Страница 269 - гдз по геометрии 7-9 класс учебник Атанасян, Бутузов

Авторы: Атанасян Л. С., Бутузов В. Ф., Кадомцев С. Б., Позняк Э. Г., Юдина И. И.
Тип: Учебник
Издательство: Просвещение
Год издания: 2023 - 2025
Уровень обучения: базовый
Цвет обложки: синий
ISBN: 978-5-09-102538-5 (2023), 978-5-09-111167-5 (2024)
Допущено Министерством просвещения Российской Федерации
Популярные ГДЗ в 7 классе
Cтраница 269

№1076 (с. 269)
Условие. №1076 (с. 269)
скриншот условия

1076 Векторы a и b не коллинеарны. Найдите такое число x (если это возможно), чтобы векторы p и q были коллинеарны:
а) p = 2а − b, q = a + xb;
б) p = xa − b, q = a + xb;
в) p = a + xb, q = a − 2b;
г) p = 2а + b, q = xа + b.
Решение 2. №1076 (с. 269)




Решение 3. №1076 (с. 269)

Решение 4. №1076 (с. 269)

Решение 6. №1076 (с. 269)

Решение 9. №1076 (с. 269)

Решение 11. №1076 (с. 269)
Поскольку векторы $\vec{a}$ и $\vec{b}$ не коллинеарны, они образуют базис. Два вектора $\vec{p} = p_1\vec{a} + p_2\vec{b}$ и $\vec{q} = q_1\vec{a} + q_2\vec{b}$ коллинеарны тогда и только тогда, когда их координаты в этом базисе пропорциональны. Условие пропорциональности координат $(p_1, p_2)$ и $(q_1, q_2)$ можно записать в виде $p_1q_2 = p_2q_1$.
а)Даны векторы $\vec{p} = 2\vec{a} - \vec{b}$ и $\vec{q} = \vec{a} + x\vec{b}$.Координаты этих векторов в базисе $(\vec{a}, \vec{b})$ равны: для $\vec{p}$ это $(2; -1)$, а для $\vec{q}$ это $(1; x)$.Применяем условие коллинеарности $p_1q_2 = p_2q_1$:$2 \cdot x = (-1) \cdot 1$$2x = -1$$x = -\frac{1}{2}$
Ответ: $x = -0.5$.
б)Даны векторы $\vec{p} = x\vec{a} - \vec{b}$ и $\vec{q} = \vec{a} + x\vec{b}$.Координаты векторов в базисе $(\vec{a}, \vec{b})$: для $\vec{p}$ это $(x; -1)$, а для $\vec{q}$ это $(1; x)$.Применяем условие коллинеарности:$x \cdot x = (-1) \cdot 1$$x^2 = -1$Данное уравнение не имеет решений в множестве действительных чисел, так как квадрат любого действительного числа не может быть отрицательным.
Ответ: такого числа $x$ не существует.
в)Даны векторы $\vec{p} = \vec{a} + x\vec{b}$ и $\vec{q} = \vec{a} - 2\vec{b}$.Координаты векторов в базисе $(\vec{a}, \vec{b})$: для $\vec{p}$ это $(1; x)$, а для $\vec{q}$ это $(1; -2)$.Применяем условие коллинеарности:$1 \cdot (-2) = x \cdot 1$$-2 = x$
Ответ: $x = -2$.
г)Даны векторы $\vec{p} = 2\vec{a} + \vec{b}$ и $\vec{q} = x\vec{a} + \vec{b}$.Координаты векторов в базисе $(\vec{a}, \vec{b})$: для $\vec{p}$ это $(2; 1)$, а для $\vec{q}$ это $(x; 1)$.Применяем условие коллинеарности:$2 \cdot 1 = 1 \cdot x$$2 = x$
Ответ: $x = 2$.
№1077 (с. 269)
Условие. №1077 (с. 269)
скриншот условия

1077 Найдите координаты вектора p и его длину, если:
а) p = 7a − 3b, a {1; −1}, b {5; −2};
б) p = 4a − 2b, a {6; 3}, b {5; 4};
в) p = 5а − 4b, a {35;15}, b {6; −1};
г) p = 3 (−2a − 4b), a {1; 5}, b {−1; −1}.
Решение 2. №1077 (с. 269)




Решение 3. №1077 (с. 269)

Решение 4. №1077 (с. 269)

Решение 6. №1077 (с. 269)

Решение 7. №1077 (с. 269)

Решение 9. №1077 (с. 269)


