Номер 1086, страница 269 - гдз по геометрии 7-9 класс учебник Атанасян, Бутузов

Авторы: Атанасян Л. С., Бутузов В. Ф., Кадомцев С. Б., Позняк Э. Г., Юдина И. И.
Тип: Учебник
Издательство: Просвещение
Год издания: 2023 - 2025
Уровень обучения: базовый
Цвет обложки: синий
ISBN: 978-5-09-102538-5 (2023), 978-5-09-111167-5 (2024)
Допущено Министерством просвещения Российской Федерации
Популярные ГДЗ в 7 классе
Дополнительные задачи. § 3. Уравнения окружности и прямой. Глава 11. Метод координат - номер 1086, страница 269.
№1086 (с. 269)
Условие. №1086 (с. 269)
скриншот условия

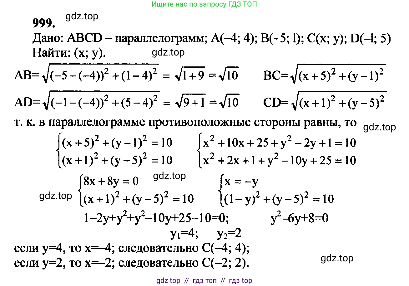
1086 Найдите координаты четвёртой вершины параллелограмма по заданным координатам трёх его вершин: (−4; 4), (−5; 1) и (−1; 5). Сколько решений имеет задача?
Решение 2. №1086 (с. 269)

Решение 3. №1086 (с. 269)

Решение 4. №1086 (с. 269)

Решение 7. №1086 (с. 269)


Решение 9. №1086 (с. 269)

Решение 11. №1086 (с. 269)
Пусть даны три вершины A(-4; 4), B(-5; 1) и C(-1; 5). Четвертая вершина D будет иметь координаты $(x; y)$. Поскольку в условии не указан порядок вершин, существует три возможных варианта для искомого параллелограмма, а значит, задача имеет три решения. В каждом из случаев одна из пар заданных вершин будет образовывать диагональ.
Для нахождения координат четвертой вершины мы воспользуемся свойством параллелограмма: его диагонали пересекаются в одной точке и делятся этой точкой пополам. Это означает, что координаты середины одной диагонали равны координатам середины другой. Координаты середины отрезка с концами в точках $(x_1; y_1)$ и $(x_2; y_2)$ находятся по формуле: $(\frac{x_1+x_2}{2}; \frac{y_1+y_2}{2})$.
Вершины A и C являются противоположными (параллелограмм ABCD)
В этом случае диагоналями являются отрезки AC и BD. Найдем координаты их общей середины M.
Координаты середины диагонали AC:
$x_M = \frac{x_A + x_C}{2} = \frac{-4 + (-1)}{2} = -\frac{5}{2}$
$y_M = \frac{y_A + y_C}{2} = \frac{4 + 5}{2} = \frac{9}{2}$
Координаты середины диагонали BD:
$x_M = \frac{x_B + x_D}{2} = \frac{-5 + x}{2}$
$y_M = \frac{y_B + y_D}{2} = \frac{1 + y}{2}$
Приравниваем соответствующие координаты:
$\frac{-5 + x}{2} = -\frac{5}{2} \Rightarrow -5 + x = -5 \Rightarrow x = 0$
$\frac{1 + y}{2} = \frac{9}{2} \Rightarrow 1 + y = 9 \Rightarrow y = 8$
Координаты четвертой вершины $D_1$ в этом случае: (0; 8).
Ответ: (0; 8).
Вершины A и B являются противоположными (параллелограмм ACBD)
В этом случае диагоналями являются отрезки AB и CD. Найдем координаты их общей середины M.
Координаты середины диагонали AB:
$x_M = \frac{x_A + x_B}{2} = \frac{-4 + (-5)}{2} = -\frac{9}{2}$
$y_M = \frac{y_A + y_B}{2} = \frac{4 + 1}{2} = \frac{5}{2}$
Координаты середины диагонали CD:
$x_M = \frac{x_C + x_D}{2} = \frac{-1 + x}{2}$
$y_M = \frac{y_C + y_D}{2} = \frac{5 + y}{2}$
Приравниваем соответствующие координаты:
$\frac{-1 + x}{2} = -\frac{9}{2} \Rightarrow -1 + x = -9 \Rightarrow x = -8$
$\frac{5 + y}{2} = \frac{5}{2} \Rightarrow 5 + y = 5 \Rightarrow y = 0$
Координаты четвертой вершины $D_2$ в этом случае: (-8; 0).
Ответ: (-8; 0).
Вершины B и C являются противоположными (параллелограмм ABDC)
В этом случае диагоналями являются отрезки BC и AD. Найдем координаты их общей середины M.
Координаты середины диагонали BC:
$x_M = \frac{x_B + x_C}{2} = \frac{-5 + (-1)}{2} = -3$
$y_M = \frac{y_B + y_C}{2} = \frac{1 + 5}{2} = 3$
Координаты середины диагонали AD:
$x_M = \frac{x_A + x_D}{2} = \frac{-4 + x}{2}$
$y_M = \frac{y_A + y_D}{2} = \frac{4 + y}{2}$
Приравниваем соответствующие координаты:
$\frac{-4 + x}{2} = -3 \Rightarrow -4 + x = -6 \Rightarrow x = -2$
$\frac{4 + y}{2} = 3 \Rightarrow 4 + y = 6 \Rightarrow y = 2$
Координаты четвертой вершины $D_3$ в этом случае: (-2; 2).
Ответ: (-2; 2).
Таким образом, мы нашли три возможных набора координат для четвертой вершины, что соответствует трем возможным параллелограммам.
Ответ: Задача имеет 3 решения. Координаты четвертой вершины могут быть (0; 8), (-8; 0) или (-2; 2).
Другие задания:
Помогло решение? Оставьте отзыв в комментариях ниже.
Мы подготовили для вас ответ c подробным объяснением домашего задания по геометрии за 7-9 класс, для упражнения номер 1086 расположенного на странице 269 к учебнику 2023 года издания для учащихся школ и гимназий.
Теперь на нашем сайте ГДЗ.ТОП вы всегда легко и бесплатно найдёте условие с правильным ответом на вопрос «Как решить ДЗ» и «Как сделать» задание по геометрии к упражнению №1086 (с. 269), авторов: Атанасян (Левон Сергеевич), Бутузов (Валентин Фёдорович), Кадомцев (Сергей Борисович), Позняк (Эдуард Генрихович), Юдина (Ирина Игоревна), ФГОС (новый, красный) базовый уровень обучения учебного пособия издательства Просвещение.