Номер 29.13, страница 131, часть 2 - гдз по алгебре 7 класс учебник Мордкович, Александрова
 
                                                Авторы: Мордкович А. Г., Александрова Л. А., Мишустина Т. Н., Тульчинская Е. Е.
Тип: Учебник
Издательство: Мнемозина
Год издания: 2019 - 2025
Часть: 2
Цвет обложки:
ISBN: 978-5-346-04640-0
Допущено Министерством просвещения Российской Федерации
Популярные ГДЗ в 7 классе
Часть 2. Глава 6. Многочлены. Арифметические операции над многочленами. Параграф 29. Основные понятия - номер 29.13, страница 131.
№29.13 (с. 131)
Условие. №29.13 (с. 131)
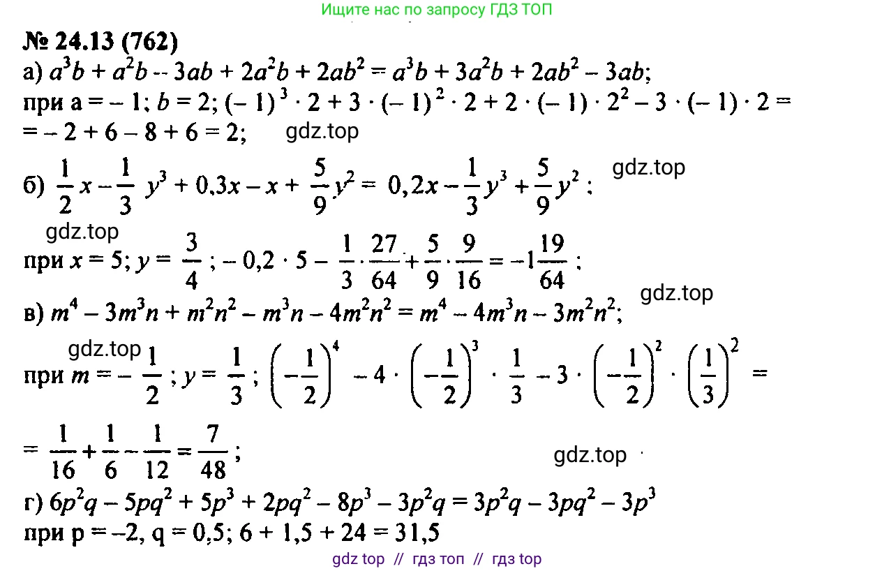
скриншот условия
 
                                29.13 Приведите многочлен к стандартному виду и найдите его значение:
а) $a^3b + a^2b - 3ab^2 + 2a^2b + 2ab^2$ при $a = -1, b = 2;$
б) $\frac{1}{2}x - \frac{1}{3}y^2 + 0,3x - x + \frac{5}{9}y^2$ при $x = 5, y = \frac{3}{4};$
в) $m^4 - 3m^3n + m^2n^2 - m^3n - 4m^2n^2$ при $m = -\frac{1}{2}, n = \frac{1}{3};$
г) $6p^2q - 5pq^2 + 5p^3 + 2pq^2 - 8p^3 - 3p^2q$ при $p = -2, q = 0,5.$
Решение 1. №29.13 (с. 131)
 
             
                            Решение 3. №29.13 (с. 131)
 
                            Решение 4. №29.13 (с. 131)
 
                            Решение 5. №29.13 (с. 131)
 