Решение 11. №1077 (с. 269)
а) Дано: $\vec{p} = 7\vec{a} - 3\vec{b}$, $\vec{a}\{1; -1\}$, $\vec{b}\{5; -2\}$.
1. Чтобы найти координаты вектора $\vec{p}\{p_x; p_y\}$, нужно выполнить соответствующие операции с координатами векторов $\vec{a}$ и $\vec{b}$:
$p_x = 7 \cdot a_x - 3 \cdot b_x = 7 \cdot 1 - 3 \cdot 5 = 7 - 15 = -8$
$p_y = 7 \cdot a_y - 3 \cdot b_y = 7 \cdot (-1) - 3 \cdot (-2) = -7 + 6 = -1$
Таким образом, координаты вектора $\vec{p}$ равны $\{-8; -1\}$.
2. Длину (модуль) вектора $\vec{p}$ найдем по формуле $|\vec{p}| = \sqrt{p_x^2 + p_y^2}$:
$|\vec{p}| = \sqrt{(-8)^2 + (-1)^2} = \sqrt{64 + 1} = \sqrt{65}$.
Ответ: Координаты вектора $\vec{p}\{-8; -1\}$, его длина $|\vec{p}| = \sqrt{65}$.
б) Дано: $\vec{p} = 4\vec{a} - 2\vec{b}$, $\vec{a}\{6; 3\}$, $\vec{b}\{5; 4\}$.
1. Найдем координаты вектора $\vec{p}\{p_x; p_y\}$:
$p_x = 4 \cdot a_x - 2 \cdot b_x = 4 \cdot 6 - 2 \cdot 5 = 24 - 10 = 14$
$p_y = 4 \cdot a_y - 2 \cdot b_y = 4 \cdot 3 - 2 \cdot 4 = 12 - 8 = 4$
Таким образом, координаты вектора $\vec{p}$ равны $\{14; 4\}$.
2. Найдем длину вектора $\vec{p}$:
$|\vec{p}| = \sqrt{14^2 + 4^2} = \sqrt{196 + 16} = \sqrt{212}$.
Упростим полученное значение: $\sqrt{212} = \sqrt{4 \cdot 53} = 2\sqrt{53}$.
Ответ: Координаты вектора $\vec{p}\{14; 4\}$, его длина $|\vec{p}| = 2\sqrt{53}$.
в) Дано: $\vec{p} = 5\vec{a} - 4\vec{b}$, $\vec{a}\{\frac{3}{5}; \frac{1}{5}\}$, $\vec{b}\{6; -1\}$.
1. Найдем координаты вектора $\vec{p}\{p_x; p_y\}$:
$p_x = 5 \cdot a_x - 4 \cdot b_x = 5 \cdot \frac{3}{5} - 4 \cdot 6 = 3 - 24 = -21$
$p_y = 5 \cdot a_y - 4 \cdot b_y = 5 \cdot \frac{1}{5} - 4 \cdot (-1) = 1 + 4 = 5$
Таким образом, координаты вектора $\vec{p}$ равны $\{-21; 5\}$.
2. Найдем длину вектора $\vec{p}$:
$|\vec{p}| = \sqrt{(-21)^2 + 5^2} = \sqrt{441 + 25} = \sqrt{466}$.
Ответ: Координаты вектора $\vec{p}\{-21; 5\}$, его длина $|\vec{p}| = \sqrt{466}$.
г) Дано: $\vec{p} = 3(-2\vec{a} - 4\vec{b})$, $\vec{a}\{1; 5\}$, $\vec{b}\{-1; -1\}$.
1. Сначала упростим выражение для вектора $\vec{p}$, раскрыв скобки:
$\vec{p} = 3 \cdot (-2\vec{a}) - 3 \cdot (4\vec{b}) = -6\vec{a} - 12\vec{b}$.
2. Теперь найдем координаты вектора $\vec{p}\{p_x; p_y\}$:
$p_x = -6 \cdot a_x - 12 \cdot b_x = -6 \cdot 1 - 12 \cdot (-1) = -6 + 12 = 6$
$p_y = -6 \cdot a_y - 12 \cdot b_y = -6 \cdot 5 - 12 \cdot (-1) = -30 + 12 = -18$
Таким образом, координаты вектора $\vec{p}$ равны $\{6; -18\}$.
3. Найдем длину вектора $\vec{p}$:
$|\vec{p}| = \sqrt{6^2 + (-18)^2} = \sqrt{36 + 324} = \sqrt{360}$.
Упростим полученное значение: $\sqrt{360} = \sqrt{36 \cdot 10} = 6\sqrt{10}$.
Ответ: Координаты вектора $\vec{p}\{6; -18\}$, его длина $|\vec{p}| = 6\sqrt{10}$.
№1078 (с. 269)
Условие. №1078 (с. 269)
скриншот условия

1078 Докажите, что расстояние между любыми двумя точками М₁ (х₁; 0) и М₂ (х₂; 0) оси абсцисс вычисляется по формуле d = | х₁ − х₂ |.
Решение 2. №1078 (с. 269)

Решение 3. №1078 (с. 269)

Решение 4. №1078 (с. 269)

Решение 6. №1078 (с. 269)

Решение 7. №1078 (с. 269)

