Номер 31.15, страница 138, часть 2 - гдз по алгебре 7 класс учебник Мордкович, Александрова
 
                                                Авторы: Мордкович А. Г., Александрова Л. А., Мишустина Т. Н., Тульчинская Е. Е.
Тип: Учебник
Издательство: Мнемозина
Год издания: 2019 - 2025
Часть: 2
Цвет обложки:
ISBN: 978-5-346-04640-0
Допущено Министерством просвещения Российской Федерации
Популярные ГДЗ в 7 классе
Часть 2. Глава 6. Многочлены. Арифметические операции над многочленами. Параграф 31. Умножение многочлена на одночлен - номер 31.15, страница 138.
№31.15 (с. 138)
Условие. №31.15 (с. 138)
скриншот условия
 
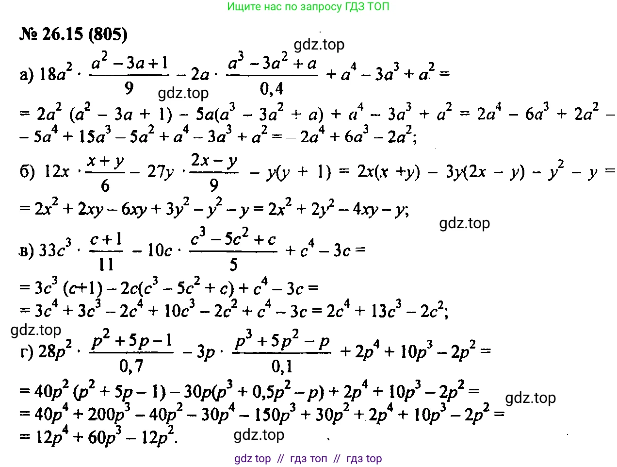
                                31.15 a) $18a^2 \cdot \frac{a^2 - 3a + 1}{9} - 2a \cdot \frac{a^3 - 3a^2 + a}{0.4} + a^4 - 3a^3 + a^2;$
б) $12x \cdot \frac{x+y}{6} - 27y \cdot \frac{2x-y}{9} - y(y+1);$
в) $33c^3 \cdot \frac{c+1}{11} - 10c \cdot \frac{c^3 - 5c^2 + c}{5} + c^4 - 3c;$
г) $28p^2 \cdot \frac{p^2 + 5p - 1}{0.7} - 3p \cdot \frac{p^3 + 5p^2 - p}{0.1} + 2p^4 + 10p^3 - 2p^2.$
Решение 1. №31.15 (с. 138)
 
             
             
             
                            Решение 3. №31.15 (с. 138)
 
                            Решение 4. №31.15 (с. 138)
 
                            Решение 5. №31.15 (с. 138)
 
                            Решение 7. №31.15 (с. 138)
 
