2 - xy + y^2)$.
$-3(a^3 + b^3) = -3(a+b)(a^2 - ab + b^2)$.
Ответ: $-3(a+b)(a^2 - ab + b^2)$.
в) В выражении $am^3 - an^3$ вынесем общий множитель $a$ за скобки.
$am^3 - an^3 = a(m^3 - n^3)$
В скобках получили разность кубов. Применим формулу разности кубов: $x^3 - y^3 = (x-y)(x^2 + xy + y^2)$.
$a(m^3 - n^3) = a(m-n)(m^2 + mn + n^2)$.
Ответ: $a(m-n)(m^2 + mn + n^2)$.
г) В выражении $2m^3 - 16$ вынесем общий множитель 2 за скобки.
$2m^3 - 16 = 2(m^3 - 8)$
Заметим, что $8 = 2^3$. Таким образом, выражение в скобках является разностью кубов.
$2(m^3 - 2^3)$
Применим формулу разности кубов $a^3 - b^3 = (a-b)(a^2 + ab + b^2)$, где $a=m$ и $b=2$.
$2(m-2)(m^2 + m \cdot 2 + 2^2) = 2(m-2)(m^2 + 2m + 4)$.
Ответ: $2(m-2)(m^2 + 2m + 4)$.
д) В выражении $5 + 5b^3$ вынесем общий множитель 5 за скобки.
$5 + 5b^3 = 5(1 + b^3)$
Заметим, что $1 = 1^3$. Таким образом, выражение в скобках является суммой кубов.
$5(1^3 + b^3)$
Применим формулу суммы кубов $a^3 + b^3 = (a+b)(a^2 - ab + b^2)$, где $a=1$ и $b=b$.
$5(1+b)(1^2 - 1 \cdot b + b^2) = 5(1+b)(1 - b + b^2)$.
Ответ: $5(1+b)(1 - b + b^2)$.
е) В выражении $-c^4 + 27c$ вынесем общий множитель $-c$ за скобки.
$-c^4 + 27c = -c(c^3 - 27)$
Заметим, что $27 = 3^3$. Таким образом, выражение в скобках является разностью кубов.
$-c(c^3 - 3^3)$
Применим формулу разности кубов $a^3 - b^3 = (a-b)(a^2 + ab + b^2)$, где $a=c$ и $b=3$.
$-c(c-3)(c^2 + c \cdot 3 + 3^2) = -c(c-3)(c^2 + 3c + 9)$.
Ответ: $-c(c-3)(c^2 + 3c + 9)$.
№887 (с. 242)
Условие. №887 (с. 242)
скриншот условия

887 а) $a^4 - b^4;$
б) $x^4 - x^2;$
в) $n^4 - 16;$
г) $a^4 - 9a^2;$
д) $1 - c^4;$
е) $x^2 - 16x^4.$
Решение 1. №887 (с. 242)






Решение 2. №887 (с. 242)

Решение 3. №887 (с. 242)

Решение 5. №887 (с. 242)

Решение 6. №887 (с. 242)
а) Для разложения на множители выражения $a^4 - b^4$ воспользуемся формулой разности квадратов $x^2 - y^2 = (x-y)(x+y)$.
Представим $a^4$ как $(a^2)^2$ и $b^4$ как $(b^2)^2$.
$a^4 - b^4 = (a^2)^2 - (b^2)^2 = (a^2 - b^2)(a^2 + b^2)$.
Выражение $a^2 - b^2$ также является разностью квадратов, поэтому его можно разложить дальше: $a^2 - b^2 = (a-b)(a+b)$.
Выражение $a^2 + b^2$ является суммой квадратов и не раскладывается на множители с действительными коэффициентами.
Таким образом, окончательное разложение имеет вид:
$a^4 - b^4 = (a-b)(a+b)(a^2+b^2)$.
Ответ: $(a-b)(a+b)(a^2+b^2)$.
б) В выражении $x^4 - x^2$ вынесем общий множитель $x^2$ за скобки.
$x^4 - x^2 = x^2(x^2 - 1)$.
Выражение в скобках $x^2 - 1$ является разностью квадратов, так как $1 = 1^2$. Применим формулу разности квадратов:
$x^2 - 1 = x^2 - 1^2 = (x-1)(x+1)$.
Подставляем полученное разложение в исходное выражение:
$x^4 - x^2 = x^2(x-1)(x+1)$.
Ответ: $x^2(x-1)(x+1)$.
в) Для разложения выражения $n^4 - 16$ представим его в виде разности квадратов.
$n^4 = (n^2)^2$ и $16 = 4^2$.
$n^4 - 16 = (n^2)^2 - 4^2 = (n^2 - 4)(n^2 + 4)$.
Первый множитель $n^2 - 4$ также является разностью квадратов, так как $4 = 2^2$. Разложим его:
$n^2 - 4 = n^2 - 2^2 = (n-2)(n+2)$.
Второй множитель $n^2 + 4$ является суммой квадратов и не раскладывается на множители с действительными коэффициентами.
Собираем все множители вместе:
$n^4 - 16 = (n-2)(n+2)(n^2+4)$.
Ответ: $(n-2)(n+2)(n^2+4)$.
г) В выражении $a^4 - 9a^2$ вынесем общий множитель $a^2$ за скобки.
$a^4 - 9a^2 = a^2(a^2 - 9)$.
Выражение в скобках $a^2 - 9$ является разностью квадратов, так как $9 = 3^2$. Применим формулу:
$a^2 - 9 = a^2 - 3^2 = (a-3)(a+3)$.
Подставим разложение в исходное выражение:
$a^4 - 9a^2 = a^2(a-3)(a+3)$.
Ответ: $a^2(a-3)(a+3)$.
д) Для разложения выражения $1 - c^4$ воспользуемся формулой разности квадратов.
Представим $1$ как $1^2$ и $c^4$ как $(c^2)^2$.
$1 - c^4 = 1^2 - (c^2)^2 = (1 - c^2)(1 + c^2)$.
Множитель $1 - c^2$ также является разностью квадратов: $1^2 - c^2 = (1-c)(1+c)$.
Множитель $1 + c^2$ является суммой квадратов и не раскладывается на множители с действительными коэффициентами.
Таким образом, окончательное разложение:
$1 - c^4 = (1-c)(1+c)(1+c^2)$.
Ответ: $(1-c)(1+c)(1+c^2)$.
е) В выражении $x^2 - 16x^4$ сначала вынесем общий множитель $x^2$ за скобки.
$x^2 - 16x^4 = x^2(1 - 16x^2)$.
Выражение в скобках $1 - 16x^2$ является разностью квадратов. Представим $1$ как $1^2$ и $16x^2$ как $(4x)^2$.
$1 - 16x^2 = 1^2 - (4x)^2 = (1 - 4x)(1 + 4x)$.
Подставляем разложение в исходное выражение:
$x^2 - 16x^4 = x^2(1 - 4x)(1 + 4x)$.
Ответ: $x^2(1 - 4x)(1 + 4x)$.
№888 (с. 242)
Условие. №888 (с. 242)
скриншот условия

