Страница 270 - гдз по геометрии 7-9 класс учебник Атанасян, Бутузов

Авторы: Атанасян Л. С., Бутузов В. Ф., Кадомцев С. Б., Позняк Э. Г., Юдина И. И.
Тип: Учебник
Издательство: Просвещение
Год издания: 2023 - 2025
Уровень обучения: базовый
Цвет обложки: синий
ISBN: 978-5-09-102538-5 (2023), 978-5-09-111167-5 (2024)
Допущено Министерством просвещения Российской Федерации
Популярные ГДЗ в 7 классе
Cтраница 270

№1087 (с. 270)
Условие. №1087 (с. 270)
скриншот условия

1087 Выясните, какие из данных уравнений являются уравнениями окружности. Найдите координаты центра и радиус каждой окружности:
а) (x − 1)² + (у + 2)² = 25;
б) x² + (у + 7)² = 1;
в) х² + у² + 8х − 4у + 40 = 0;
г) х² + у² − 2x + 4у − 20 = 0;
д) x² + у² − 4х − 2у + 1 = 0.
Решение 2. №1087 (с. 270)





Решение 3. №1087 (с. 270)

Решение 4. №1087 (с. 270)

Решение 6. №1087 (с. 270)


Решение 7. №1087 (с. 270)

Решение 9. №1087 (с. 270)

Решение 11. №1087 (с. 270)
Стандартное уравнение окружности с центром в точке $O(a; b)$ и радиусом $r$ имеет вид: $(x - a)^2 + (y - b)^2 = r^2$.Чтобы определить, является ли данное уравнение уравнением окружности, и найти ее центр и радиус, необходимо привести уравнение к этому стандартному виду. Уравнение задает окружность, если в правой части получается положительное число ($r^2 > 0$).
а) $(x - 1)^2 + (y + 2)^2 = 25$
Это уравнение уже представлено в стандартном виде. Его можно переписать как $(x - 1)^2 + (y - (-2))^2 = 5^2$.Сравнивая это уравнение со стандартной формой, находим координаты центра $(a; b)$ и радиус $r$.Координаты центра: $a = 1$, $b = -2$, то есть точка $(1; -2)$.Квадрат радиуса $r^2 = 25$, значит, радиус $r = \sqrt{25} = 5$.Так как $r^2 > 0$, это уравнение является уравнением окружности.
Ответ: данное уравнение является уравнением окружности с центром в точке $(1; -2)$ и радиусом $5$.
б) $x^2 + (y + 7)^2 = 1$
Это уравнение также находится в стандартном виде. Его можно записать как $(x - 0)^2 + (y - (-7))^2 = 1^2$.Сравнивая со стандартным уравнением, получаем:Координаты центра: $a = 0$, $b = -7$, то есть точка $(0; -7)$.Квадрат радиуса $r^2 = 1$, значит, радиус $r = \sqrt{1} = 1$.Так как $r^2 > 0$, это уравнение является уравнением окружности.
Ответ: данное уравнение является уравнением окружности с центром в точке $(0; -7)$ и радиусом $1$.
в) $x^2 + y^2 + 8x - 4y + 40 = 0$
Приведем это уравнение к стандартному виду, используя метод выделения полного квадрата.Сгруппируем слагаемые с $x$ и с $y$:$(x^2 + 8x) + (y^2 - 4y) + 40 = 0$.Выделим полные квадраты:$x^2 + 8x = (x^2 + 2 \cdot x \cdot 4 + 4^2) - 4^2 = (x + 4)^2 - 16$.$y^2 - 4y = (y^2 - 2 \cdot y \cdot 2 + 2^2) - 2^2 = (y - 2)^2 - 4$.Подставим полученные выражения в уравнение:$((x + 4)^2 - 16) + ((y - 2)^2 - 4) + 40 = 0$$(x + 4)^2 + (y - 2)^2 - 16 - 4 + 40 = 0$$(x + 4)^2 + (y - 2)^2 + 20 = 0$$(x + 4)^2 + (y - 2)^2 = -20$.В правой части уравнения стоит отрицательное число. Сумма двух квадратов $(x + 4)^2$ и $(y - 2)^2$ не может быть отрицательной для действительных чисел $x$ и $y$. Следовательно, это уравнение не описывает окружность на действительной плоскости.
Ответ: данное уравнение не является уравнением окружности.
г) $x^2 + y^2 - 2x + 4y - 20 = 0$
Приведем уравнение к стандартному виду, выделив полные квадраты.Сгруппируем слагаемые: $(x^2 - 2x) + (y^2 + 4y) - 20 = 0$.Выделим полные квадраты:$x^2 - 2x = (x^2 - 2 \cdot x \cdot 1 + 1^2) - 1^2 = (x - 1)^2 - 1$.$y^2 + 4y = (y^2 + 2 \cdot y \cdot 2 + 2^2) - 2^2 = (y + 2)^2 - 4$.Подставим в уравнение:$((x - 1)^2 - 1) + ((y + 2)^2 - 4) - 20 = 0$$(x - 1)^2 + (y + 2)^2 - 25 = 0$$(x - 1)^2 + (y + 2)^2 = 25$.Это стандартное уравнение окружности.Координаты центра: $(1; -2)$.Радиус: $r = \sqrt{25} = 5$.
Ответ: данное уравнение является уравнением окружности с центром в точке $(1; -2)$ и радиусом $5$.
д) $x^2 + y^2 - 4x - 2y + 1 = 0$
Приведем уравнение к стандартному виду, выделив полные квадраты.Сгруппируем слагаемые: $(x^2 - 4x) + (y^2 - 2y) + 1 = 0$.Выделим полные квадраты:$x^2 - 4x = (x^2 - 2 \cdot x \cdot 2 + 2^2) - 2^2 = (x - 2)^2 - 4$.$y^2 - 2y = (y^2 - 2 \cdot y \cdot 1 + 1^2) - 1^2 = (y - 1)^2 - 1$.Подставим в уравнение:$((x - 2)^2 - 4) + ((y - 1)^2 - 1) + 1 = 0$$(x - 2)^2 + (y - 1)^2 - 4 = 0$$(x - 2)^2 + (y - 1)^2 = 4$.Это стандартное уравнение окружности.Координаты центра: $(2; 1)$.Радиус: $r = \sqrt{4} = 2$.
Ответ: данное уравнение является уравнением окружности с центром в точке $(2; 1)$ и радиусом $2$.
№1088 (с. 270)
Условие. №1088 (с. 270)
скриншот условия