Решение 9. №1078 (с. 269)

Решение 11. №1078 (с. 269)
Для доказательства воспользуемся общей формулой для вычисления расстояния между двумя точками на координатной плоскости. Расстояние $d$ между точками с координатами $(x_a; y_a)$ и $(x_b; y_b)$ определяется по формуле:
$d = \sqrt{(x_b - x_a)^2 + (y_b - y_a)^2}$
В условии задачи нам даны две точки, $M_1$ и $M_2$, которые лежат на оси абсцисс. Координаты этих точек: $M_1(x_1; 0)$ и $M_2(x_2; 0)$. Это означает, что их ординаты (координаты по оси $y$) равны нулю.
Подставим координаты точек $M_1$ и $M_2$ в общую формулу расстояния:
$d = \sqrt{(x_2 - x_1)^2 + (0 - 0)^2}$
Теперь упростим полученное выражение:
$d = \sqrt{(x_2 - x_1)^2 + 0^2}$
$d = \sqrt{(x_2 - x_1)^2}$
По определению арифметического квадратного корня, $\sqrt{a^2} = |a|$ для любого действительного числа $a$. Применим это свойство к нашему результату:
$d = |x_2 - x_1|$
Так как для любых чисел $a$ и $b$ справедливо равенство $|a - b| = |b - a|$, то мы можем записать расстояние и в виде, указанном в задаче:
$d = |x_1 - x_2|$
Таким образом, формула доказана.
Ответ: Что и требовалось доказать.
№1079 (с. 269)
Условие. №1079 (с. 269)
скриншот условия

1079 Докажите, что треугольник ABC, вершины которого имеют координаты A (4; 8), B (12; 11), C (7; 0), является равнобедренным, но не равносторонним.
Решение 2. №1079 (с. 269)

Решение 3. №1079 (с. 269)

Решение 4. №1079 (с. 269)

Решение 6. №1079 (с. 269)

Решение 7. №1079 (с. 269)

Решение 9. №1079 (с. 269)


Решение 11. №1079 (с. 269)
Чтобы доказать, что треугольник является равнобедренным, но не равносторонним, необходимо найти длины всех его сторон и сравнить их.
Длина отрезка (стороны треугольника) между двумя точками с координатами $(x_1; y_1)$ и $(x_2; y_2)$ вычисляется по формуле расстояния:
$d = \sqrt{(x_2 - x_1)^2 + (y_2 - y_1)^2}$
Даны вершины треугольника $ABC$ с координатами A(4; 8), B(12; 11), C(7; 0).
Найдем длину стороны AB
Для точек A(4; 8) и B(12; 11):
$AB = \sqrt{(12 - 4)^2 + (11 - 8)^2} = \sqrt{8^2 + 3^2} = \sqrt{64 + 9} = \sqrt{73}$
Найдем длину стороны BC
Для точек B(12; 11) и C(7; 0):
$BC = \sqrt{(7 - 12)^2 + (0 - 11)^2} = \sqrt{(-5)^2 + (-11)^2} = \sqrt{25 + 121} = \sqrt{146}$
Найдем длину стороны AC
Для точек A(4; 8) и C(7; 0):
$AC = \sqrt{(7 - 4)^2 + (0 - 8)^2} = \sqrt{3^2 + (-8)^2} = \sqrt{9 + 64} = \sqrt{73}$
Сравним длины сторон и сделаем вывод
Мы получили следующие длины сторон: $AB = \sqrt{73}$, $BC = \sqrt{146}$ и $AC = \sqrt{73}$.
Поскольку две стороны треугольника равны ($AB = AC = \sqrt{73}$), он является равнобедренным.
Поскольку третья сторона не равна двум другим ($BC \neq AB$ и $BC \neq AC$), треугольник не является равносторонним.
Таким образом, треугольник $ABC$ является равнобедренным, но не равносторонним, что и требовалось доказать.
Ответ: Длины сторон треугольника равны $AB = \sqrt{73}$, $AC = \sqrt{73}$, $BC = \sqrt{146}$. Так как $AB = AC \neq BC$, треугольник является равнобедренным, но не равносторонним.
№1080 (с. 269)
Условие. №1080 (с. 269)
скриншот условия

1080 Докажите, что углы А и С треугольника ABC равны, если A (−5; 6), B (3; −9) и C (−12; −17).
Решение 2. №1080 (с. 269)

Решение 3. №1080 (с. 269)

Решение 4. №1080 (с. 269)

Решение 6. №1080 (с. 269)

Решение 7. №1080 (с. 269)

Решение 9. №1080 (с. 269)