Разложите на множители (888–895).
888 а) $x^8 - y^8$;
б) $a^8 - b^4$;
в) $x^4 - x^8$;
г) $a^9 - 1$;
д) $x^6 - 2^6$;
е) $a^6 - 1$.
Решение 1. №888 (с. 242)






Решение 2. №888 (с. 242)

Решение 3. №888 (с. 242)

Решение 5. №888 (с. 242)

Решение 6. №888 (с. 242)
а) $x^8 - y^8$
Для разложения на множители будем последовательно применять формулу разности квадратов $a^2 - b^2 = (a-b)(a+b)$.
Сначала представим выражение как $(x^4)^2 - (y^4)^2$:
$x^8 - y^8 = (x^4)^2 - (y^4)^2 = (x^4 - y^4)(x^4 + y^4)$.
Теперь разложим множитель $(x^4 - y^4)$, который также является разностью квадратов:
$x^4 - y^4 = (x^2)^2 - (y^2)^2 = (x^2 - y^2)(x^2 + y^2)$.
Множитель $(x^2 - y^2)$ снова является разностью квадратов:
$x^2 - y^2 = (x - y)(x + y)$.
Собирая все вместе, получаем окончательное разложение:
$x^8 - y^8 = (x - y)(x + y)(x^2 + y^2)(x^4 + y^4)$.
Ответ: $(x - y)(x + y)(x^2 + y^2)(x^4 + y^4)$.
б) $a^8 - b^4$
Представим выражение как разность квадратов $(a^4)^2 - (b^2)^2$ и применим формулу $x^2 - y^2 = (x-y)(x+y)$:
$a^8 - b^4 = (a^4)^2 - (b^2)^2 = (a^4 - b^2)(a^4 + b^2)$.
Множитель $(a^4 - b^2)$ также является разностью квадратов:
$a^4 - b^2 = (a^2)^2 - b^2 = (a^2 - b)(a^2 + b)$.
Таким образом, итоговое разложение:
$a^8 - b^4 = (a^2 - b)(a^2 + b)(a^4 + b^2)$.
Ответ: $(a^2 - b)(a^2 + b)(a^4 + b^2)$.
в) $x^4 - x^8$
Сначала вынесем общий множитель $x^4$ за скобки:
$x^4 - x^8 = x^4(1 - x^4)$.
Выражение в скобках $1 - x^4$ является разностью квадратов $1^2 - (x^2)^2$. Применим формулу:
$1 - x^4 = (1 - x^2)(1 + x^2)$.
Множитель $(1 - x^2)$ также является разностью квадратов:
$1 - x^2 = (1 - x)(1 + x)$.
Подставляя все обратно, получаем:
$x^4 - x^8 = x^4(1 - x)(1 + x)(1 + x^2)$.
Ответ: $x^4(1 - x)(1 + x)(1 + x^2)$.
г) $a^9 - 1$
Представим выражение как разность кубов $(a^3)^3 - 1^3$. Применим формулу разности кубов $x^3 - y^3 = (x-y)(x^2+xy+y^2)$:
$a^9 - 1 = (a^3)^3 - 1^3 = (a^3 - 1)((a^3)^2 + a^3 \cdot 1 + 1^2) = (a^3 - 1)(a^6 + a^3 + 1)$.
Множитель $(a^3 - 1)$ также является разностью кубов:
$a^3 - 1 = (a - 1)(a^2 + a \cdot 1 + 1^2) = (a - 1)(a^2 + a + 1)$.
Объединяем полученные множители:
$a^9 - 1 = (a - 1)(a^2 + a + 1)(a^6 + a^3 + 1)$.
Ответ: $(a - 1)(a^2 + a + 1)(a^6 + a^3 + 1)$.
д) $x^6 - 2^6$
Это выражение можно разложить двумя способами: как разность квадратов или как разность кубов. Рассмотрим разложение как разность квадратов: $x^6 - 2^6 = (x^3)^2 - (2^3)^2$.
Применяем формулу разности квадратов:
$(x^3)^2 - (2^3)^2 = (x^3 - 2^3)(x^3 + 2^3)$.
Теперь раскладываем каждый множитель по формулам разности и суммы кубов ($a^3-b^3=(a-b)(a^2+ab+b^2)$ и $a^3+b^3=(a+b)(a^2-ab+b^2)$):
$x^3 - 2^3 = (x - 2)(x^2 + 2x + 4)$.
$x^3 + 2^3 = (x + 2)(x^2 - 2x + 4)$.
Итоговое разложение:
$x^6 - 2^6 = (x - 2)(x + 2)(x^2 + 2x + 4)(x^2 - 2x + 4)$.
Ответ: $(x - 2)(x + 2)(x^2 - 2x + 4)(x^2 + 2x + 4)$.
е) $a^6 - 1$
Аналогично предыдущему примеру, представим выражение как разность квадратов $(a^3)^2 - 1^2$:
$a^6 - 1 = (a^3)^2 - 1^2 = (a^3 - 1)(a^3 + 1)$.
Теперь применим формулы разности и суммы кубов:
$a^3 - 1 = (a - 1)(a^2 + a + 1)$.
$a^3 + 1 = (a + 1)(a^2 - a + 1)$.
Собирая все множители вместе, получаем:
$a^6 - 1 = (a - 1)(a + 1)(a^2 - a + 1)(a^2 + a + 1)$.
Ответ: $(a - 1)(a + 1)(a^2 - a + 1)(a^2 + a + 1)$.
№889 (с. 242)
Условие. №889 (с. 242)
скриншот условия

