Страница 125 - гдз по алгебре 7 класс учебник Мерзляк, Полонский

Авторы: Мерзляк А. Г., Полонский В. Б., Якир М. С.
Тип: Учебник
Издательство: Просвещение, Вентана-граф
Год издания: 2016 - 2022
Цвет обложки:
ISBN: 978-5-360-07440-3
Рекомендовано Министерством образования и науки Российской Федерации
Популярные ГДЗ в 7 классе
Cтраница 125

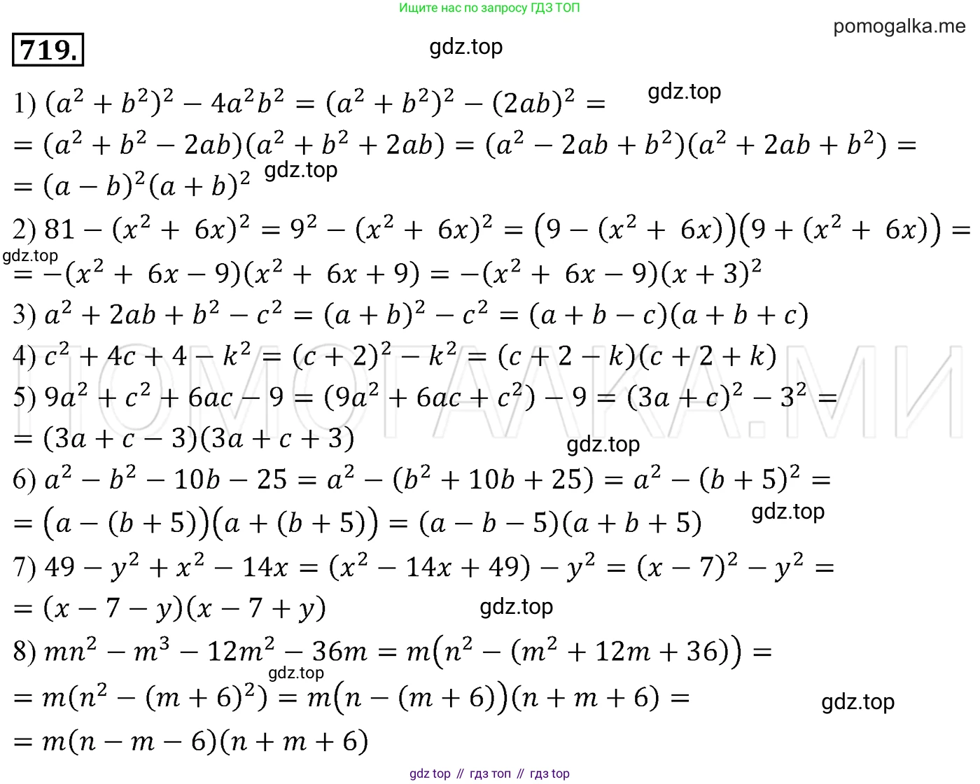
№719 (с. 125)
Условие. №719 (с. 125)

Решение 1. №719 (с. 125)








Решение 2. №719 (с. 125)

Решение 3. №719 (с. 125)

Решение 4. №719 (с. 125)

Решение 5. №719 (с. 125)

№720 (с. 125)
Условие. №720 (с. 125)

Решение 1. №720 (с. 125)






Решение 2. №720 (с. 125)

Решение 3. №720 (с. 125)

Решение 4. №720 (с. 125)

Решение 5. №720 (с. 125)

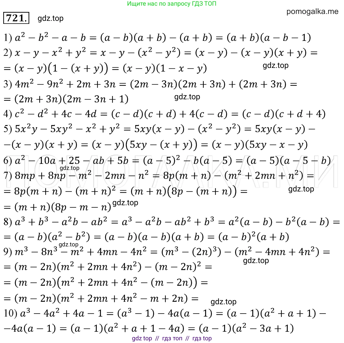
№721 (с. 125)
Условие. №721 (с. 125)

Решение 1. №721 (с. 125)










Решение 2. №721 (с. 125)

Решение 3. №721 (с. 125)

Решение 4. №721 (с. 125)

Решение 5. №721 (с. 125)

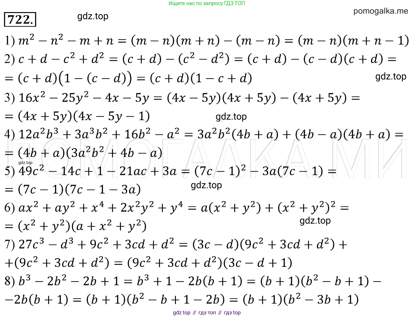
№722 (с. 125)
Условие. №722 (с. 125)