Решение 11. №1080 (с. 269)
Для того чтобы доказать, что углы A и C треугольника ABC равны, нужно доказать, что треугольник ABC является равнобедренным с основанием AC. В равнобедренном треугольнике углы при основании равны. Это значит, что нам необходимо показать равенство сторон, противолежащих этим углам, то есть $AB = BC$.
Для вычисления длин сторон воспользуемся формулой расстояния между двумя точками с координатами $(x_1; y_1)$ и $(x_2; y_2)$ на плоскости: $d = \sqrt{(x_2 - x_1)^2 + (y_2 - y_1)^2}$.
Вычисление длины стороны AB
Имеем координаты точек A(-5; 6) и B(3; -9).
$AB = \sqrt{(3 - (-5))^2 + (-9 - 6)^2} = \sqrt{(3 + 5)^2 + (-15)^2} = \sqrt{8^2 + (-15)^2} = \sqrt{64 + 225} = \sqrt{289} = 17$.
Вычисление длины стороны BC
Имеем координаты точек B(3; -9) и C(-12; -17).
$BC = \sqrt{(-12 - 3)^2 + (-17 - (-9))^2} = \sqrt{(-15)^2 + (-17 + 9)^2} = \sqrt{(-15)^2 + (-8)^2} = \sqrt{225 + 64} = \sqrt{289} = 17$.
Заключение
Мы получили, что длина стороны $AB = 17$ и длина стороны $BC = 17$. Так как $AB = BC$, треугольник ABC является равнобедренным с боковыми сторонами AB и BC и основанием AC.
По свойству равнобедренного треугольника, углы при основании равны, следовательно, $\angle A = \angle C$. Что и требовалось доказать.
Ответ: Поскольку длины сторон $AB$ и $BC$ равны ($AB = BC = 17$), треугольник $ABC$ является равнобедренным, и, как следствие, углы при основании $A$ и $C$ равны.
№1081 (с. 269)
Условие. №1081 (с. 269)
скриншот условия

1081 Докажите, что точка D равноудалена от точек А, В и С, если:
а) D (1; 1), A (5; 4), B (4; −3), C (−2; 5);
б) D (1; 0), A (7; −8), B (−5; 8), C (9; 6).
Решение 2. №1081 (с. 269)


Решение 3. №1081 (с. 269)

Решение 4. №1081 (с. 269)

Решение 6. №1081 (с. 269)

Решение 7. №1081 (с. 269)

Решение 9. №1081 (с. 269)


Решение 11. №1081 (с. 269)
Чтобы доказать, что точка D равноудалена от точек A, B и C, необходимо вычислить расстояния от точки D до каждой из этих точек и показать, что эти расстояния равны.
Расстояние d между двумя точками с координатами $(x_1, y_1)$ и $(x_2, y_2)$ вычисляется по формуле:
$d = \sqrt{(x_2 - x_1)^2 + (y_2 - y_1)^2}$
а) D(1; 1), A(5; 4), B(4; -3), C(-2; 5)
Вычислим расстояния DA, DB и DC:
$DA = \sqrt{(5 - 1)^2 + (4 - 1)^2} = \sqrt{4^2 + 3^2} = \sqrt{16 + 9} = \sqrt{25} = 5$
$DB = \sqrt{(4 - 1)^2 + (-3 - 1)^2} = \sqrt{3^2 + (-4)^2} = \sqrt{9 + 16} = \sqrt{25} = 5$
$DC = \sqrt{(-2 - 1)^2 + (5 - 1)^2} = \sqrt{(-3)^2 + 4^2} = \sqrt{9 + 16} = \sqrt{25} = 5$
Так как $DA = DB = DC = 5$, точка D равноудалена от точек A, B и C.
Ответ: Доказано.
б) D(1; 0), A(7; -8), B(-5; 8), C(9; 6)
Аналогично вычислим расстояния DA, DB и DC:
$DA = \sqrt{(7 - 1)^2 + (-8 - 0)^2} = \sqrt{6^2 + (-8)^2} = \sqrt{36 + 64} = \sqrt{100} = 10$
$DB = \sqrt{(-5 - 1)^2 + (8 - 0)^2} = \sqrt{(-6)^2 + 8^2} = \sqrt{36 + 64} = \sqrt{100} = 10$
$DC = \sqrt{(9 - 1)^2 + (6 - 0)^2} = \sqrt{8^2 + 6^2} = \sqrt{64 + 36} = \sqrt{100} = 10$
Так как $DA = DB = DC = 10$, точка D равноудалена от точек A, B и C.
Ответ: Доказано.
№1082 (с. 269)
Условие. №1082 (с. 269)
скриншот условия

1082 На оси абсцисс найдите точку, равноудалённую от точек М₁ (−2; 4) и М₂ (6; 8).
Решение 2. №1082 (с. 269)

Решение 3. №1082 (с. 269)

Решение 4. №1082 (с. 269)

Решение 6. №1082 (с. 269)

Решение 7. №1082 (с. 269)

Решение 9. №1082 (с. 269)