                            Решение 8. №31.15 (с. 138)
а) $18a^2 \cdot \frac{a^2 - 3a + 1}{9} - 2a \cdot \frac{a^3 - 3a^2 + a}{0,4} + a^4 - 3a^3 + a^2$
Чтобы упростить выражение, выполним действия поочередно.
1. Упростим первое слагаемое: $18a^2 \cdot \frac{a^2 - 3a + 1}{9} = \frac{18}{9}a^2(a^2 - 3a + 1) = 2a^2(a^2 - 3a + 1) = 2a^4 - 6a^3 + 2a^2$.
2. Упростим второе слагаемое. Заметим, что $0,4 = \frac{4}{10} = \frac{2}{5}$. Тогда:
$-2a \cdot \frac{a^3 - 3a^2 + a}{0,4} = -2a \cdot \frac{a^3 - 3a^2 + a}{2/5} = -2a \cdot \frac{5(a^3 - 3a^2 + a)}{2} = -a \cdot 5(a^3 - 3a^2 + a) = -5a(a^3 - 3a^2 + a) = -5a^4 + 15a^3 - 5a^2$.
3. Теперь соберем все слагаемые вместе и приведем подобные члены:
$(2a^4 - 6a^3 + 2a^2) + (-5a^4 + 15a^3 - 5a^2) + (a^4 - 3a^3 + a^2) =$
$= (2a^4 - 5a^4 + a^4) + (-6a^3 + 15a^3 - 3a^3) + (2a^2 - 5a^2 + a^2) = -2a^4 + 6a^3 - 2a^2$.
Ответ: $-2a^4 + 6a^3 - 2a^2$.
б) $12x \cdot \frac{x + y}{6} - 27y \cdot \frac{2x - y}{9} - y(y+1)$
Упростим выражение по частям.
1. $12x \cdot \frac{x+y}{6} = \frac{12}{6}x(x+y) = 2x(x+y) = 2x^2 + 2xy$.
2. $-27y \cdot \frac{2x-y}{9} = -\frac{27}{9}y(2x-y) = -3y(2x-y) = -6xy + 3y^2$.
3. $-y(y+1) = -y^2 - y$.
4. Сложим все части и приведем подобные слагаемые:
$2x^2 + 2xy - 6xy + 3y^2 - y^2 - y = 2x^2 - 4xy + 2y^2 - y$.
Ответ: $2x^2 - 4xy + 2y^2 - y$.
в) $33c^3 \cdot \frac{c+1}{11} - 10c \cdot \frac{c^3 - 5c^2 + c}{5} + c^4 - 3c$
Упростим выражение по частям.
1. $33c^3 \cdot \frac{c+1}{11} = \frac{33}{11}c^3(c+1) = 3c^3(c+1) = 3c^4 + 3c^3$.
2. $-10c \cdot \frac{c^3 - 5c^2 + c}{5} = -\frac{10}{5}c(c^3 - 5c^2 + c) = -2c(c^3 - 5c^2 + c) = -2c^4 + 10c^3 - 2c^2$.
3. Сложим все части и приведем подобные члены:
$(3c^4 + 3c^3) + (-2c^4 + 10c^3 - 2c^2) + c^4 - 3c =$
$= (3c^4 - 2c^4 + c^4) + (3c^3 + 10c^3) - 2c^2 - 3c = 2c^4 + 13c^3 - 2c^2 - 3c$.
Ответ: $2c^4 + 13c^3 - 2c^2 - 3c$.
г) $28p^2 \cdot \frac{p^2 + 5p - 1}{0,7} - 3p \cdot \frac{p^3 + 5p^2 - p}{0,1} + 2p^4 + 10p^3 - 2p^2$
Упростим выражение по частям.
1. Упростим первое слагаемое: $28p^2 \cdot \frac{p^2 + 5p - 1}{0,7} = \frac{28}{0,7}p^2(p^2 + 5p - 1) = 40p^2(p^2 + 5p - 1) = 40p^4 + 200p^3 - 40p^2$.
2. Упростим второе слагаемое: $-3p \cdot \frac{p^3 + 5p^2 - p}{0,1} = -\frac{3}{0,1}p(p^3 + 5p^2 - p) = -30p(p^3 + 5p^2 - p) = -30p^4 - 150p^3 + 30p^2$.
3. Сложим все части и приведем подобные члены:
$(40p^4 + 200p^3 - 40p^2) + (-30p^4 - 150p^3 + 30p^2) + (2p^4 + 10p^3 - 2p^2) =$
$= (40p^4 - 30p^4 + 2p^4) + (200p^3 - 150p^3 + 10p^3) + (-40p^2 + 30p^2 - 2p^2) = 12p^4 + 60p^3 - 12p^2$.
Ответ: $12p^4 + 60p^3 - 12p^2$.
Другие задания:
Помогло решение? Оставьте отзыв в комментариях ниже.
Присоединяйтесь к Телеграм-группе @top_gdz
ПрисоединитьсяМы подготовили для вас ответ c подробным объяснением домашего задания по алгебре за 7 класс, для упражнения номер 31.15 расположенного на странице 138 для 2-й части к учебнику 2019 года издания для учащихся школ и гимназий.
Теперь на нашем сайте ГДЗ.ТОП вы всегда легко и бесплатно найдёте условие с правильным ответом на вопрос «Как решить ДЗ» и «Как сделать» задание по алгебре к упражнению №31.15 (с. 138), авторов: Мордкович (Александр Григорьевич), Александрова (Лилия Александровна), Мишустина (Татьяна Николаевна), Тульчинская (Елена Ефимовна), 2-й части ФГОС (старый) учебного пособия издательства Мнемозина.
 
                     
                     
                     
                     
                     
                     
                     
                     
                     
                     
                     
                     
                     
                    