Решение 1. №722 (с. 125)








Решение 2. №722 (с. 125)

Решение 3. №722 (с. 125)

Решение 4. №722 (с. 125)

Решение 5. №722 (с. 125)

№723 (с. 125)
Условие. №723 (с. 125)

Решение 1. №723 (с. 125)




Решение 2. №723 (с. 125)

Решение 3. №723 (с. 125)

Решение 4. №723 (с. 125)

Решение 5. №723 (с. 125)

№724 (с. 125)
Условие. №724 (с. 125)

Решение 1. №724 (с. 125)




Решение 2. №724 (с. 125)

Решение 3. №724 (с. 125)

Решение 4. №724 (с. 125)

Решение 5. №724 (с. 125)

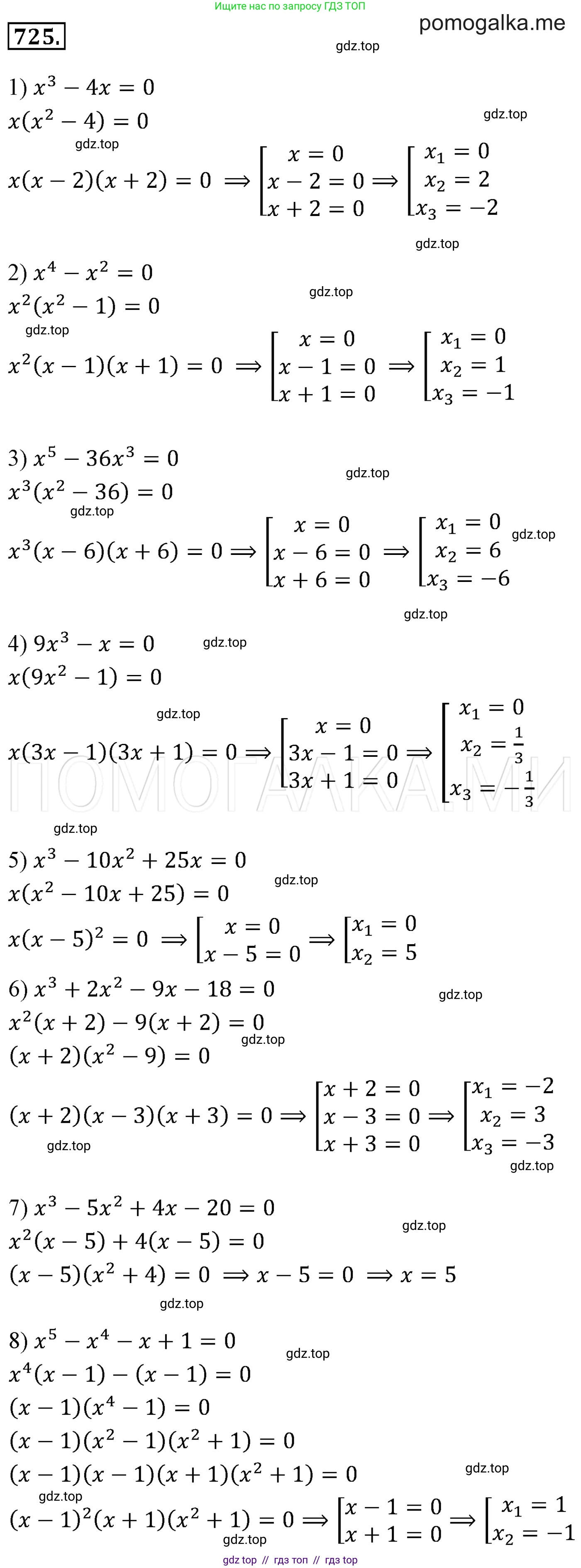
№725 (с. 125)
Условие. №725 (с. 125)

Решение 1. №725 (с. 125)








Решение 2. №725 (с. 125)


Решение 3. №725 (с. 125)

Решение 4. №725 (с. 125)

Решение 5. №725 (с. 125)

№726 (с. 125)
Условие. №726 (с. 125)

Решение 1. №726 (с. 125)






Решение 2. №726 (с. 125)


Решение 3. №726 (с. 125)

Решение 4. №726 (с. 125)

Решение 5. №726 (с. 125)

Помогло решение? Оставьте отзыв в комментариях ниже.