Номер 42.12, страница 185, часть 2 - гдз по алгебре 7 класс учебник Мордкович, Александрова
 
                                                Авторы: Мордкович А. Г., Александрова Л. А., Мишустина Т. Н., Тульчинская Е. Е.
Тип: Учебник
Издательство: Мнемозина
Год издания: 2019 - 2025
Часть: 2
Цвет обложки:
ISBN: 978-5-346-04640-0
Допущено Министерством просвещения Российской Федерации
Популярные ГДЗ в 7 классе
Часть 2. Глава 7. Разложение многочленов на множители. Параграф 42. Тождества - номер 42.12, страница 185.
№42.12 (с. 185)
Условие. №42.12 (с. 185)
скриншот условия
 
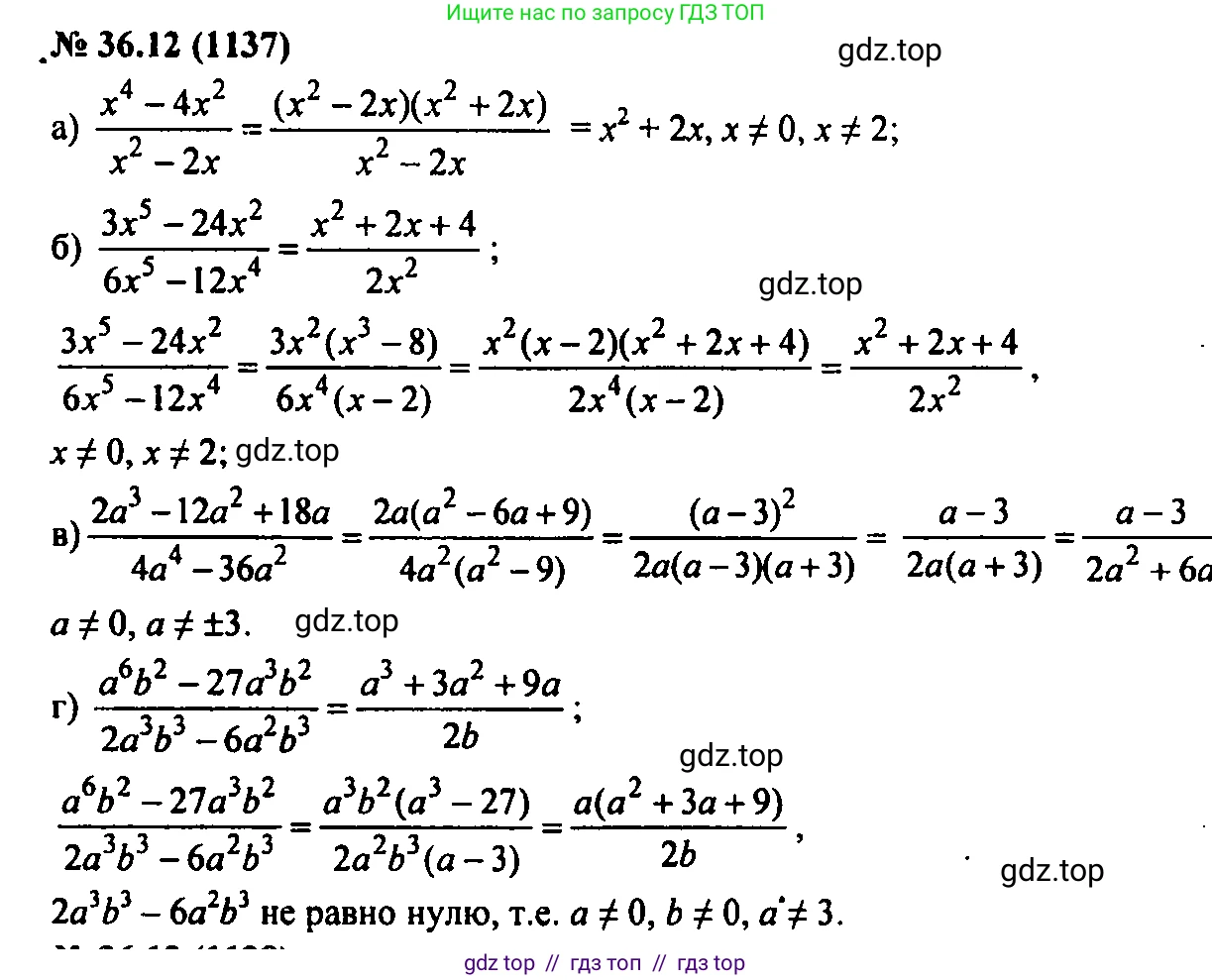
                                42.12 Установите, является ли данное равенство тождеством, и если да, то укажите допустимые значения переменных:
а) $\frac{x^4 - 4x^2}{x^2 - 2x} = x^2 + 2x$
б) $\frac{3x^5 - 24x^2}{6x^5 - 12x^4} = \frac{x^2 + 2x + 4}{2x^2}$
в) $\frac{2a^3 - 12a^2 + 18a}{4a^4 - 36a^2} = \frac{a - 3}{2a^2 + 6a}$
г) $\frac{a^6b^2 - 27a^3b^2}{2a^3b^3 - 6a^2b^3} = \frac{a^3 + 3a^2 + 9a}{2b}$
Решение 1. №42.12 (с. 185)
 