                            Решение 8. №29.13 (с. 131)
а) Исходный многочлен: $a^3b + a^2b - 3ab^2 + 2a^2b + 2ab^2$.
Сначала приведем многочлен к стандартному виду, сгруппировав и сложив подобные члены (одночлены с одинаковой буквенной частью):
$a^3b + (a^2b + 2a^2b) + (-3ab^2 + 2ab^2) = a^3b + 3a^2b - ab^2$.
Запишем многочлен в стандартном виде, расположив члены в порядке убывания степени переменной $a$:
$a^3b + 3a^2b - ab^2$.
Теперь найдем значение выражения при $a = -1$ и $b = 2$.
Подставим значения переменных в упрощенный многочлен:
$a^3b + 3a^2b - ab^2 = (-1)^3 \cdot 2 + 3 \cdot (-1)^2 \cdot 2 - (-1) \cdot 2^2 = (-1) \cdot 2 + 3 \cdot 1 \cdot 2 - (-1) \cdot 4 = -2 + 6 + 4 = 8$.
Ответ: 8
б) Исходный многочлен: $\frac{1}{2}x - \frac{1}{3}y^2 + 0,3x - x + \frac{5}{9}y^2$.
Приведем многочлен к стандартному виду. Для этого сгруппируем и сложим подобные члены.
Группа с $x$: $\frac{1}{2}x + 0,3x - x$.
Группа с $y^2$: $-\frac{1}{3}y^2 + \frac{5}{9}y^2$.
Представим десятичную дробь $0,3$ в виде обыкновенной: $0,3 = \frac{3}{10}$.
Вычислим сумму коэффициентов при $x$:
$\frac{1}{2} + \frac{3}{10} - 1 = \frac{5}{10} + \frac{3}{10} - \frac{10}{10} = \frac{5+3-10}{10} = -\frac{2}{10} = -\frac{1}{5}$.
Вычислим сумму коэффициентов при $y^2$:
$-\frac{1}{3} + \frac{5}{9} = -\frac{3}{9} + \frac{5}{9} = \frac{-3+5}{9} = \frac{2}{9}$.
Стандартный вид многочлена: $-\frac{1}{5}x + \frac{2}{9}y^2$.
Найдем значение выражения при $x = 5$ и $y = \frac{3}{4}$.
Подставим значения:
$-\frac{1}{5}x + \frac{2}{9}y^2 = -\frac{1}{5} \cdot 5 + \frac{2}{9} \cdot (\frac{3}{4})^2 = -1 + \frac{2}{9} \cdot \frac{9}{16} = -1 + \frac{2 \cdot 9}{9 \cdot 16} = -1 + \frac{2}{16} = -1 + \frac{1}{8} = -\frac{8}{8} + \frac{1}{8} = -\frac{7}{8}$.
Ответ: $-\frac{7}{8}$
в) Исходный многочлен: $m^4 - 3m^3n + m^2n^2 - m^3n - 4m^2n^2$.
Приведем многочлен к стандартному виду, сгруппировав подобные члены:
$m^4 + (-3m^3n - m^3n) + (m^2n^2 - 4m^2n^2) = m^4 - 4m^3n - 3m^2n^2$.
Найдем значение выражения при $m = -\frac{1}{2}$ и $n = \frac{1}{3}$.
Подставим значения в упрощенный многочлен:
$m^4 - 4m^3n - 3m^2n^2 = (-\frac{1}{2})^4 - 4(-\frac{1}{2})^3(\frac{1}{3}) - 3(-\frac{1}{2})^2(\frac{1}{3})^2 = \frac{1}{16} - 4(-\frac{1}{8})(\frac{1}{3}) - 3(\frac{1}{4})(\frac{1}{9}) = \frac{1}{16} + \frac{4}{24} - \frac{3}{36} = \frac{1}{16} + \frac{1}{6} - \frac{1}{12}$.
Приведем дроби к общему знаменателю 48:
$\frac{1 \cdot 3}{16 \cdot 3} + \frac{1 \cdot 8}{6 \cdot 8} - \frac{1 \cdot 4}{12 \cdot 4} = \frac{3}{48} + \frac{8}{48} - \frac{4}{48} = \frac{3+8-4}{48} = \frac{7}{48}$.
Ответ: $\frac{7}{48}$
г) Исходный многочлен: $6p^2q - 5pq^2 + 5p^3 + 2pq^2 - 8p^3 - 3p^2q$.
Приведем многочлен к стандартному виду. Сгруппируем подобные члены и расположим их в порядке убывания степени переменной $p$:
$(5p^3 - 8p^3) + (6p^2q - 3p^2q) + (-5pq^2 + 2pq^2) = -3p^3 + 3p^2q - 3pq^2$.
Найдем значение выражения при $p = -2$ и $q = 0,5$.
Подставим значения в упрощенный многочлен:
$-3p^3 + 3p^2q - 3pq^2 = -3(-2)^3 + 3(-2)^2(0,5) - 3(-2)(0,5)^2 = -3(-8) + 3(4)(0,5) - 3(-2)(0,25) = 24 + 12 \cdot 0,5 + 6 \cdot 0,25 = 24 + 6 + 1,5 = 31,5$.
Ответ: 31,5
Другие задания:
Помогло решение? Оставьте отзыв в комментариях ниже.
Присоединяйтесь к Телеграм-группе @top_gdz
ПрисоединитьсяМы подготовили для вас ответ c подробным объяснением домашего задания по алгебре за 7 класс, для упражнения номер 29.13 расположенного на странице 131 для 2-й части к учебнику 2019 года издания для учащихся школ и гимназий.
Теперь на нашем сайте ГДЗ.ТОП вы всегда легко и бесплатно найдёте условие с правильным ответом на вопрос «Как решить ДЗ» и «Как сделать» задание по алгебре к упражнению №29.13 (с. 131), авторов: Мордкович (Александр Григорьевич), Александрова (Лилия Александровна), Мишустина (Татьяна Николаевна), Тульчинская (Елена Ефимовна), 2-й части ФГОС (старый) учебного пособия издательства Мнемозина.
 
                     
                     
                     
                     
                     
                     
                     
                     
                     
                     
                     
                     
                     
                    