Решение 11. №1082 (с. 269)
Пусть искомая точка $P$ лежит на оси абсцисс. Координаты любой точки на оси абсцисс имеют вид $(x; 0)$. Таким образом, нам нужно найти значение $x$, при котором точка $P(x; 0)$ будет находиться на одинаковом расстоянии от точек $M_1(-2; 4)$ и $M_2(6; 8)$.
Условие равноудаленности означает, что расстояние от $P$ до $M_1$ равно расстоянию от $P$ до $M_2$. Математически это записывается как $PM_1 = PM_2$.
Для удобства вычислений будем использовать не сами расстояния, а их квадраты, так как если равны расстояния, то равны и их квадраты: $PM_1^2 = PM_2^2$.
Формула квадрата расстояния между двумя точками $(x_a; y_a)$ и $(x_b; y_b)$ выглядит так: $d^2 = (x_b - x_a)^2 + (y_b - y_a)^2$.
Найдем квадрат расстояния от точки $P(x; 0)$ до точки $M_1(-2; 4)$:
$PM_1^2 = (x - (-2))^2 + (0 - 4)^2 = (x + 2)^2 + (-4)^2 = (x + 2)^2 + 16$.
Найдем квадрат расстояния от точки $P(x; 0)$ до точки $M_2(6; 8)$:
$PM_2^2 = (x - 6)^2 + (0 - 8)^2 = (x - 6)^2 + (-8)^2 = (x - 6)^2 + 64$.
Теперь приравняем полученные выражения:
$(x + 2)^2 + 16 = (x - 6)^2 + 64$.
Раскроем скобки, используя формулы сокращенного умножения:
$x^2 + 4x + 4 + 16 = x^2 - 12x + 36 + 64$.
Упростим обе части уравнения:
$x^2 + 4x + 20 = x^2 - 12x + 100$.
Члены с $x^2$ в обеих частях уравнения взаимно уничтожаются. Перенесем все члены с $x$ в левую часть, а числовые значения — в правую:
$4x + 12x = 100 - 20$
$16x = 80$.
Найдем $x$:
$x = \frac{80}{16}$
$x = 5$.
Мы нашли абсциссу искомой точки. Так как точка лежит на оси абсцисс, её ордината равна 0. Следовательно, искомая точка имеет координаты $(5; 0)$.
Ответ: $(5; 0)$.
№1083 (с. 269)
Условие. №1083 (с. 269)
скриншот условия

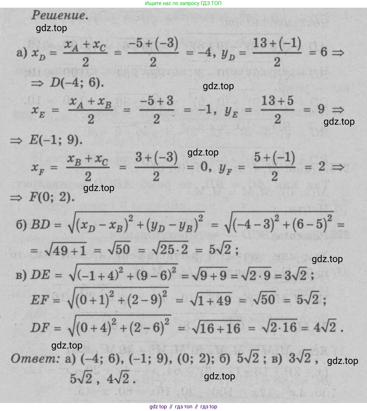
1083 Вершины треугольника ABC имеют координаты A (−5; 13), В (3; 5), C (−3; −1). Найдите: а) координаты середин сторон треугольника; б) медиану, проведённую к стороне АС; в) средние линии треугольника.
Решение 2. №1083 (с. 269)



Решение 3. №1083 (с. 269)

Решение 4. №1083 (с. 269)

Решение 6. №1083 (с. 269)

Решение 7. №1083 (с. 269)


Решение 9. №1083 (с. 269)


