Страница 63 - гдз по алгебре 7 класс учебник Мерзляк, Полонский

Авторы: Мерзляк А. Г., Полонский В. Б., Якир М. С.
Тип: Учебник
Издательство: Просвещение, Вентана-граф
Год издания: 2016 - 2022
Цвет обложки:
ISBN: 978-5-360-07440-3
Рекомендовано Министерством образования и науки Российской Федерации
Популярные ГДЗ в 7 классе
Cтраница 63

№306 (с. 63)
Условие. №306 (с. 63)

Решение 1. №306 (с. 63)


Решение 2. №306 (с. 63)

Решение 3. №306 (с. 63)

Решение 4. №306 (с. 63)

Решение 5. №306 (с. 63)

№307 (с. 63)
Условие. №307 (с. 63)

Решение 1. №307 (с. 63)




Решение 2. №307 (с. 63)

Решение 3. №307 (с. 63)

Решение 4. №307 (с. 63)

Решение 5. №307 (с. 63)

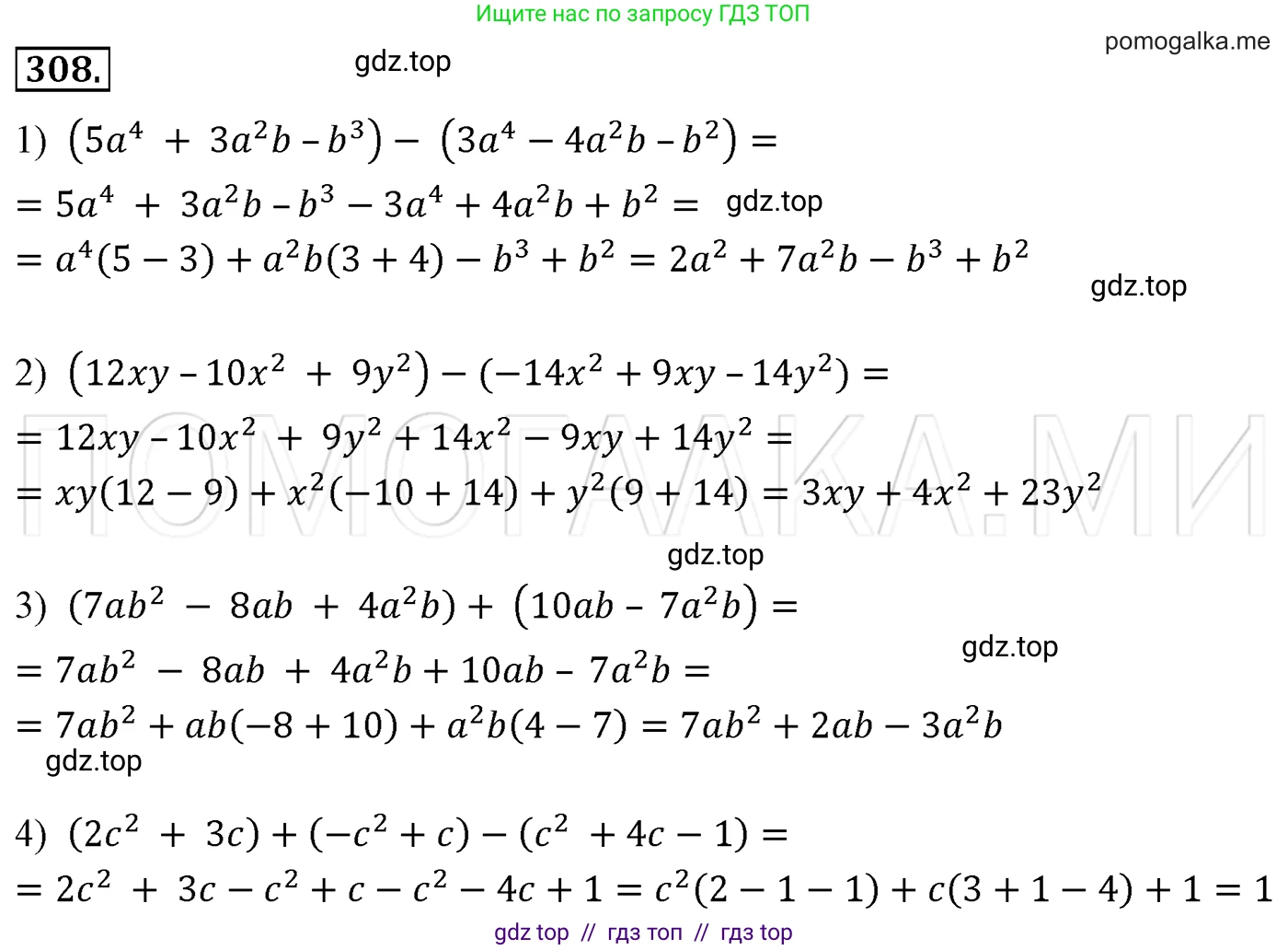
№308 (с. 63)
Условие. №308 (с. 63)

Решение 1. №308 (с. 63)




Решение 2. №308 (с. 63)

Решение 3. №308 (с. 63)

Решение 4. №308 (с. 63)

Решение 5. №308 (с. 63)

№309 (с. 63)
Условие. №309 (с. 63)

Решение 1. №309 (с. 63)




Решение 2. №309 (с. 63)

Решение 3. №309 (с. 63)

Решение 4. №309 (с. 63)

Решение 5. №309 (с. 63)

№310 (с. 63)
Условие. №310 (с. 63)

Решение 1. №310 (с. 63)




Решение 2. №310 (с. 63)

Решение 3. №310 (с. 63)

Решение 4. №310 (с. 63)

Решение 5. №310 (с. 63)

№311 (с. 63)
Условие. №311 (с. 63)

Решение 1. №311 (с. 63)




Решение 2. №311 (с. 63)

Решение 3. №311 (с. 63)

Решение 4. №311 (с. 63)

Решение 5. №311 (с. 63)

№312 (с. 63)
Условие. №312 (с. 63)

Решение 1. №312 (с. 63)



Решение 2. №312 (с. 63)

Решение 3. №312 (с. 63)

Решение 4. №312 (с. 63)

Решение 5. №312 (с. 63)

№313 (с. 63)
Условие. №313 (с. 63)

Решение 1. №313 (с. 63)



Решение 2. №313 (с. 63)

Решение 3. №313 (с. 63)

Решение 4. №313 (с. 63)

Решение 5. №313 (с. 63)

Помогло решение? Оставьте отзыв в комментариях ниже.