889 a) $x^2y + 2xy^2 + y^3;$
б) $a^3x - 4a^2x + 4ax;$
В) $-9ay^2 - 6ay - a;$
Г) $6bc^2 - 3b^2c - 3c^3.$
Решение 1. №889 (с. 242)




Решение 2. №889 (с. 242)

Решение 3. №889 (с. 242)

Решение 5. №889 (с. 242)

Решение 6. №889 (с. 242)
а) Исходное выражение: $x^2y + 2xy^2 + y^3$.
Для разложения на множители сначала вынесем общий множитель $y$ за скобки:
$y(x^2 + 2xy + y^2)$.
Выражение в скобках, $x^2 + 2xy + y^2$, представляет собой формулу квадрата суммы: $(a+b)^2 = a^2 + 2ab + b^2$. В данном случае $a=x$ и $b=y$.
Свернем выражение в скобках по этой формуле:
$y(x+y)^2$.
Ответ: $y(x+y)^2$.
б) Исходное выражение: $a^3x - 4a^2x + 4ax$.
Вынесем общий множитель $ax$ за скобки:
$ax(a^2 - 4a + 4)$.
Выражение в скобках, $a^2 - 4a + 4$, является полным квадратом разности. Это соответствует формуле $(a-b)^2 = a^2 - 2ab + b^2$. В данном случае первый член — это $a$, а второй — $2$, так как $a^2 - 2 \cdot a \cdot 2 + 2^2$.
Применив формулу, получим:
$ax(a-2)^2$.
Ответ: $ax(a-2)^2$.
в) Исходное выражение: $-9ay^2 - 6ay - a$.
Вынесем общий множитель $-a$ за скобки. Вынесение знака "минус" поможет увидеть формулу сокращенного умножения:
$-a(9y^2 + 6y + 1)$.
Выражение в скобках, $9y^2 + 6y + 1$, является полным квадратом суммы. Его можно представить как $(3y)^2 + 2 \cdot (3y) \cdot 1 + 1^2$, что соответствует формуле $(a+b)^2 = a^2 + 2ab + b^2$, где $a=3y$ и $b=1$.
Свернем выражение по формуле:
$-a(3y+1)^2$.
Ответ: $-a(3y+1)^2$.
г) Исходное выражение: $6bc^2 - 3b^2c - 3c^3$.
Вынесем общий множитель $3c$ за скобки:
$3c(2bc - b^2 - c^2)$.
Для удобства вынесем из скобок $-1$:
$-3c(-2bc + b^2 + c^2)$.
Перегруппируем слагаемые внутри скобок для наглядности:
$-3c(b^2 - 2bc + c^2)$.
Выражение в скобках, $b^2 - 2bc + c^2$, является полным квадратом разности и соответствует формуле $(a-b)^2 = a^2 - 2ab + b^2$, где $a=b$ и $b=c$.
Свернем выражение по формуле:
$-3c(b-c)^2$.
Ответ: $-3c(b-c)^2$.
№890 (с. 242)
Условие. №890 (с. 242)
скриншот условия

890 a) $b^2 - c^2 - b + c;$
б) $a + b - a^2 + b^2;$
В) $a^2 - a - c^2 + c;$
Г) $m - m^2 - n + n^2.$
Решение 1. №890 (с. 242)




Решение 2. №890 (с. 242)

Решение 3. №890 (с. 242)

Решение 5. №890 (с. 242)

