Номер 34.15, страница 153, часть 2 - гдз по алгебре 7 класс учебник Мордкович, Александрова
 
                                                Авторы: Мордкович А. Г., Александрова Л. А., Мишустина Т. Н., Тульчинская Е. Е.
Тип: Учебник
Издательство: Мнемозина
Год издания: 2019 - 2025
Часть: 2
Цвет обложки:
ISBN: 978-5-346-04640-0
Допущено Министерством просвещения Российской Федерации
Популярные ГДЗ в 7 классе
Часть 2. Глава 6. Многочлены. Арифметические операции над многочленами. Параграф 34. Деление многочлена на одночлен - номер 34.15, страница 153.
№34.15 (с. 153)
Условие. №34.15 (с. 153)
скриншот условия
 
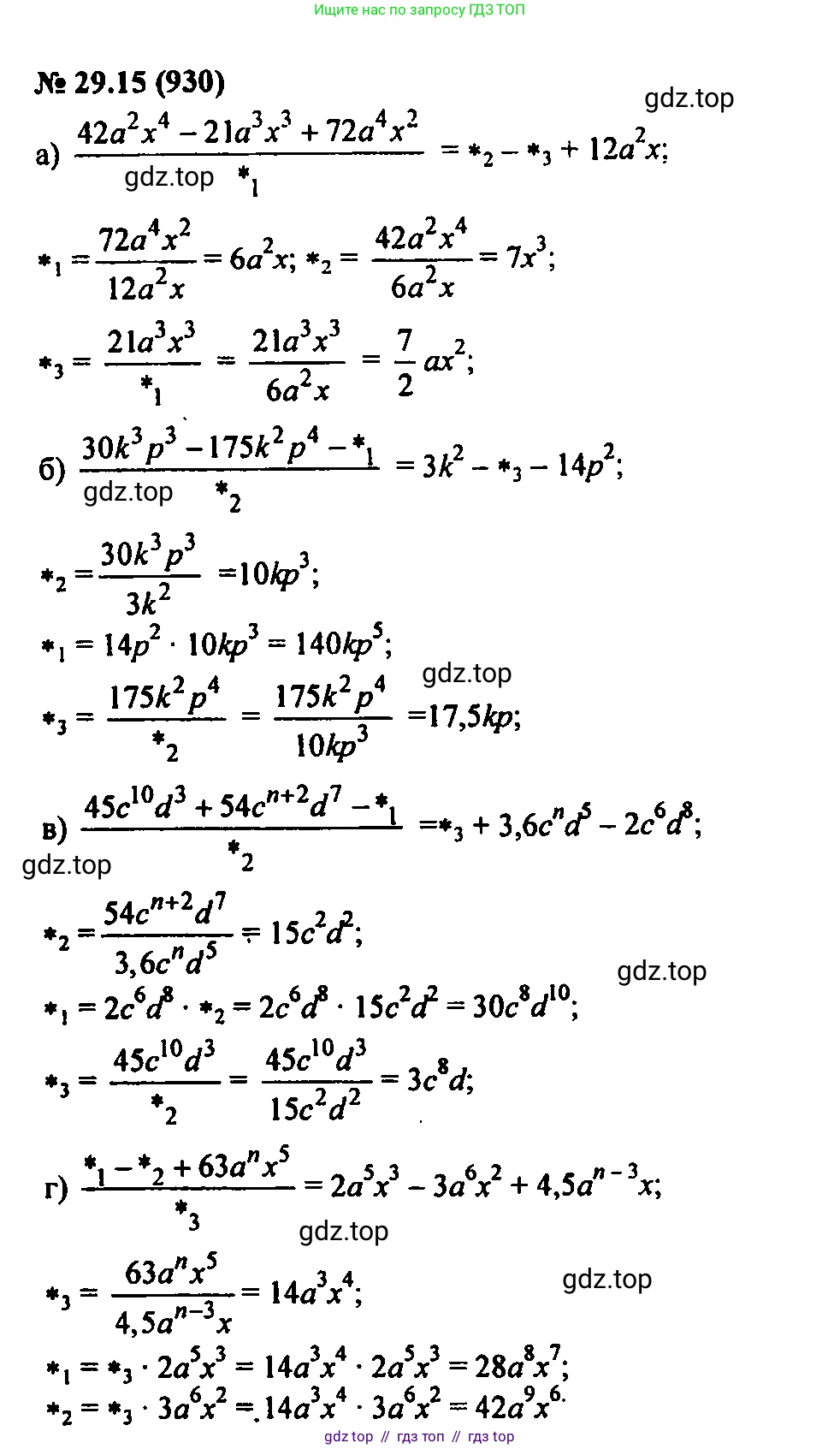
                                34.15 a) $\frac{42a^2x^4 - 21a^3x^3 + 72a^4x^2}{*} = * - * + 12a^2x;$
б) $\frac{* - * + 63a^nx^5}{*} = 2a^5x^3 - 3a^6x^2 + 4,5a^{n-3}x;$
в) $\frac{30k^3p^3 - 175k^2p^4 - *}{*} = 3k^2 - * - 14p^2;$
г) $\frac{45c^{10}d^3 + 54c^{n+2}d^7 - *}{*} = * + 3,6c^nd^5 - 2c^6d^8.$
Решение 1. №34.15 (с. 153)
 