Решение 11. №1083 (с. 269)
а)
Координаты середины отрезка с концами в точках $(x_1; y_1)$ и $(x_2; y_2)$ находятся по формулам:
$x_c = \frac{x_1 + x_2}{2}$, $y_c = \frac{y_1 + y_2}{2}$
Пусть $M$, $N$ и $K$ — середины сторон $AB$, $BC$ и $AC$ соответственно.
1. Найдем координаты точки $M$ — середины стороны $AB$.
Координаты вершин: $A(-5; 13)$ и $B(3; 5)$.
$x_M = \frac{-5 + 3}{2} = \frac{-2}{2} = -1$
$y_M = \frac{13 + 5}{2} = \frac{18}{2} = 9$
Координаты точки $M$: $(-1; 9)$.
2. Найдем координаты точки $N$ — середины стороны $BC$.
Координаты вершин: $B(3; 5)$ и $C(-3; -1)$.
$x_N = \frac{3 + (-3)}{2} = \frac{0}{2} = 0$
$y_N = \frac{5 + (-1)}{2} = \frac{4}{2} = 2$
Координаты точки $N$: $(0; 2)$.
3. Найдем координаты точки $K$ — середины стороны $AC$.
Координаты вершин: $A(-5; 13)$ и $C(-3; -1)$.
$x_K = \frac{-5 + (-3)}{2} = \frac{-8}{2} = -4$
$y_K = \frac{13 + (-1)}{2} = \frac{12}{2} = 6$
Координаты точки $K$: $(-4; 6)$.
Ответ: $(-1; 9)$, $(0; 2)$, $(-4; 6)$.
б)
Медиана, проведенная к стороне $AC$, — это отрезок, соединяющий вершину $B$ с серединой стороны $AC$. Серединой стороны $AC$ является точка $K$, координаты которой мы нашли в пункте а): $K(-4; 6)$.
Длину медианы $BK$ найдем по формуле расстояния между двумя точками $(x_1; y_1)$ и $(x_2; y_2)$:
$d = \sqrt{(x_2 - x_1)^2 + (y_2 - y_1)^2}$
Подставим координаты точек $B(3; 5)$ и $K(-4; 6)$:
$BK = \sqrt{(-4 - 3)^2 + (6 - 5)^2} = \sqrt{(-7)^2 + 1^2} = \sqrt{49 + 1} = \sqrt{50}$
Упростим полученное значение: $\sqrt{50} = \sqrt{25 \cdot 2} = 5\sqrt{2}$.
Ответ: $5\sqrt{2}$.
в)
Средние линии треугольника соединяют середины его сторон. Длина средней линии равна половине длины стороны, которой она параллельна. Чтобы найти длины средних линий, сначала найдем длины сторон треугольника $ABC$.
1. Длина стороны $AB$ (вершины $A(-5; 13)$, $B(3; 5)$):
$AB = \sqrt{(3 - (-5))^2 + (5 - 13)^2} = \sqrt{8^2 + (-8)^2} = \sqrt{64 + 64} = \sqrt{128} = \sqrt{64 \cdot 2} = 8\sqrt{2}$
2. Длина стороны $BC$ (вершины $B(3; 5)$, $C(-3; -1)$):
$BC = \sqrt{(-3 - 3)^2 + (-1 - 5)^2} = \sqrt{(-6)^2 + (-6)^2} = \sqrt{36 + 36} = \sqrt{72} = \sqrt{36 \cdot 2} = 6\sqrt{2}$
3. Длина стороны $AC$ (вершины $A(-5; 13)$, $C(-3; -1)$):
$AC = \sqrt{(-3 - (-5))^2 + (-1 - 13)^2} = \sqrt{2^2 + (-14)^2} = \sqrt{4 + 196} = \sqrt{200} = \sqrt{100 \cdot 2} = 10\sqrt{2}$
Теперь найдем длины средних линий:
- Средняя линия, параллельная $AB$, имеет длину: $\frac{1}{2}AB = \frac{1}{2} \cdot 8\sqrt{2} = 4\sqrt{2}$.
- Средняя линия, параллельная $BC$, имеет длину: $\frac{1}{2}BC = \frac{1}{2} \cdot 6\sqrt{2} = 3\sqrt{2}$.
- Средняя линия, параллельная $AC$, имеет длину: $\frac{1}{2}AC = \frac{1}{2} \cdot 10\sqrt{2} = 5\sqrt{2}$.
Ответ: $3\sqrt{2}$, $4\sqrt{2}$, $5\sqrt{2}$.
№1084 (с. 269)
Условие. №1084 (с. 269)
скриншот условия

1084 Докажите, что четырёхугольник ABCD, вершины которого имеют координаты А (3; 2), B (0; 5), С (−3; 2), D (0; −1), является квадратом.
Решение 2. №1084 (с. 269)

Решение 3. №1084 (с. 269)

Решение 4. №1084 (с. 269)

Решение 6. №1084 (с. 269)


Решение 7. №1084 (с. 269)

Решение 9. №1084 (с. 269)


Решение 11. №1084 (с. 269)
Для того чтобы доказать, что четырёхугольник ABCD является квадратом, необходимо установить, что все его стороны равны между собой, а также равны его диагонали. Для этого воспользуемся формулой расстояния между двумя точками на плоскости с координатами $(x_1; y_1)$ и $(x_2; y_2)$: $d = \sqrt{(x_2-x_1)^2 + (y_2-y_1)^2}$.
Даны координаты вершин: A(3; 2), B(0; 5), C(-3; 2), D(0; -1).
1. Вычислим длины сторон четырёхугольника.
Длина стороны AB: $AB = \sqrt{(0-3)^2 + (5-2)^2} = \sqrt{(-3)^2 + 3^2} = \sqrt{9+9} = \sqrt{18}$.
Длина стороны BC: $BC = \sqrt{(-3-0)^2 + (2-5)^2} = \sqrt{(-3)^2 + (-3)^2} = \sqrt{9+9} = \sqrt{18}$.
Длина стороны CD: $CD = \sqrt{(0-(-3))^2 + (-1-2)^2} = \sqrt{3^2 + (-3)^2} = \sqrt{9+9} = \sqrt{18}$.
Длина стороны DA: $DA = \sqrt{(3-0)^2 + (2-(-1))^2} = \sqrt{3^2 + 3^2} = \sqrt{9+9} = \sqrt{18}$.
Все стороны равны: $AB = BC = CD = DA = \sqrt{18}$. Это означает, что четырёхугольник ABCD является ромбом.
Ответ: Длины всех сторон равны $\sqrt{18}$, следовательно, четырёхугольник ABCD является ромбом.
2. Вычислим длины диагоналей четырёхугольника.
Длина диагонали AC: $AC = \sqrt{(-3-3)^2 + (2-2)^2} = \sqrt{(-6)^2 + 0^2} = \sqrt{36} = 6$.
Длина диагонали BD: $BD = \sqrt{(0-0)^2 + (-1-5)^2} = \sqrt{0^2 + (-6)^2} = \sqrt{36} = 6$.
Диагонали равны: $AC = BD = 6$.
Поскольку четырёхугольник ABCD является ромбом (все стороны равны) и его диагонали равны, он является квадратом. Что и требовалось доказать.
Ответ: Диагонали четырёхугольника равны 6, что в сочетании с равенством сторон доказывает, что ABCD — квадрат.
№1085 (с. 269)
Условие. №1085 (с. 269)
скриншот условия