             
             
             
                            Решение 3. №42.12 (с. 185)
 
                            Решение 4. №42.12 (с. 185)
 
                            Решение 5. №42.12 (с. 185)
 
                            Решение 8. №42.12 (с. 185)
a) $\frac{x^4 - 4x^2}{x^2 - 2x} = x^2 + 2x$
Чтобы установить, является ли данное равенство тождеством, необходимо упростить его левую часть и сравнить с правой. Сначала определим область допустимых значений (ДПЗ) переменной $x$. Знаменатель дроби не может быть равен нулю: $x^2 - 2x \neq 0$.
Разложим знаменатель на множители: $x(x - 2) \neq 0$. Отсюда получаем, что $x \neq 0$ и $x \neq 2$. Это и есть допустимые значения переменной.
Теперь преобразуем левую часть равенства. Разложим на множители числитель, используя вынесение общего множителя за скобки и формулу разности квадратов $a^2-b^2=(a-b)(a+b)$:
$x^4 - 4x^2 = x^2(x^2 - 4) = x^2(x-2)(x+2)$.
Подставим разложенные числитель и знаменатель в левую часть:
$\frac{x^2(x-2)(x+2)}{x(x-2)}$
При допустимых значениях $x$ ($x \neq 0$ и $x \neq 2$) можно сократить дробь на общие множители $x$ и $(x-2)$:
$\frac{x \cdot x(x-2)(x+2)}{x(x-2)} = x(x+2) = x^2 + 2x$.
После преобразования левая часть стала идентичной правой части. Следовательно, данное равенство является тождеством.
Ответ: Равенство является тождеством при допустимых значениях переменной $x \neq 0$ и $x \neq 2$.
б) $\frac{3x^5 - 24x^2}{6x^5 - 12x^4} = \frac{x^2 + 2x + 4}{2x^2}$
Найдем ДПЗ. Знаменатель левой части $6x^5 - 12x^4 \neq 0$. Вынесем общий множитель: $6x^4(x - 2) \neq 0$. Отсюда $x \neq 0$ и $x \neq 2$. Знаменатель правой части $2x^2 \neq 0$ при том же условии $x \neq 0$. Итак, ДПЗ: $x \neq 0$ и $x \neq 2$.
Упростим левую часть. Разложим числитель на множители, вынеся $3x^2$ и применив формулу разности кубов $a^3 - b^3 = (a-b)(a^2+ab+b^2)$:
$3x^5 - 24x^2 = 3x^2(x^3 - 8) = 3x^2(x - 2)(x^2 + 2x + 4)$.
Знаменатель мы уже разложили: $6x^4(x - 2)$.
Подставим разложения в дробь и сократим общие множители $3$, $x^2$ и $(x-2)$:
$\frac{3x^2(x - 2)(x^2 + 2x + 4)}{6x^4(x - 2)} = \frac{x^2 + 2x + 4}{2x^2}$.
Левая часть после упрощения совпала с правой. Следовательно, это тождество.
Ответ: Равенство является тождеством при $x \neq 0$ и $x \neq 2$.
в) $\frac{2a^3 - 12a^2 + 18a}{4a^4 - 36a^2} = \frac{a - 3}{2a^2 + 6a}$
Определим ДПЗ. Знаменатели обеих дробей не должны равняться нулю. Для левой части: $4a^4 - 36a^2 \neq 0 \Rightarrow 4a^2(a^2-9) \neq 0 \Rightarrow 4a^2(a-3)(a+3) \neq 0$. Отсюда $a \neq 0$, $a \neq 3$ и $a \neq -3$. Для правой части: $2a^2 + 6a \neq 0 \Rightarrow 2a(a+3) \neq 0$. Отсюда $a \neq 0$ и $a \neq -3$. Объединяя условия, получаем общую ДПЗ: $a \neq 0$, $a \neq 3$ и $a \neq -3$.