             
             
             
                            Решение 3. №34.15 (с. 153)
 
                            Решение 4. №34.15 (с. 153)
 
                            Решение 5. №34.15 (с. 153)
 
                            Решение 7. №34.15 (с. 153)
 
                            Решение 8. №34.15 (с. 153)
a)
В данном примере необходимо восстановить пропущенные одночлены. Исходное выражение: $\frac{42a^2x^4 - 21a^3x^3 + 72a^4x^2}{*} = * - * + 12a^2x$.
Это задача на деление многочлена на одночлен. Результат такого деления получается путем деления каждого члена многочлена (делимого) на этот одночлен (делитель). Обозначим неизвестный делитель в знаменателе как $D$.
Мы видим, что последний член частного, $12a^2x$, получен путем деления последнего члена делимого, $72a^4x^2$, на делитель $D$. Отсюда мы можем найти $D$:
$D = \frac{72a^4x^2}{12a^2x} = (\frac{72}{12})a^{4-2}x^{2-1} = 6a^2x$.
Теперь, зная делитель $D = 6a^2x$, мы можем найти недостающие члены частного, разделив на него остальные члены делимого:
Первый член частного: $\frac{42a^2x^4}{6a^2x} = (\frac{42}{6})a^{2-2}x^{4-1} = 7x^3$.
Второй член частного: $\frac{-21a^3x^3}{6a^2x} = -(\frac{21}{6})a^{3-2}x^{3-1} = -3,5ax^2$.
Таким образом, мы восстановили все пропущенные части уравнения.
Ответ: $\frac{42a^2x^4 - 21a^3x^3 + 72a^4x^2}{6a^2x} = 7x^3 - 3,5ax^2 + 12a^2x$.
б)
Исходное выражение: $\frac{* - * + 63a^nx^5}{*} = 2a^5x^3 - 3a^6x^2 + 4,5a^{n-3}x$.
Обозначим неизвестный делитель как $D$. Сравнивая третий член делимого ($63a^nx^5$) с третьим членом частного ($4,5a^{n-3}x$), мы можем найти делитель $D$:
$D = \frac{63a^nx^5}{4,5a^{n-3}x} = (\frac{63}{4,5})a^{n-(n-3)}x^{5-1} = 14a^3x^4$.
Теперь, зная делитель $D = 14a^3x^4$, мы можем найти недостающие члены делимого, умножив на него соответствующие члены частного:
Первый член делимого: $(2a^5x^3) \cdot D = (2a^5x^3) \cdot (14a^3x^4) = (2 \cdot 14)a^{5+3}x^{3+4} = 28a^8x^7$.
Второй член делимого: $(3a^6x^2) \cdot D = (3a^6x^2) \cdot (14a^3x^4) = (3 \cdot 14)a^{6+3}x^{2+4} = 42a^9x^6$.
Теперь мы можем записать полное выражение.
Ответ: $\frac{28a^8x^7 - 42a^9x^6 + 63a^nx^5}{14a^3x^4} = 2a^5x^3 - 3a^6x^2 + 4,5a^{n-3}x$.
в)
Исходное выражение: $\frac{30k^3p^3 - 175k^2p^4 - *}{*} = 3k^2 - * - 14p^2$.
Обозначим неизвестный делитель как $D$. Сравнивая первый член делимого ($30k^3p^3$) с первым членом частного ($3k^2$), мы можем найти делитель $D$:
$D = \frac{30k^3p^3}{3k^2} = (\frac{30}{3})k^{3-2}p^3 = 10kp^3$.