1088 Напишите уравнение окружности, проходящей через точки A (3; 0) и B (−1; 2), если центр её лежит на прямой у = x + 2.
Решение 2. №1088 (с. 270)

Решение 3. №1088 (с. 270)

Решение 4. №1088 (с. 270)

Решение 6. №1088 (с. 270)

Решение 7. №1088 (с. 270)

Решение 9. №1088 (с. 270)


Решение 11. №1088 (с. 270)
Общее уравнение окружности с центром в точке $C(a; b)$ и радиусом $R$ имеет вид:
$(x - a)^2 + (y - b)^2 = R^2$
Для решения задачи нам нужно найти координаты центра $(a; b)$ и квадрат радиуса $R^2$.
1. Нахождение координат центра окружности
По условию, центр окружности $C(a; b)$ лежит на прямой $y = x + 2$. Следовательно, координаты центра удовлетворяют этому уравнению:
$b = a + 2$
Также известно, что окружность проходит через точки $A(3; 0)$ и $B(-1; 2)$. Это означает, что эти точки равноудалены от центра окружности, и это расстояние равно радиусу $R$. Таким образом, $CA = CB$, или, для удобства вычислений, $CA^2 = CB^2$.
Используем формулу квадрата расстояния между двумя точками $(x_1; y_1)$ и $(x_2; y_2)$: $d^2 = (x_2 - x_1)^2 + (y_2 - y_1)^2$.
Квадрат расстояния от центра $C(a; b)$ до точки $A(3; 0)$:
$CA^2 = (3 - a)^2 + (0 - b)^2 = (a - 3)^2 + b^2$
Квадрат расстояния от центра $C(a; b)$ до точки $B(-1; 2)$:
$CB^2 = (-1 - a)^2 + (2 - b)^2 = (a + 1)^2 + (b - 2)^2$
Приравниваем эти два выражения:
$(a - 3)^2 + b^2 = (a + 1)^2 + (b - 2)^2$
Раскроем скобки в уравнении:
$a^2 - 6a + 9 + b^2 = a^2 + 2a + 1 + b^2 - 4b + 4$
Сократим одинаковые слагаемые ($a^2$ и $b^2$) в обеих частях уравнения:
$-6a + 9 = 2a + 5 - 4b$
Соберем слагаемые с переменными в одной части, а числовые — в другой:
$4b = 2a + 6a + 5 - 9$
$4b = 8a - 4$
Разделим обе части уравнения на 4:
$b = 2a - 1$
Теперь у нас есть система из двух линейных уравнений с двумя переменными $a$ и $b$:
$\begin{cases} b = a + 2 \\ b = 2a - 1 \end{cases}$
Поскольку левые части уравнений равны, мы можем приравнять их правые части:
$a + 2 = 2a - 1$
$2 + 1 = 2a - a$
$a = 3$
Теперь найдем $b$, подставив значение $a=3$ в первое уравнение системы:
$b = 3 + 2 = 5$
Таким образом, центр окружности — точка $C(3; 5)$.
2. Нахождение радиуса окружности
Радиус $R$ — это расстояние от центра $C(3; 5)$ до любой из точек, через которые проходит окружность, например, до точки $A(3; 0)$. Найдем квадрат радиуса $R^2$:
$R^2 = CA^2 = (3 - 3)^2 + (0 - 5)^2$
$R^2 = 0^2 + (-5)^2 = 25$
3. Составление уравнения окружности
Подставим найденные координаты центра $a=3$, $b=5$ и квадрат радиуса $R^2=25$ в общее уравнение окружности:
$(x - 3)^2 + (y - 5)^2 = 25$
Ответ: $(x - 3)^2 + (y - 5)^2 = 25$.
№1089 (с. 270)
Условие. №1089 (с. 270)
скриншот условия