1085 Докажите, что четырёхугольник ABCD, вершины которого имеют координаты A (−2; −3), В (1; 4), C (8; 7), D (5; 0), является ромбом. Найдите его площадь.
Решение 2. №1085 (с. 269)

Решение 3. №1085 (с. 269)

Решение 4. №1085 (с. 269)

Решение 6. №1085 (с. 269)

Решение 7. №1085 (с. 269)

Решение 9. №1085 (с. 269)


Решение 11. №1085 (с. 269)
Докажите, что четырёхугольник ABCD, вершины которого имеют координаты A(-2; -3), B(1; 4), C(8; 7), D(5; 0), является ромбом.
Ромбом называется четырёхугольник, у которого все стороны равны по длине. Для доказательства необходимо вычислить длины всех четырёх сторон четырёхугольника ABCD. Воспользуемся формулой для нахождения расстояния между двумя точками с координатами $(x_1, y_1)$ и $(x_2, y_2)$: $d = \sqrt{(x_2 - x_1)^2 + (y_2 - y_1)^2}$.
1. Вычислим длину стороны AB между точками A(-2; -3) и B(1; 4):
$AB = \sqrt{(1 - (-2))^2 + (4 - (-3))^2} = \sqrt{(1 + 2)^2 + (4 + 3)^2} = \sqrt{3^2 + 7^2} = \sqrt{9 + 49} = \sqrt{58}$.
2. Вычислим длину стороны BC между точками B(1; 4) и C(8; 7):
$BC = \sqrt{(8 - 1)^2 + (7 - 4)^2} = \sqrt{7^2 + 3^2} = \sqrt{49 + 9} = \sqrt{58}$.
3. Вычислим длину стороны CD между точками C(8; 7) и D(5; 0):
$CD = \sqrt{(5 - 8)^2 + (0 - 7)^2} = \sqrt{(-3)^2 + (-7)^2} = \sqrt{9 + 49} = \sqrt{58}$.
4. Вычислим длину стороны DA между точками D(5; 0) и A(-2; -3):
$DA = \sqrt{(-2 - 5)^2 + (-3 - 0)^2} = \sqrt{(-7)^2 + (-3)^2} = \sqrt{49 + 9} = \sqrt{58}$.
Так как $AB = BC = CD = DA = \sqrt{58}$, все стороны четырёхугольника ABCD равны. Следовательно, данный четырёхугольник является ромбом.
Ответ: Утверждение доказано.
Найдите его площадь.
Площадь ромба можно найти по формуле через его диагонали: $S = \frac{1}{2}d_1 d_2$, где $d_1$ и $d_2$ — длины диагоналей. В нашем случае диагоналями являются отрезки AC и BD.
1. Найдём длину диагонали AC, соединяющей точки A(-2; -3) и C(8; 7):
$d_1 = AC = \sqrt{(8 - (-2))^2 + (7 - (-3))^2} = \sqrt{10^2 + 10^2} = \sqrt{100 + 100} = \sqrt{200} = \sqrt{100 \cdot 2} = 10\sqrt{2}$.
2. Найдём длину диагонали BD, соединяющей точки B(1; 4) и D(5; 0):
$d_2 = BD = \sqrt{(5 - 1)^2 + (0 - 4)^2} = \sqrt{4^2 + (-4)^2} = \sqrt{16 + 16} = \sqrt{32} = \sqrt{16 \cdot 2} = 4\sqrt{2}$.
3. Теперь вычислим площадь ромба:
$S = \frac{1}{2} \cdot AC \cdot BD = \frac{1}{2} \cdot 10\sqrt{2} \cdot 4\sqrt{2} = \frac{1}{2} \cdot (10 \cdot 4) \cdot (\sqrt{2} \cdot \sqrt{2}) = \frac{1}{2} \cdot 40 \cdot 2 = 40$.
Ответ: 40.
№1086 (с. 269)
Условие. №1086 (с. 269)
скриншот условия