Теперь, зная делитель $D = 10kp^3$, найдем пропущенные члены.
Второй член частного получается делением второго члена делимого на делитель:
$\frac{175k^2p^4}{D} = \frac{175k^2p^4}{10kp^3} = (\frac{175}{10})k^{2-1}p^{4-3} = 17,5kp$.
Третий член делимого равен произведению третьего члена частного на делитель:
$(14p^2) \cdot D = (14p^2) \cdot (10kp^3) = (14 \cdot 10)k p^{2+3} = 140kp^5$.
Восстановим полное выражение.
Ответ: $\frac{30k^3p^3 - 175k^2p^4 - 140kp^5}{10kp^3} = 3k^2 - 17,5kp - 14p^2$.
г)
Исходное выражение: $\frac{45c^{10}d^3 + 54c^{n+2}d^7 - *}{*} = * + 3,6c^nd^5 - 2c^6d^8$.
Обозначим неизвестный делитель как $D$. Сравним второй член делимого ($54c^{n+2}d^7$) со вторым членом частного ($3,6c^nd^5$), чтобы найти делитель $D$:
$D = \frac{54c^{n+2}d^7}{3,6c^nd^5} = (\frac{54}{3,6})c^{(n+2)-n}d^{7-5} = 15c^2d^2$.
Теперь, зная делитель $D = 15c^2d^2$, найдем недостающие члены.
Первый член частного получается делением первого члена делимого на делитель:
$\frac{45c^{10}d^3}{D} = \frac{45c^{10}d^3}{15c^2d^2} = (\frac{45}{15})c^{10-2}d^{3-2} = 3c^8d$.
Третий член делимого равен произведению третьего члена частного на делитель:
$(2c^6d^8) \cdot D = (2c^6d^8) \cdot (15c^2d^2) = (2 \cdot 15)c^{6+2}d^{8+2} = 30c^8d^{10}$.
Запишем полное выражение со всеми найденными членами.
Ответ: $\frac{45c^{10}d^3 + 54c^{n+2}d^7 - 30c^8d^{10}}{15c^2d^2} = 3c^8d + 3,6c^nd^5 - 2c^6d^8$.
Другие задания:
Помогло решение? Оставьте отзыв в комментариях ниже.
Присоединяйтесь к Телеграм-группе @top_gdz
ПрисоединитьсяМы подготовили для вас ответ c подробным объяснением домашего задания по алгебре за 7 класс, для упражнения номер 34.15 расположенного на странице 153 для 2-й части к учебнику 2019 года издания для учащихся школ и гимназий.
Теперь на нашем сайте ГДЗ.ТОП вы всегда легко и бесплатно найдёте условие с правильным ответом на вопрос «Как решить ДЗ» и «Как сделать» задание по алгебре к упражнению №34.15 (с. 153), авторов: Мордкович (Александр Григорьевич), Александрова (Лилия Александровна), Мишустина (Татьяна Николаевна), Тульчинская (Елена Ефимовна), 2-й части ФГОС (старый) учебного пособия издательства Мнемозина.
 
                     
                     
                     
                     
                     
                     
                     
                     
                     
                     
                     
                     
                     
                    