Упростим левую часть. Разложим числитель на множители, вынеся $2a$ и используя формулу квадрата разности $x^2 - 2xy + y^2 = (x-y)^2$:
$2a^3 - 12a^2 + 18a = 2a(a^2 - 6a + 9) = 2a(a-3)^2$.
Подставим разложенные выражения в левую часть и сократим:
$\frac{2a(a-3)^2}{4a^2(a-3)(a+3)} = \frac{a-3}{2a(a+3)} = \frac{a-3}{2a^2+6a}$.
Левая часть после упрощения равна правой. Следовательно, это тождество.
Ответ: Равенство является тождеством при $a \neq -3$, $a \neq 0$ и $a \neq 3$.
г) $\frac{a^6b^2 - 27a^3b^2}{2a^3b^3 - 6a^2b^3} = \frac{a^3 + 3a^2 + 9a}{2b}$
Найдем ДПЗ. Знаменатели не должны быть равны нулю. Для левой части: $2a^3b^3 - 6a^2b^3 \neq 0 \Rightarrow 2a^2b^3(a-3) \neq 0$. Это означает, что $a \neq 0$, $b \neq 0$ и $a \neq 3$. Для правой части: $2b \neq 0 \Rightarrow b \neq 0$. Общая ДПЗ: $a \neq 0$, $b \neq 0$ и $a \neq 3$.
Упростим левую часть. Разложим на множители числитель, вынеся $a^3b^2$ и используя формулу разности кубов:
$a^6b^2 - 27a^3b^2 = a^3b^2(a^3 - 27) = a^3b^2(a-3)(a^2+3a+9)$.
Знаменатель раскладывается как $2a^2b^3(a-3)$.
Подставим и сократим дробь:
$\frac{a^3b^2(a-3)(a^2+3a+9)}{2a^2b^3(a-3)} = \frac{a(a^2+3a+9)}{2b} = \frac{a^3+3a^2+9a}{2b}$.
Левая часть равна правой. Это тождество.
Ответ: Равенство является тождеством при $a \neq 0$, $b \neq 0$ и $a \neq 3$.
Другие задания:
Помогло решение? Оставьте отзыв в комментариях ниже.
Присоединяйтесь к Телеграм-группе @top_gdz
ПрисоединитьсяМы подготовили для вас ответ c подробным объяснением домашего задания по алгебре за 7 класс, для упражнения номер 42.12 расположенного на странице 185 для 2-й части к учебнику 2019 года издания для учащихся школ и гимназий.
Теперь на нашем сайте ГДЗ.ТОП вы всегда легко и бесплатно найдёте условие с правильным ответом на вопрос «Как решить ДЗ» и «Как сделать» задание по алгебре к упражнению №42.12 (с. 185), авторов: Мордкович (Александр Григорьевич), Александрова (Лилия Александровна), Мишустина (Татьяна Николаевна), Тульчинская (Елена Ефимовна), 2-й части ФГОС (старый) учебного пособия издательства Мнемозина.
 
                     
                     
                     
                     
                     
                     
                     
                     
                     
                     
                     
                     
                     
                    