Решение 6. №890 (с. 242)
а) Чтобы разложить на множители многочлен $b^2 - c^2 - b + c$, применим метод группировки.
Сгруппируем первые два слагаемых и последние два: $(b^2 - c^2) + (-b + c)$.
Первая скобка представляет собой разность квадратов, которую можно разложить по формуле $x^2 - y^2 = (x-y)(x+y)$:
$b^2 - c^2 = (b-c)(b+c)$.
Из второй скобки вынесем общий множитель $-1$:
$-b + c = -(b-c)$.
Теперь исходное выражение выглядит так:
$(b-c)(b+c) - (b-c)$.
Мы видим общий множитель $(b-c)$, который можно вынести за скобку:
$(b-c)( (b+c) - 1 ) = (b-c)(b+c-1)$.
Ответ: $(b-c)(b+c-1)$
б) Чтобы разложить на множители многочлен $a + b - a^2 + b^2$, применим метод группировки.
Переставим слагаемые и сгруппируем их следующим образом: $(a+b) + (b^2 - a^2)$.
Вторая скобка является разностью квадратов:
$b^2 - a^2 = (b-a)(b+a)$.
Подставим разложенное выражение обратно:
$(a+b) + (b-a)(b+a)$.
Общий множитель для обоих слагаемых — это $(a+b)$ (так как $b+a = a+b$). Вынесем его за скобку:
$(a+b)(1 + (b-a)) = (a+b)(1+b-a)$.
Ответ: $(a+b)(1+b-a)$
в) Чтобы разложить на множители многочлен $a^2 - a - c^2 + c$, применим метод группировки.
Сгруппируем слагаемые с квадратами и слагаемые первой степени: $(a^2 - c^2) + (-a + c)$.
Разложим разность квадратов в первой скобке:
$a^2 - c^2 = (a-c)(a+c)$.
Вынесем $-1$ из второй скобки:
$-a + c = -(a-c)$.
Выражение принимает вид:
$(a-c)(a+c) - (a-c)$.
Вынесем общий множитель $(a-c)$ за скобку:
$(a-c)( (a+c) - 1 ) = (a-c)(a+c-1)$.
Ответ: $(a-c)(a+c-1)$
г) Чтобы разложить на множители многочлен $m - m^2 - n + n^2$, применим метод группировки.
Сгруппируем слагаемые следующим образом: $(m - n) + (n^2 - m^2)$.
Вторую скобку разложим как разность квадратов:
$n^2 - m^2 = (n-m)(n+m)$.
Исходное выражение станет:
$(m-n) + (n-m)(n+m)$.
Заметим, что множители $(m-n)$ и $(n-m)$ отличаются только знаком: $(n-m) = -(m-n)$. Заменим $(n-m)$ в выражении:
$(m-n) - (m-n)(n+m)$.
Теперь можно вынести общий множитель $(m-n)$ за скобку:
$(m-n)(1 - (n+m)) = (m-n)(1-n-m)$.
Ответ: $(m-n)(1-n-m)$
№891 (с. 242)
Условие. №891 (с. 242)
скриншот условия

891 a) $a^3 + a^2 - a - 1;$
б) $b^2 - bc - a^2 + ac;$
В) $ab^2 + cd^2 - ad^2 - b^2c;$
Г) $x^2y^2 + 1 - y^2 - x^2.$
Решение 1. №891 (с. 242)




Решение 2. №891 (с. 242)

Решение 3. №891 (с. 242)

Решение 5. №891 (с. 242)

Решение 6. №891 (с. 242)
а) $a^3 + a^2 - a - 1$
Для разложения данного многочлена на множители воспользуемся методом группировки. Сгруппируем первый член с третьим, а второй с четвертым, или попарно: первые два и последние два.
Сгруппируем первые два члена и последние два члена:
$(a^3 + a^2) + (-a - 1)$
Вынесем общий множитель за скобки в каждой из групп:
$a^2(a + 1) - 1(a + 1)$
Теперь видно, что у обеих групп есть общий множитель $(a + 1)$. Вынесем его за скобки:
$(a + 1)(a^2 - 1)$
Выражение во второй скобке $a^2 - 1$ является разностью квадратов. Применим формулу разности квадратов $x^2 - y^2 = (x - y)(x + y)$:
$a^2 - 1 = (a - 1)(a + 1)$
Подставим это разложение в наше выражение:
$(a + 1)(a - 1)(a + 1)$
Сгруппировав одинаковые множители, получим окончательный вид:
$(a - 1)(a + 1)^2$
Ответ: $(a - 1)(a + 1)^2$
б) $b^2 - bc - a^2 + ac$
Для разложения на множители применим метод группировки. Перегруппируем слагаемые для удобства: сгруппируем члены с квадратами и члены с переменной $c$.
$(b^2 - a^2) + (-bc + ac)$
Первая скобка представляет собой разность квадратов, разложим ее по формуле $x^2 - y^2 = (x - y)(x + y)$. Во второй скобке вынесем за скобки $c$.
$(b - a)(b + a) + c(a - b)$
Заметим, что выражения $(b - a)$ и $(a - b)$ отличаются только знаком, то есть $(a - b) = -(b - a)$. Заменим это в выражении:
$(b - a)(b + a) - c(b - a)$
Теперь у нас есть общий множитель $(b - a)$, который можно вынести за скобки:
$(b - a)((b + a) - c)$
Раскроем внутренние скобки:
$(b - a)(b + a - c)$
Ответ: $(b - a)(b + a - c)$
в) $ab^2 + cd^2 - ad^2 - b^2c$
Используем метод группировки. Переставим слагаемые так, чтобы сгруппировать члены с общими множителями. Сгруппируем члены с $b^2$ и члены с $d^2$.
$(ab^2 - b^2c) + (cd^2 - ad^2)$
Вынесем общие множители из каждой группы:
$b^2(a - c) + d^2(c - a)$
Выражения в скобках $(a - c)$ и $(c - a)$ являются противоположными. Заменим $(c - a)$ на $-(a - c)$:
$b^2(a - c) - d^2(a - c)$
Теперь вынесем общий множитель $(a - c)$ за скобки:
$(a - c)(b^2 - d^2)$
Второе выражение в скобках, $b^2 - d^2$, является разностью квадратов. Разложим его по формуле:
$(a - c)(b - d)(b + d)$
Ответ: $(a - c)(b - d)(b + d)$
г) $x^2y^2 + 1 - y^2 - x^2$
Для разложения на множители воспользуемся методом группировки. Перегруппируем слагаемые для удобства:
$(x^2y^2 - y^2) + (1 - x^2)$
Вынесем общие множители из каждой группы:
$y^2(x^2 - 1) + (1 - x^2)$
Заменим $(1 - x^2)$ на $-(x^2 - 1)$, чтобы получить общий множитель:
$y^2(x^2 - 1) - 1(x^2 - 1)$
Вынесем общий множитель $(x^2 - 1)$ за скобки:
$(x^2 - 1)(y^2 - 1)$
Оба множителя в скобках, $(x^2 - 1)$ и $(y^2 - 1)$, являются разностями квадратов. Применим к каждому из них формулу разности квадратов $a^2 - b^2 = (a - b)(a + b)$:
$(x - 1)(x + 1)(y - 1)(y + 1)$
Ответ: $(x - 1)(x + 1)(y - 1)(y + 1)$
№892 (с. 242)
Условие. №892 (с. 242)
скриншот условия

