Номер 31.14, страница 138, часть 2 - гдз по алгебре 7 класс учебник Мордкович, Александрова
 
                                                Авторы: Мордкович А. Г., Александрова Л. А., Мишустина Т. Н., Тульчинская Е. Е.
Тип: Учебник
Издательство: Мнемозина
Год издания: 2019 - 2025
Часть: 2
Цвет обложки:
ISBN: 978-5-346-04640-0
Допущено Министерством просвещения Российской Федерации
Популярные ГДЗ в 7 классе
Часть 2. Глава 6. Многочлены. Арифметические операции над многочленами. Параграф 31. Умножение многочлена на одночлен - номер 31.14, страница 138.
№31.14 (с. 138)
Условие. №31.14 (с. 138)
скриншот условия
 
                                Выполните действия:
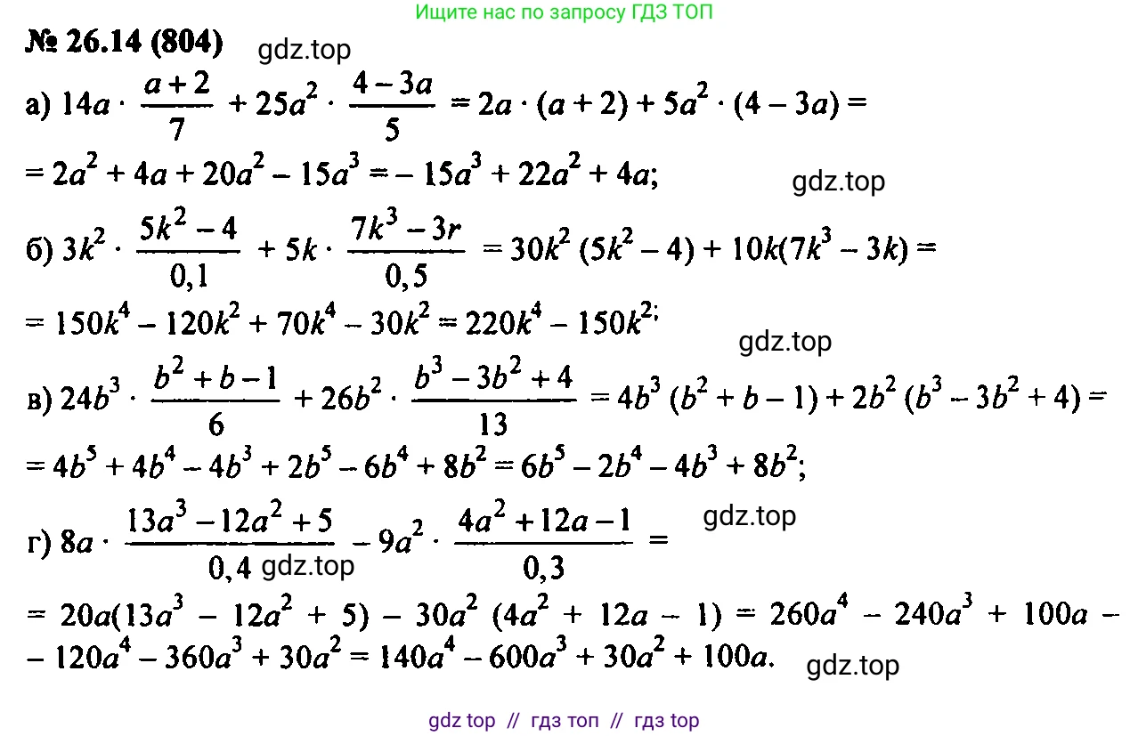
31.14 а) $14a \cdot \frac{a+2}{7} + 25a^2 \cdot \frac{4-3a}{5};$
б) $3k^2 \cdot \frac{5k^2-4}{0,1} + 5k \cdot \frac{7k^3-3k}{0,5};$
в) $24b^3 \cdot \frac{b^2+b-1}{6} + 26b^2 \cdot \frac{b^3-3b^2+4}{13};$
г) $8a \cdot \frac{13a^3-12a^2+5}{0,4} - 9a^2 \cdot \frac{4a^2+12a-1}{0,3}.$
Решение 1. №31.14 (с. 138)
 
             
             
             
                            Решение 3. №31.14 (с. 138)
 
                            Решение 4. №31.14 (с. 138)
 
                            Решение 5. №31.14 (с. 138)
 
                            Решение 7. №31.14 (с. 138)
 
