Номер 42.13, страница 185, часть 2 - гдз по алгебре 7 класс учебник Мордкович, Александрова
 
                                                Авторы: Мордкович А. Г., Александрова Л. А., Мишустина Т. Н., Тульчинская Е. Е.
Тип: Учебник
Издательство: Мнемозина
Год издания: 2019 - 2025
Часть: 2
Цвет обложки:
ISBN: 978-5-346-04640-0
Допущено Министерством просвещения Российской Федерации
Популярные ГДЗ в 7 классе
Часть 2. Глава 7. Разложение многочленов на множители. Параграф 42. Тождества - номер 42.13, страница 185.
№42.13 (с. 185)
Условие. №42.13 (с. 185)
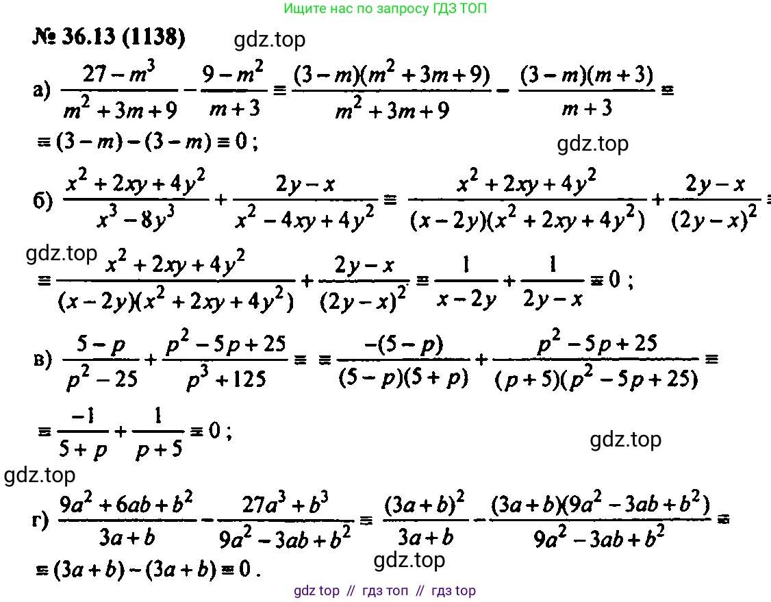
скриншот условия
 
                                Докажите тождество:
42.13 a)
$\frac{27 - m^3}{m^2 + 3m + 9} = \frac{9 - m^2}{3 + m}$;
б) $\frac{x^2 + 2xy + 4y^2}{x^3 - 8y^3} = - \frac{2y - x}{x^2 - 4x + 4y^2}$;
в) $\frac{5 - p}{p^2 - 25} = - \frac{p^2 - 5p + 25}{p^3 + 125}$;
г) $\frac{9a^2 + 6ab + b^2}{3a + b} = \frac{27a^3 + b^3}{9a^2 - 3ab + b^2}$.
Решение 1. №42.13 (с. 185)
 
             
             
             
                            Решение 3. №42.13 (с. 185)
 
                            Решение 4. №42.13 (с. 185)
 
                            Решение 5. №42.13 (с. 185)
 