892 a) $a^3 + b^3 - a^2b - ab^2;$
Б) $xy^2 + x^2y - x^3 - y^3;$
В) $n^4 + an^3 - n - a;$
Г) $a^3 - 3a^2b + 3ab^2 - b^3.$
Решение 2. №892 (с. 242)

Решение 3. №892 (с. 242)

Решение 5. №892 (с. 242)

Решение 6. №892 (с. 242)
а) $a^3 + b^3 - a^2b - ab^2$
Для разложения на множители сгруппируем слагаемые. Один из способов группировки — объединить кубы и слагаемые со смешанными степенями:
$(a^3 + b^3) - (a^2b + ab^2)$.
Применим формулу суммы кубов $a^3 + b^3 = (a + b)(a^2 - ab + b^2)$ к первой группе, а во второй вынесем за скобки общий множитель $-ab$:
$(a + b)(a^2 - ab + b^2) - ab(a + b)$.
Теперь мы видим общий множитель $(a + b)$, который можно вынести за скобки:
$(a + b)((a^2 - ab + b^2) - ab)$.
Упростим выражение во второй скобке, приведя подобные слагаемые:
$(a + b)(a^2 - 2ab + b^2)$.
Выражение во второй скобке представляет собой формулу квадрата разности: $a^2 - 2ab + b^2 = (a - b)^2$.
Таким образом, итоговое разложение на множители имеет вид:
$(a + b)(a - b)^2$.
Ответ: $(a + b)(a - b)^2$.
б) $xy^2 + x^2y - x^3 - y^3$
Сгруппируем слагаемые для разложения на множители:
$(xy^2 + x^2y) - (x^3 + y^3)$.
В первой группе вынесем общий множитель $xy$. Ко второй группе применим формулу суммы кубов $x^3 + y^3 = (x + y)(x^2 - xy + y^2)$:
$xy(y + x) - (x + y)(x^2 - xy + y^2)$.
Вынесем общий множитель $(x + y)$ за скобки:
$(x + y)(xy - (x^2 - xy + y^2))$.
Раскроем внутренние скобки и приведём подобные слагаемые:
$(x + y)(xy - x^2 + xy - y^2) = (x + y)(-x^2 + 2xy - y^2)$.
Вынесем знак минус из второй скобки, чтобы получить стандартную формулу полного квадрата:
$-(x + y)(x^2 - 2xy + y^2)$.
Выражение $x^2 - 2xy + y^2$ является квадратом разности $(x - y)^2$.
Окончательный результат разложения:
$-(x + y)(x - y)^2$.
Ответ: $-(x + y)(x - y)^2$.
в) $n^4 + an^3 - n - a$
Для разложения на множители используем метод группировки:
$(n^4 + an^3) - (n + a)$.
Из первой группы вынесем общий множитель $n^3$:
$n^3(n + a) - 1(n + a)$.
Теперь вынесем за скобки общий множитель $(n + a)$:
$(n + a)(n^3 - 1)$.
Второй множитель $n^3 - 1$ является разностью кубов, которую можно разложить по формуле $a^3 - b^3 = (a - b)(a^2 + ab + b^2)$:
$n^3 - 1 = (n - 1)(n^2 + n \cdot 1 + 1^2) = (n - 1)(n^2 + n + 1)$.
Подставив это разложение в наше выражение, получаем окончательный ответ:
$(n + a)(n - 1)(n^2 + n + 1)$.
Ответ: $(n + a)(n - 1)(n^2 + n + 1)$.
г) $a^3 - 3a^2b + 3ab^2 - b^3$
Данное выражение является классической формулой сокращенного умножения, а именно — кубом разности.
Формула куба разности имеет вид: $(a - b)^3 = a^3 - 3a^2b + 3ab^2 - b^3$.
Сравнивая исходное выражение с этой формулой, мы видим полное совпадение.
Следовательно, данное выражение можно свернуть в куб разности $(a - b)$.
Ответ: $(a - b)^3$.
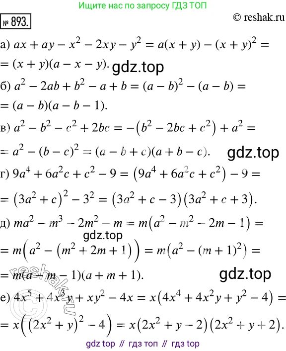
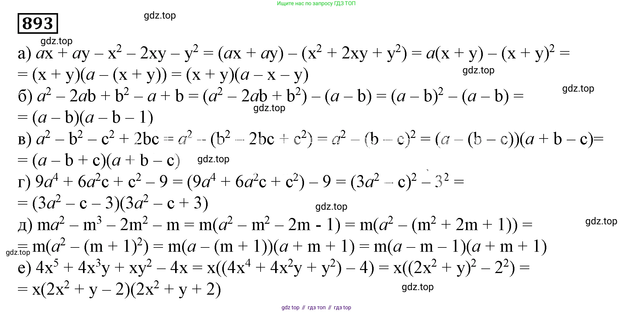
№893 (с. 242)
Условие. №893 (с. 242)
скриншот условия