                            Решение 8. №31.14 (с. 138)
а) Чтобы выполнить действия в выражении $14a \cdot \frac{a+2}{7} + 25a^2 \cdot \frac{4-3a}{5}$, сначала упростим каждое слагаемое отдельно.
1. Упростим первое слагаемое: $14a \cdot \frac{a+2}{7}$. Мы можем сократить множитель $14a$ и знаменатель $7$:
$\frac{14a}{7} \cdot (a+2) = 2a \cdot (a+2)$
Теперь раскроем скобки, умножив $2a$ на каждый член многочлена $a+2$:
$2a \cdot a + 2a \cdot 2 = 2a^2 + 4a$
2. Упростим второе слагаемое: $25a^2 \cdot \frac{4-3a}{5}$. Сократим $25a^2$ и $5$:
$\frac{25a^2}{5} \cdot (4-3a) = 5a^2 \cdot (4-3a)$
Раскроем скобки, умножив $5a^2$ на каждый член многочлена $4-3a$:
$5a^2 \cdot 4 - 5a^2 \cdot 3a = 20a^2 - 15a^3$
3. Сложим полученные выражения и приведем подобные члены:
$(2a^2 + 4a) + (20a^2 - 15a^3) = -15a^3 + (2a^2 + 20a^2) + 4a = -15a^3 + 22a^2 + 4a$
Ответ: $-15a^3 + 22a^2 + 4a$
б) Чтобы выполнить действия в выражении $3k^2 \cdot \frac{5k^2-4}{0,1} + 5k \cdot \frac{7k^3-3k}{0,5}$, мы заменим деление на десятичную дробь умножением.
1. Упростим первое слагаемое: $3k^2 \cdot \frac{5k^2-4}{0,1}$. Деление на $0,1$ эквивалентно умножению на $10$:
$3k^2 \cdot 10 \cdot (5k^2-4) = 30k^2 \cdot (5k^2-4)$
Раскроем скобки:
$30k^2 \cdot 5k^2 - 30k^2 \cdot 4 = 150k^4 - 120k^2$
2. Упростим второе слагаемое: $5k \cdot \frac{7k^3-3k}{0,5}$. Деление на $0,5$ эквивалентно умножению на $2$:
$5k \cdot 2 \cdot (7k^3-3k) = 10k \cdot (7k^3-3k)$
Раскроем скобки:
$10k \cdot 7k^3 - 10k \cdot 3k = 70k^4 - 30k^2$
3. Сложим полученные многочлены и приведем подобные члены:
$(150k^4 - 120k^2) + (70k^4 - 30k^2) = (150k^4 + 70k^4) + (-120k^2 - 30k^2) = 220k^4 - 150k^2$
Ответ: $220k^4 - 150k^2$
в) Выполним действия в выражении $24b^3 \cdot \frac{b^2+b-1}{6} + 26b^2 \cdot \frac{b^3-3b^2+4}{13}$.
1. Упростим первое слагаемое $24b^3 \cdot \frac{b^2+b-1}{6}$. Сократим $24b^3$ и $6$:
$\frac{24b^3}{6} \cdot (b^2+b-1) = 4b^3 \cdot (b^2+b-1)$
Раскроем скобки:
$4b^3 \cdot b^2 + 4b^3 \cdot b - 4b^3 \cdot 1 = 4b^5 + 4b^4 - 4b^3$
2. Упростим второе слагаемое $26b^2 \cdot \frac{b^3-3b^2+4}{13}$. Сократим $26b^2$ и $13$:
$\frac{26b^2}{13} \cdot (b^3-3b^2+4) = 2b^2 \cdot (b^3-3b^2+4)$
Раскроем скобки:
$2b^2 \cdot b^3 - 2b^2 \cdot 3b^2 + 2b^2 \cdot 4 = 2b^5 - 6b^4 + 8b^2$
3. Сложим полученные многочлены и приведем подобные члены:
$(4b^5 + 4b^4 - 4b^3) + (2b^5 - 6b^4 + 8b^2) = (4b^5+2b^5) + (4b^4-6b^4) - 4b^3 + 8b^2 = 6b^5 - 2b^4 - 4b^3 + 8b^2$
Ответ: $6b^5 - 2b^4 - 4b^3 + 8b^2$
г) Рассмотрим выражение $8a \cdot \frac{13a^3-12a^2+5}{0,4} - 9a^2 \cdot \frac{4a^2+12a-1}{0,3}$.
1. Упростим первое слагаемое $8a \cdot \frac{13a^3-12a^2+5}{0,4}$. Деление на $0,4$ эквивалентно умножению на $2,5$ (так как $1/0,4 = 10/4 = 2,5$):
$8a \cdot 2,5 \cdot (13a^3-12a^2+5) = 20a \cdot (13a^3-12a^2+5)$
Раскроем скобки:
$20a \cdot 13a^3 - 20a \cdot 12a^2 + 20a \cdot 5 = 260a^4 - 240a^3 + 100a$
2. Упростим вычитаемое $- 9a^2 \cdot \frac{4a^2+12a-1}{0,3}$. Деление на $0,3$ эквивалентно умножению на $\frac{10}{3}$:
$-9a^2 \cdot \frac{10}{3} \cdot (4a^2+12a-1) = -30a^2 \cdot (4a^2+12a-1)$
Раскроем скобки, учитывая знак минус перед всем выражением:
$-30a^2 \cdot 4a^2 - 30a^2 \cdot 12a - 30a^2 \cdot (-1) = -120a^4 - 360a^3 + 30a^2$
3. Выполним сложение полученных многочленов:
$(260a^4 - 240a^3 + 100a) + (-120a^4 - 360a^3 + 30a^2)$
Сгруппируем и приведем подобные члены:
$(260a^4 - 120a^4) + (-240a^3 - 360a^3) + 30a^2 + 100a = 140a^4 - 600a^3 + 30a^2 + 100a$
Ответ: $140a^4 - 600a^3 + 30a^2 + 100a$
Другие задания:
Помогло решение? Оставьте отзыв в комментариях ниже.
Присоединяйтесь к Телеграм-группе @top_gdz
ПрисоединитьсяМы подготовили для вас ответ c подробным объяснением домашего задания по алгебре за 7 класс, для упражнения номер 31.14 расположенного на странице 138 для 2-й части к учебнику 2019 года издания для учащихся школ и гимназий.
Теперь на нашем сайте ГДЗ.ТОП вы всегда легко и бесплатно найдёте условие с правильным ответом на вопрос «Как решить ДЗ» и «Как сделать» задание по алгебре к упражнению №31.14 (с. 138), авторов: Мордкович (Александр Григорьевич), Александрова (Лилия Александровна), Мишустина (Татьяна Николаевна), Тульчинская (Елена Ефимовна), 2-й части ФГОС (старый) учебного пособия издательства Мнемозина.
 
                     
                     
                     
                     
                     
                     
                     
                     
                     
                     
                     
                     
                     
                    