1089 Напишите уравнение окружности, проходящей через три данные точки:
а) А (1; −4), B (4; 5), С (3; −2);
б) А (3; −7), B (8; −2), C (6; 2).
Решение 2. №1089 (с. 270)


Решение 3. №1089 (с. 270)


Решение 4. №1089 (с. 270)

Решение 6. №1089 (с. 270)


Решение 7. №1089 (с. 270)

Решение 9. №1089 (с. 270)



Решение 11. №1089 (с. 270)
а)
Общее уравнение окружности имеет вид $(x - a)^2 + (y - b)^2 = R^2$, где $(a; b)$ — координаты центра окружности, а $R$ — её радиус.
Пусть центр окружности — точка $O(a; b)$. Так как точки $A(1; -4)$, $B(4; 5)$ и $C(3; -2)$ лежат на окружности, то расстояния от центра до этих точек равны радиусу: $OA = OB = OC = R$. Следовательно, квадраты этих расстояний также равны: $OA^2 = OB^2 = OC^2$.
Запишем квадраты расстояний:
$OA^2 = (1 - a)^2 + (-4 - b)^2 = (1 - a)^2 + (b + 4)^2$
$OB^2 = (4 - a)^2 + (5 - b)^2$
$OC^2 = (3 - a)^2 + (-2 - b)^2 = (3 - a)^2 + (b + 2)^2$
Составим систему уравнений, приравняв квадраты расстояний.
1. Приравняем $OA^2$ и $OB^2$:
$(1 - a)^2 + (b + 4)^2 = (4 - a)^2 + (5 - b)^2$
Раскроем скобки:
$1 - 2a + a^2 + b^2 + 8b + 16 = 16 - 8a + a^2 + 25 - 10b + b^2$
Упростим, сократив $a^2$ и $b^2$ в обеих частях:
$17 - 2a + 8b = 41 - 8a - 10b$
Перенесём переменные в левую часть, а константы в правую:
$8a - 2a + 8b + 10b = 41 - 17$
$6a + 18b = 24$
Разделим обе части на 6:
$a + 3b = 4$
2. Приравняем $OA^2$ и $OC^2$:
$(1 - a)^2 + (b + 4)^2 = (3 - a)^2 + (b + 2)^2$
Раскроем скобки:
$1 - 2a + a^2 + b^2 + 8b + 16 = 9 - 6a + a^2 + b^2 + 4b + 4$
Упростим:
$17 - 2a + 8b = 13 - 6a + 4b$
Перенесём переменные в левую часть, а константы в правую:
$6a - 2a + 8b - 4b = 13 - 17$
$4a + 4b = -4$
Разделим обе части на 4:
$a + b = -1$
Теперь решим систему из двух линейных уравнений:
$\begin{cases} a + 3b = 4 \\ a + b = -1 \end{cases}$
Вычтем второе уравнение из первого:
$(a + 3b) - (a + b) = 4 - (-1)$
$2b = 5$
$b = 2.5$
Подставим значение $b$ во второе уравнение:
$a + 2.5 = -1$
$a = -3.5$
Таким образом, центр окружности $O(-3.5; 2.5)$.
Найдём квадрат радиуса $R^2$, используя координаты точки $A$:
$R^2 = OA^2 = (1 - a)^2 + (-4 - b)^2 = (1 - (-3.5))^2 + (-4 - 2.5)^2 = (4.5)^2 + (-6.5)^2 = 20.25 + 42.25 = 62.5$
Подставим найденные значения $a$, $b$ и $R^2$ в общее уравнение окружности:
$(x - (-3.5))^2 + (y - 2.5)^2 = 62.5$
$(x + 3.5)^2 + (y - 2.5)^2 = 62.5$
Ответ: $(x + 3.5)^2 + (y - 2.5)^2 = 62.5$
б)
Аналогично пункту а), найдём уравнение окружности, проходящей через точки $A(3; -7)$, $B(8; -2)$ и $C(6; 2)$. Пусть центр окружности — точка $O(a; b)$.
Запишем равенство квадратов расстояний $OA^2 = OB^2 = OC^2$:
$OA^2 = (3 - a)^2 + (-7 - b)^2 = (3 - a)^2 + (b + 7)^2$
$OB^2 = (8 - a)^2 + (-2 - b)^2 = (8 - a)^2 + (b + 2)^2$
$OC^2 = (6 - a)^2 + (2 - b)^2$
Составим систему уравнений.
1. Приравняем $OA^2$ и $OB^2$:
$(3 - a)^2 + (b + 7)^2 = (8 - a)^2 + (b + 2)^2$
$9 - 6a + a^2 + b^2 + 14b + 49 = 64 - 16a + a^2 + b^2 + 4b + 4$
$58 - 6a + 14b = 68 - 16a + 4b$
$16a - 6a + 14b - 4b = 68 - 58$
$10a + 10b = 10$
$a + b = 1$
2. Приравняем $OB^2$ и $OC^2$:
$(8 - a)^2 + (b + 2)^2 = (6 - a)^2 + (2 - b)^2$
$64 - 16a + a^2 + b^2 + 4b + 4 = 36 - 12a + a^2 + 4 - 4b + b^2$
$68 - 16a + 4b = 40 - 12a - 4b$
$-16a + 12a + 4b + 4b = 40 - 68$
$-4a + 8b = -28$
Разделим обе части на -4:
$a - 2b = 7$
Решим систему уравнений:
$\begin{cases} a + b = 1 \\ a - 2b = 7 \end{cases}$
Вычтем второе уравнение из первого:
$(a + b) - (a - 2b) = 1 - 7$
$3b = -6$
$b = -2$
Подставим значение $b$ в первое уравнение:
$a + (-2) = 1$
$a = 3$
Таким образом, центр окружности $O(3; -2)$.
Найдём квадрат радиуса $R^2$, используя координаты точки $C$:
$R^2 = OC^2 = (6 - a)^2 + (2 - b)^2 = (6 - 3)^2 + (2 - (-2))^2 = 3^2 + 4^2 = 9 + 16 = 25$
Подставим найденные значения $a$, $b$ и $R^2$ в общее уравнение окружности:
$(x - 3)^2 + (y - (-2))^2 = 25$
$(x - 3)^2 + (y + 2)^2 = 25$
Ответ: $(x - 3)^2 + (y + 2)^2 = 25$
№1090 (с. 270)
Условие. №1090 (с. 270)
скриншот условия

