Номер 34.14, страница 153, часть 2 - гдз по алгебре 7 класс учебник Мордкович, Александрова
 
                                                Авторы: Мордкович А. Г., Александрова Л. А., Мишустина Т. Н., Тульчинская Е. Е.
Тип: Учебник
Издательство: Мнемозина
Год издания: 2019 - 2025
Часть: 2
Цвет обложки:
ISBN: 978-5-346-04640-0
Допущено Министерством просвещения Российской Федерации
Популярные ГДЗ в 7 классе
Часть 2. Глава 6. Многочлены. Арифметические операции над многочленами. Параграф 34. Деление многочлена на одночлен - номер 34.14, страница 153.
№34.14 (с. 153)
Условие. №34.14 (с. 153)
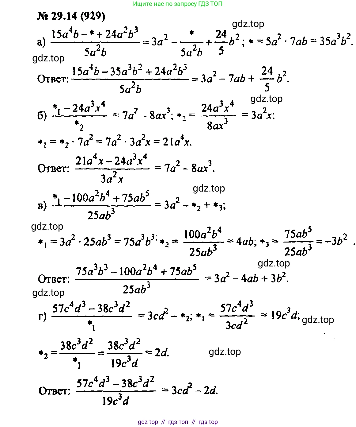
скриншот условия
 
                                Замените символы * одночленами так, чтобы выполнялось равенство:
34.14 a) $ \frac{15a^4b - * + 20a^2b^3}{5a^2b} = * - 7ab + *; $
б) $ \frac{* - 24a^3x^4}{*} = 7a^2 - 8ax^3; $
в) $ \frac{* - 100a^2b^4 + 75ab^5}{25ab^3} = 3a^2 - * + *; $
г) $ \frac{57c^4d^3 - 38c^3d^2}{*} = 3cd^2 - *.$
Решение 1. №34.14 (с. 153)
 
             
             
             
                            Решение 3. №34.14 (с. 153)
 
                            Решение 4. №34.14 (с. 153)
 
                            Решение 5. №34.14 (с. 153)
 
                            Решение 7. №34.14 (с. 153)
 
                            Решение 8. №34.14 (с. 153)
а)
В исходном равенстве $\frac{15a^4b - * + 20a^2b^3}{5a^2b} = * - 7ab + *$ необходимо заменить символы * на одночлены. Для этого разделим почленно многочлен в числителе на одночлен в знаменателе: $\frac{15a^4b}{5a^2b} - \frac{*}{5a^2b} + \frac{20a^2b^3}{5a^2b}$. Упростив известные слагаемые, получим: $3a^2 - \frac{*}{5a^2b} + 4b^2$. Это выражение должно быть равно правой части $* - 7ab + *$. Сравнивая левую и правую части, мы видим, что слагаемое $-7ab$ должно получиться из деления второго члена числителя на знаменатель: $-\frac{*}{5a^2b} = -7ab$. Отсюда находим первый искомый одночлен (в числителе): $* = 7ab \cdot 5a^2b = 35a^3b^2$. Теперь, подставив найденное значение, левая часть равна $3a^2 - \frac{35a^3b^2}{5a^2b} + 4b^2 = 3a^2 - 7ab + 4b^2$. Сравнивая ее с правой частью $* - 7ab + *$, находим остальные одночлены: $3a^2$ и $4b^2$.
Ответ: $35a^3b^2$, $3a^2$, $4b^2$.
б)
В равенстве $\frac{* - 24a^3x^4}{*} = 7a^2 - 8ax^3$ представим левую часть в виде разности двух дробей: $\frac{*}{*} - \frac{24a^3x^4}{*} = 7a^2 - 8ax^3$. Для выполнения равенства необходимо, чтобы результаты деления соответствовали членам в правой части. Приравняем вторые члены (с учетом знака): $\frac{24a^3x^4}{*} = 8ax^3$. Отсюда можно найти неизвестный знаменатель: $* = \frac{24a^3x^4}{8ax^3} = 3a^{3-1}x^{4-3} = 3a^2x$. Теперь, зная знаменатель, найдем неизвестный член в числителе из равенства первых членов: $\frac{*}{3a^2x} = 7a^2$. Умножив частное на делитель, получим: $* = 7a^2 \cdot 3a^2x = 21a^{2+2}x = 21a^4x$.
Ответ: $21a^4x$, $3a^2x$.
в)
В равенстве $\frac{* - 100a^2b^4 + 75ab^5}{25ab^3} = 3a^2 - * + *$ разделим почленно числитель на знаменатель: $\frac{*}{25ab^3} - \frac{100a^2b^4}{25ab^3} + \frac{75ab^5}{25ab^3}$. Упростим известные дроби: $\frac{100a^2b^4}{25ab^3} = 4a^{2-1}b^{4-3} = 4ab$ и $\frac{75ab^5}{25ab^3} = 3a^{1-1}b^{5-3} = 3b^2$. Равенство примет вид: $\frac{*}{25ab^3} - 4ab + 3b^2 = 3a^2 - * + *$. Сравнивая левую и правую части, видим, что первый член слева $\frac{*}{25ab^3}$ должен быть равен первому члену справа $3a^2$. Отсюда находим первый искомый одночлен (в числителе): $* = 3a^2 \cdot 25ab^3 = 75a^{2+1}b^3 = 75a^3b^3$. Теперь левая часть равна $3a^2 - 4ab + 3b^2$. Сравнивая ее с правой частью $3a^2 - * + *$, находим остальные одночлены: $4ab$ и $3b^2$.
Ответ: $75a^3b^3$, $4ab$, $3b^2$.
г)
Рассмотрим равенство $\frac{57c^4d^3 - 38c^3d^2}{*} = 3cd^2 - *$. Левую часть можно представить как $\frac{57c^4d^3}{*} - \frac{38c^3d^2}{*}$. Чтобы это выражение было равно $3cd^2 - *$, необходимо, чтобы при делении одного из членов числителя на знаменатель (*) получалось $3cd^2$. Проверим первый член: $\frac{57c^4d^3}{*} = 3cd^2$. Отсюда находим неизвестный знаменатель: $* = \frac{57c^4d^3}{3cd^2} = 19c^{4-1}d^{3-1} = 19c^3d$. Теперь найдем второй искомый одночлен, который стоит в правой части после знака минус. Для этого разделим второй член числителя на найденный знаменатель: $* = \frac{38c^3d^2}{19c^3d} = 2c^{3-3}d^{2-1} = 2d$. Таким образом, правая часть равенства равна $3cd^2 - 2d$.
Ответ: $19c^3d$, $2d$.
Другие задания:
Помогло решение? Оставьте отзыв в комментариях ниже.
Присоединяйтесь к Телеграм-группе @top_gdz
ПрисоединитьсяМы подготовили для вас ответ c подробным объяснением домашего задания по алгебре за 7 класс, для упражнения номер 34.14 расположенного на странице 153 для 2-й части к учебнику 2019 года издания для учащихся школ и гимназий.
Теперь на нашем сайте ГДЗ.ТОП вы всегда легко и бесплатно найдёте условие с правильным ответом на вопрос «Как решить ДЗ» и «Как сделать» задание по алгебре к упражнению №34.14 (с. 153), авторов: Мордкович (Александр Григорьевич), Александрова (Лилия Александровна), Мишустина (Татьяна Николаевна), Тульчинская (Елена Ефимовна), 2-й части ФГОС (старый) учебного пособия издательства Мнемозина.
 
                     
                     
                     
                     
                     
                     
                     
                     
                     
                     
                     
                     
                     
                    