1086 Найдите координаты четвёртой вершины параллелограмма по заданным координатам трёх его вершин: (−4; 4), (−5; 1) и (−1; 5). Сколько решений имеет задача?
Решение 2. №1086 (с. 269)

Решение 3. №1086 (с. 269)

Решение 4. №1086 (с. 269)

Решение 7. №1086 (с. 269)


Решение 9. №1086 (с. 269)

Решение 11. №1086 (с. 269)
Пусть даны три вершины A(-4; 4), B(-5; 1) и C(-1; 5). Четвертая вершина D будет иметь координаты $(x; y)$. Поскольку в условии не указан порядок вершин, существует три возможных варианта для искомого параллелограмма, а значит, задача имеет три решения. В каждом из случаев одна из пар заданных вершин будет образовывать диагональ.
Для нахождения координат четвертой вершины мы воспользуемся свойством параллелограмма: его диагонали пересекаются в одной точке и делятся этой точкой пополам. Это означает, что координаты середины одной диагонали равны координатам середины другой. Координаты середины отрезка с концами в точках $(x_1; y_1)$ и $(x_2; y_2)$ находятся по формуле: $(\frac{x_1+x_2}{2}; \frac{y_1+y_2}{2})$.
Вершины A и C являются противоположными (параллелограмм ABCD)
В этом случае диагоналями являются отрезки AC и BD. Найдем координаты их общей середины M.
Координаты середины диагонали AC:
$x_M = \frac{x_A + x_C}{2} = \frac{-4 + (-1)}{2} = -\frac{5}{2}$
$y_M = \frac{y_A + y_C}{2} = \frac{4 + 5}{2} = \frac{9}{2}$
Координаты середины диагонали BD:
$x_M = \frac{x_B + x_D}{2} = \frac{-5 + x}{2}$
$y_M = \frac{y_B + y_D}{2} = \frac{1 + y}{2}$
Приравниваем соответствующие координаты:
$\frac{-5 + x}{2} = -\frac{5}{2} \Rightarrow -5 + x = -5 \Rightarrow x = 0$
$\frac{1 + y}{2} = \frac{9}{2} \Rightarrow 1 + y = 9 \Rightarrow y = 8$
Координаты четвертой вершины $D_1$ в этом случае: (0; 8).
Ответ: (0; 8).
Вершины A и B являются противоположными (параллелограмм ACBD)
В этом случае диагоналями являются отрезки AB и CD. Найдем координаты их общей середины M.
Координаты середины диагонали AB:
$x_M = \frac{x_A + x_B}{2} = \frac{-4 + (-5)}{2} = -\frac{9}{2}$
$y_M = \frac{y_A + y_B}{2} = \frac{4 + 1}{2} = \frac{5}{2}$
Координаты середины диагонали CD:
$x_M = \frac{x_C + x_D}{2} = \frac{-1 + x}{2}$
$y_M = \frac{y_C + y_D}{2} = \frac{5 + y}{2}$
Приравниваем соответствующие координаты:
$\frac{-1 + x}{2} = -\frac{9}{2} \Rightarrow -1 + x = -9 \Rightarrow x = -8$
$\frac{5 + y}{2} = \frac{5}{2} \Rightarrow 5 + y = 5 \Rightarrow y = 0$
Координаты четвертой вершины $D_2$ в этом случае: (-8; 0).
Ответ: (-8; 0).
Вершины B и C являются противоположными (параллелограмм ABDC)
В этом случае диагоналями являются отрезки BC и AD. Найдем координаты их общей середины M.
Координаты середины диагонали BC:
$x_M = \frac{x_B + x_C}{2} = \frac{-5 + (-1)}{2} = -3$
$y_M = \frac{y_B + y_C}{2} = \frac{1 + 5}{2} = 3$
Координаты середины диагонали AD:
$x_M = \frac{x_A + x_D}{2} = \frac{-4 + x}{2}$
$y_M = \frac{y_A + y_D}{2} = \frac{4 + y}{2}$
Приравниваем соответствующие координаты:
$\frac{-4 + x}{2} = -3 \Rightarrow -4 + x = -6 \Rightarrow x = -2$
$\frac{4 + y}{2} = 3 \Rightarrow 4 + y = 6 \Rightarrow y = 2$
Координаты четвертой вершины $D_3$ в этом случае: (-2; 2).
Ответ: (-2; 2).
Таким образом, мы нашли три возможных набора координат для четвертой вершины, что соответствует трем возможным параллелограммам.
Ответ: Задача имеет 3 решения. Координаты четвертой вершины могут быть (0; 8), (-8; 0) или (-2; 2).
Помогло решение? Оставьте отзыв в комментариях ниже.