893 a) $ax + ay - x^2 - 2xy - y^2;$
б) $a^2 - 2ab + b^2 - a + b;$
в) $a^2 - b^2 - c^2 + 2bc;$
г) $9a^4 + 6a^2c + c^2 - 9;$
д) $ma^2 - m^3 - 2m^2 - m;$
е) $4x^5 + 4x^3y + xy^2 - 4x.$
Решение 1. №893 (с. 242)






Решение 2. №893 (с. 242)

Решение 3. №893 (с. 242)

Решение 5. №893 (с. 242)

Решение 6. №893 (с. 242)
а) $ax + ay - x^2 - 2xy - y^2$
Сгруппируем слагаемые. Первые два слагаемых имеют общий множитель $a$. Последние три слагаемых, если вынести за скобку $-1$, образуют полный квадрат суммы.
$ax + ay - (x^2 + 2xy + y^2)$
Вынесем общий множитель $a$ в первой группе и применим формулу квадрата суммы $(a+b)^2 = a^2+2ab+b^2$ ко второй группе:
$a(x + y) - (x + y)^2$
Теперь у нас есть общий множитель $(x + y)$, который можно вынести за скобку:
$(x + y)(a - (x + y))$
Раскроем внутренние скобки:
$(x + y)(a - x - y)$
Ответ: $(x + y)(a - x - y)$
б) $a^2 - 2ab + b^2 - a + b$
Сгруппируем первые три слагаемых, которые представляют собой формулу квадрата разности. Вторую группу образуют последние два слагаемых.
$(a^2 - 2ab + b^2) - (a - b)$
Применим формулу квадрата разности $(a-b)^2 = a^2-2ab+b^2$ к первой группе:
$(a - b)^2 - (a - b)$
Вынесем общий множитель $(a - b)$ за скобку:
$(a - b)((a - b) - 1)$
Упростим выражение во второй скобке:
$(a - b)(a - b - 1)$
Ответ: $(a - b)(a - b - 1)$
в) $a^2 - b^2 - c^2 + 2bc$
Перегруппируем слагаемые, чтобы выделить формулу полного квадрата. Вынесем $-1$ за скобки у слагаемых, содержащих $b$ и $c$.
$a^2 - (b^2 - 2bc + c^2)$
Выражение в скобках является квадратом разности $(b-c)^2 = b^2 - 2bc + c^2$:
$a^2 - (b - c)^2$
Теперь мы получили разность квадратов $x^2 - y^2 = (x-y)(x+y)$, где $x=a$ и $y=(b-c)$:
$(a - (b - c))(a + (b - c))$
Раскроем внутренние скобки:
$(a - b + c)(a + b - c)$
Ответ: $(a - b + c)(a + b - c)$
г) $9a^4 + 6a^2c + c^2 - 9$
Сгруппируем первые три слагаемых. Они образуют полный квадрат суммы.
$(9a^4 + 6a^2c + c^2) - 9$
Заметим, что $9a^4 = (3a^2)^2$ и $c^2 = (c)^2$, а $6a^2c = 2 \cdot (3a^2) \cdot c$. Таким образом, выражение в скобках - это $(3a^2 + c)^2$:
$(3a^2 + c)^2 - 9$
Представим $9$ как $3^2$ и применим формулу разности квадратов $x^2 - y^2 = (x-y)(x+y)$, где $x=(3a^2+c)$ и $y=3$:
$(3a^2 + c)^2 - 3^2 = ((3a^2 + c) - 3)((3a^2 + c) + 3)$
Упростим выражение:
$(3a^2 + c - 3)(3a^2 + c + 3)$
Ответ: $(3a^2 + c - 3)(3a^2 + c + 3)$
д) $ma^2 - m^3 - 2m^2 - m$
Сначала вынесем общий множитель $m$ за скобки:
$m(a^2 - m^2 - 2m - 1)$
Теперь сгруппируем слагаемые внутри скобки, вынеся $-1$ за скобки у последних трех слагаемых:
$m(a^2 - (m^2 + 2m + 1))$
Выражение во внутренних скобках является квадратом суммы $(m+1)^2 = m^2 + 2m + 1$:
$m(a^2 - (m + 1)^2)$
Применим формулу разности квадратов $x^2 - y^2 = (x-y)(x+y)$, где $x=a$ и $y=(m+1)$:
$m(a - (m + 1))(a + (m + 1))$
Раскроем внутренние скобки:
$m(a - m - 1)(a + m + 1)$
Ответ: $m(a - m - 1)(a + m + 1)$
е) $4x^5 + 4x^3y + xy^2 - 4x$
Вынесем общий множитель $x$ за скобки:
$x(4x^4 + 4x^2y + y^2 - 4)$
Сгруппируем первые три слагаемых в скобках. Они образуют полный квадрат.
$x((4x^4 + 4x^2y + y^2) - 4)$
Заметим, что $4x^4 = (2x^2)^2$ и $y^2 = (y)^2$, а $4x^2y = 2 \cdot (2x^2) \cdot y$. Таким образом, выражение во внутренних скобках - это $(2x^2 + y)^2$:
$x((2x^2 + y)^2 - 4)$
Представим $4$ как $2^2$ и применим формулу разности квадратов $a^2 - b^2 = (a-b)(a+b)$, где $a=(2x^2+y)$ и $b=2$:
$x((2x^2 + y) - 2)((2x^2 + y) + 2)$
Упростим выражение:
$x(2x^2 + y - 2)(2x^2 + y + 2)$
Ответ: $x(2x^2 + y - 2)(2x^2 + y + 2)$
№894 (с. 242)
Условие. №894 (с. 242)
скриншот условия