                            Решение 8. №42.13 (с. 185)
а) Чтобы доказать тождество, мы преобразуем его левую часть. Исходное тождество:
$\frac{27 - m^3}{m^2 + 3m + 9} = 3 - m$
Преобразуем левую часть (ЛЧ). Числитель дроби, $27 - m^3$, представляет собой разность кубов, так как $27 = 3^3$. Воспользуемся формулой разности кубов: $a^3 - b^3 = (a - b)(a^2 + ab + b^2)$.
Применяя эту формулу для $a = 3$ и $b = m$, получаем:
$27 - m^3 = (3 - m)(3^2 + 3 \cdot m + m^2) = (3 - m)(9 + 3m + m^2)$
Теперь подставим полученное выражение обратно в левую часть тождества:
$\text{ЛЧ} = \frac{(3 - m)(m^2 + 3m + 9)}{m^2 + 3m + 9}$
Мы можем сократить дробь на общий множитель $(m^2 + 3m + 9)$. Этот множитель никогда не равен нулю для действительных $m$, так как дискриминант соответствующего квадратного уравнения $D = 3^2 - 4 \cdot 1 \cdot 9 = 9 - 36 = -27$ отрицателен.
$\text{ЛЧ} = 3 - m$
В результате преобразования левая часть стала равна правой части. Следовательно, тождество доказано.
Ответ: Тождество $\frac{27 - m^3}{m^2 + 3m + 9} = 3 - m$ доказано.
б) Чтобы доказать тождество, мы преобразуем его левую часть. Исходное тождество:
$\frac{x^2 + 2xy + 4y^2}{x^3 - 8y^3} = \frac{1}{x - 2y}$
Преобразуем левую часть (ЛЧ). Знаменатель дроби, $x^3 - 8y^3$, является разностью кубов, так как $8y^3 = (2y)^3$. Воспользуемся формулой разности кубов: $a^3 - b^3 = (a - b)(a^2 + ab + b^2)$.
Применяя эту формулу для $a = x$ и $b = 2y$, получаем:
$x^3 - 8y^3 = (x - 2y)(x^2 + x \cdot (2y) + (2y)^2) = (x - 2y)(x^2 + 2xy + 4y^2)$
Теперь подставим полученное выражение обратно в левую часть тождества:
$\text{ЛЧ} = \frac{x^2 + 2xy + 4y^2}{(x - 2y)(x^2 + 2xy + 4y^2)}$
Сократим дробь на общий множитель $(x^2 + 2xy + 4y^2)$, при условии, что он не равен нулю (что верно для всех $x, y$, кроме одновременного равенства нулю).
$\text{ЛЧ} = \frac{1}{x - 2y}$
В результате преобразования левая часть стала равна правой части. Следовательно, тождество доказано.
Ответ: Тождество $\frac{x^2 + 2xy + 4y^2}{x^3 - 8y^3} = \frac{1}{x - 2y}$ доказано.
в) Чтобы доказать тождество, мы преобразуем его левую часть. Исходное тождество:
$\frac{5 - p}{p^2 - 25} = -\frac{1}{p + 5}$
Преобразуем левую часть (ЛЧ). В числителе вынесем знак минус за скобки: $5 - p = -(p - 5)$. Знаменатель $p^2 - 25$ является разностью квадратов. Воспользуемся формулой разности квадратов: $a^2 - b^2 = (a - b)(a + b)$.
Применяя эту формулу для $a = p$ и $b = 5$, получаем:
$p^2 - 25 = (p - 5)(p + 5)$
Подставим эти выражения в левую часть тождества:
$\text{ЛЧ} = \frac{-(p - 5)}{(p - 5)(p + 5)}$
Сократим дробь на общий множитель $(p - 5)$, при условии что $p \neq 5$.
$\text{ЛЧ} = \frac{-1}{p + 5} = -\frac{1}{p + 5}$
В результате преобразования левая часть стала равна правой части. Следовательно, тождество доказано.
Ответ: Тождество $\frac{5 - p}{p^2 - 25} = -\frac{1}{p + 5}$ доказано.
г) Чтобы доказать это тождество, мы преобразуем обе его части и покажем, что они равны одному и тому же выражению. Исходное тождество:
$\frac{9a^2 + 6ab + b^2}{3a + b} = \frac{27a^3 + b^3}{9a^2 - 3ab + b^2}$
Сначала преобразуем левую часть (ЛЧ). Числитель $9a^2 + 6ab + b^2$ является полным квадратом суммы. Воспользуемся формулой квадрата суммы: $(x + y)^2 = x^2 + 2xy + y^2$.
В нашем случае $x = 3a$ и $y = b$, поэтому:
$9a^2 + 6ab + b^2 = (3a)^2 + 2(3a)(b) + b^2 = (3a + b)^2$
Подставим в ЛЧ и сократим (при условии $3a + b \neq 0$):
$\text{ЛЧ} = \frac{(3a + b)^2}{3a + b} = 3a + b$
Теперь преобразуем правую часть (ПЧ). Числитель $27a^3 + b^3$ является суммой кубов $(3a)^3 + b^3$. Воспользуемся формулой суммы кубов: $x^3 + y^3 = (x + y)(x^2 - xy + y^2)$.
В нашем случае $x = 3a$ и $y = b$, поэтому:
$27a^3 + b^3 = (3a + b)((3a)^2 - (3a)b + b^2) = (3a + b)(9a^2 - 3ab + b^2)$
Подставим в ПЧ и сократим (знаменатель $9a^2 - 3ab + b^2$ не равен нулю, кроме случая $a=0, b=0$):
$\text{ПЧ} = \frac{(3a + b)(9a^2 - 3ab + b^2)}{9a^2 - 3ab + b^2} = 3a + b$
Поскольку $\text{ЛЧ} = 3a + b$ и $\text{ПЧ} = 3a + b$, левая и правая части тождества равны. Следовательно, тождество доказано.
Ответ: Тождество $\frac{9a^2 + 6ab + b^2}{3a + b} = \frac{27a^3 + b^3}{9a^2 - 3ab + b^2}$ доказано.
Другие задания:
Помогло решение? Оставьте отзыв в комментариях ниже.
Присоединяйтесь к Телеграм-группе @top_gdz
ПрисоединитьсяМы подготовили для вас ответ c подробным объяснением домашего задания по алгебре за 7 класс, для упражнения номер 42.13 расположенного на странице 185 для 2-й части к учебнику 2019 года издания для учащихся школ и гимназий.
Теперь на нашем сайте ГДЗ.ТОП вы всегда легко и бесплатно найдёте условие с правильным ответом на вопрос «Как решить ДЗ» и «Как сделать» задание по алгебре к упражнению №42.13 (с. 185), авторов: Мордкович (Александр Григорьевич), Александрова (Лилия Александровна), Мишустина (Татьяна Николаевна), Тульчинская (Елена Ефимовна), 2-й части ФГОС (старый) учебного пособия издательства Мнемозина.
 
                     
                     
                     
                     
                     
                     
                     
                     
                     
                     
                     
                     
                     
                    