894 a) $x^2(x - 3) + 10x(x - 3) + 25(x - 3);$
б) $4c^2(c + 2) + 9(c + 2) - 12c(c + 2);$
в) $a^2 - 25 - 2a(a^2 - 25) + a^2(a^2 - 25);$
г) $6x(y^2 - 1) + 9x^2(y^2 - 1) - 1 + y^2.$
Решение 1. №894 (с. 242)




Решение 2. №894 (с. 242)

Решение 3. №894 (с. 242)

Решение 5. №894 (с. 242)

Решение 6. №894 (с. 242)
а)
Данное выражение: $x^2(x - 3) + 10x(x - 3) + 25(x - 3)$.
Мы видим, что у всех трех слагаемых есть общий множитель $(x - 3)$. Вынесем его за скобки:
$(x - 3)(x^2 + 10x + 25)$
Теперь рассмотрим выражение во второй скобке: $x^2 + 10x + 25$. Это выражение является полным квадратом суммы, который можно разложить по формуле $(a + b)^2 = a^2 + 2ab + b^2$.
В нашем случае $a = x$, а $b^2 = 25$, значит $b = 5$. Проверим средний член: $2ab = 2 \cdot x \cdot 5 = 10x$. Он совпадает со средним членом в нашем выражении.
Таким образом, $x^2 + 10x + 25 = (x + 5)^2$.
Подставляя это обратно, мы получаем окончательное разложение на множители:
$(x - 3)(x + 5)^2$
Ответ: $(x - 3)(x + 5)^2$
б)
Данное выражение: $4c^2(c + 2) + 9(c + 2) - 12c(c + 2)$.
Общий множитель для всех слагаемых — $(c + 2)$. Вынесем его за скобки:
$(c + 2)(4c^2 + 9 - 12c)$
Переставим члены во второй скобке, чтобы привести их к стандартному виду: $(c + 2)(4c^2 - 12c + 9)$.
Выражение $4c^2 - 12c + 9$ является полным квадратом разности. Используем формулу $(a - b)^2 = a^2 - 2ab + b^2$.
Здесь $a^2 = 4c^2$, значит $a = 2c$. А $b^2 = 9$, значит $b = 3$. Проверим средний член: $-2ab = -2 \cdot (2c) \cdot 3 = -12c$. Он совпадает.
Следовательно, $4c^2 - 12c + 9 = (2c - 3)^2$.
Итоговое разложение на множители:
$(c + 2)(2c - 3)^2$
Ответ: $(c + 2)(2c - 3)^2$
в)
Данное выражение: $a^2 - 25 - 2a(a^2 - 25) + a^2(a^2 - 25)$.
Заметим, что $(a^2 - 25)$ является общим множителем. Мы можем представить первый член $a^2 - 25$ как $1 \cdot (a^2 - 25)$:
$1 \cdot (a^2 - 25) - 2a(a^2 - 25) + a^2(a^2 - 25)$
Вынесем общий множитель $(a^2 - 25)$ за скобки:
$(a^2 - 25)(1 - 2a + a^2)$
Теперь разложим каждый из множителей в скобках.
Первый множитель $(a^2 - 25)$ — это разность квадратов, которая раскладывается по формуле $x^2 - y^2 = (x - y)(x + y)$.
$a^2 - 25 = a^2 - 5^2 = (a - 5)(a + 5)$
Второй множитель $(1 - 2a + a^2)$ можно переписать как $(a^2 - 2a + 1)$. Это полный квадрат разности, соответствующий формуле $(x - y)^2 = x^2 - 2xy + y^2$.
$a^2 - 2a + 1 = (a - 1)^2$
Объединяя все полученные множители, получаем:
$(a - 5)(a + 5)(a - 1)^2$
Ответ: $(a - 5)(a + 5)(a - 1)^2$
г)
Данное выражение: $6x(y^2 - 1) + 9x^2(y^2 - 1) - 1 + y^2$.
Сначала сгруппируем последние два члена: $-1 + y^2$ можно записать как $(y^2 - 1)$. Тогда выражение принимает вид:
$6x(y^2 - 1) + 9x^2(y^2 - 1) + 1 \cdot (y^2 - 1)$
Теперь мы можем вынести общий множитель $(y^2 - 1)$ за скобки:
$(y^2 - 1)(6x + 9x^2 + 1)$
Разложим на множители оба выражения в скобках.
Первый множитель $(y^2 - 1)$ — это разность квадратов:
$y^2 - 1 = y^2 - 1^2 = (y - 1)(y + 1)$
Второй множитель $(6x + 9x^2 + 1)$ приведем к стандартному виду: $(9x^2 + 6x + 1)$. Это полный квадрат суммы, который раскладывается по формуле $(a + b)^2 = a^2 + 2ab + b^2$.
Здесь $a^2 = 9x^2$, значит $a = 3x$. А $b^2 = 1$, значит $b = 1$. Проверим средний член: $2ab = 2 \cdot (3x) \cdot 1 = 6x$. Он совпадает.
Следовательно, $9x^2 + 6x + 1 = (3x + 1)^2$.
Собираем все множители вместе:
$(y - 1)(y + 1)(3x + 1)^2$
Ответ: $(y - 1)(y + 1)(3x + 1)^2$
№895 (с. 242)
Условие. №895 (с. 242)
скриншот условия

895 a) $(a - x)(x^2 - y^2) - (x - y)(a^2 - x^2)$;
б) $(a - x)(x^3 - y^3) - (x - y)(a^3 - x^3)$.
Решение 1. №895 (с. 242)


Решение 2. №895 (с. 242)

Решение 3. №895 (с. 242)

Решение 5. №895 (с. 242)

Решение 6. №895 (с. 242)
а) Упростим выражение $(a-x)(x^2-y^2) - (x-y)(a^2-x^2)$.
Для этого разложим на множители выражения в скобках, используя формулу разности квадратов $m^2-n^2=(m-n)(m+n)$.
$x^2-y^2 = (x-y)(x+y)$
$a^2-x^2 = (a-x)(a+x)$
Подставим полученные разложения в исходное выражение:
$(a-x)(x-y)(x+y) - (x-y)(a-x)(a+x)$
Теперь мы видим общий множитель $(a-x)(x-y)$, который можно вынести за скобки:
$(a-x)(x-y) \cdot [(x+y) - (a+x)]$
Раскроем внутренние скобки и упростим выражение:
$(a-x)(x-y) \cdot (x+y-a-x) = (a-x)(x-y)(y-a)$
Ответ: $(a-x)(x-y)(y-a)$.
б) Упростим выражение $(a-x)(x^3-y^3) - (x-y)(a^3-x^3)$.
Для этого разложим на множители выражения в скобках, используя формулу разности кубов $m^3-n^3=(m-n)(m^2+mn+n^2)$.
$x^3-y^3 = (x-y)(x^2+xy+y^2)$
$a^3-x^3 = (a-x)(a^2+ax+x^2)$
Подставим полученные разложения в исходное выражение:
$(a-x)(x-y)(x^2+xy+y^2) - (x-y)(a-x)(a^2+ax+x^2)$
Вынесем общий множитель $(a-x)(x-y)$ за скобки:
$(a-x)(x-y) \cdot [(x^2+xy+y^2) - (a^2+ax+x^2)]$
Раскроем внутренние скобки и приведем подобные слагаемые:
$(a-x)(x-y) \cdot (x^2+xy+y^2-a^2-ax-x^2) = (a-x)(x-y)(xy+y^2-a^2-ax)$
Сгруппируем слагаемые в последней скобке и разложим на множители:
$xy+y^2-a^2-ax = (y^2-a^2) + (xy-ax) = (y-a)(y+a) + x(y-a) = (y-a)(y+a+x)$
Подставим это разложение обратно в выражение:
$(a-x)(x-y)(y-a)(a+x+y)$
Ответ: $(a-x)(x-y)(y-a)(a+x+y)$.
№896 (с. 242)
Условие. №896 (с. 242)
скриншот условия

896 РАЗБИРАЕМ СПОСОБ РЕШЕНИЯ
Трёхчлен $x^2 - 6x + 8$ можно разложить на множители, выделив квадрат двучлена:
$x^2 - 6x + 8 = x^2 - 6x + 8 + 1 - 1 = (x^2 - 6x + 9) - 1 = (x - 3)^2 - 1 = (x - 3 - 1)(x - 3 + 1) = (x - 4)(x - 2).$
Разложите на множители трёхчлен:
а) $a^2 + 4a - 5;$
б) $x^2 - 2x - 24;$
в) $a^2 + 8a + 15.$
Решение 1. №896 (с. 242)



Решение 2. №896 (с. 242)

Решение 3. №896 (с. 242)

Решение 5. №896 (с. 242)

Решение 6. №896 (с. 242)
а) $a^2 + 4a - 5$
Для разложения трёхчлена на множители воспользуемся методом выделения полного квадрата. Первые два слагаемых $a^2 + 4a$ являются частью формулы квадрата суммы $(x+y)^2 = x^2 + 2xy + y^2$. В нашем случае $x=a$, а $2xy = 4a$, откуда $y = \frac{4a}{2a} = 2$. Чтобы получить полный квадрат, нам не хватает слагаемого $y^2 = 2^2 = 4$.
Прибавим и вычтем 4 в исходном выражении, чтобы не изменить его значение, а затем сгруппируем слагаемые:
$a^2 + 4a - 5 = (a^2 + 4a + 4) - 4 - 5 = (a+2)^2 - 9$
Теперь мы получили разность квадратов, так как $9 = 3^2$. Применим формулу разности квадратов $x^2 - y^2 = (x-y)(x+y)$:
$(a+2)^2 - 3^2 = ((a+2) - 3)((a+2) + 3) = (a - 1)(a + 5)$
Ответ: $(a - 1)(a + 5)$
б) $x^2 - 2x - 24$
Выделим полный квадрат в выражении $x^2 - 2x$. Это часть формулы квадрата разности $(a-b)^2 = a^2 - 2ab + b^2$. Здесь $a=x$, $-2ab = -2x$, откуда $b = 1$. Недостающее слагаемое — $b^2 = 1^2 = 1$.
Прибавим и вычтем 1 в исходном выражении:
$x^2 - 2x - 24 = (x^2 - 2x + 1) - 1 - 24 = (x-1)^2 - 25$
Мы получили разность квадратов, так как $25 = 5^2$. Применим соответствующую формулу:
$(x-1)^2 - 5^2 = ((x-1) - 5)((x-1) + 5) = (x - 6)(x + 4)$
Ответ: $(x - 6)(x + 4)$
в) $a^2 + 8a + 15$
Выделим полный квадрат в выражении $a^2 + 8a$. Это часть формулы квадрата суммы $(x+y)^2 = x^2 + 2xy + y^2$. Здесь $x=a$, $2xy = 8a$, откуда $y = 4$. Недостающее слагаемое — $y^2 = 4^2 = 16$.
Прибавим и вычтем 16 в исходном выражении:
$a^2 + 8a + 15 = (a^2 + 8a + 16) - 16 + 15 = (a+4)^2 - 1$
Мы получили разность квадратов, так как $1 = 1^2$. Применим формулу разности квадратов:
$(a+4)^2 - 1^2 = ((a+4) - 1)((a+4) + 1) = (a + 3)(a + 5)$
Ответ: $(a + 3)(a + 5)$
Помогло решение? Оставьте отзыв в комментариях ниже.