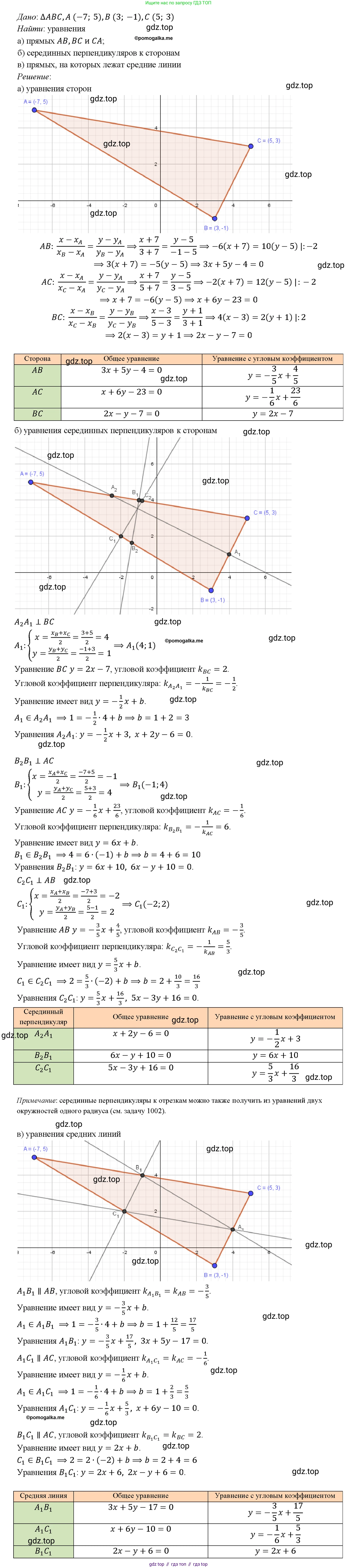
1090 Вершины треугольника ABC имеют координаты A (−7; 5), В (3; −1), C (5; 3). Составьте уравнения: а) серединных перпендикуляров к сторонам треугольника; б) прямых AB, ВС и СА; в) прямых, на которых лежат средние линии треугольника.
Решение 2. №1090 (с. 270)



Решение 3. №1090 (с. 270)



Решение 4. №1090 (с. 270)

Решение 6. №1090 (с. 270)


Решение 7. №1090 (с. 270)


Решение 8. №1090 (с. 270)


Решение 9. №1090 (с. 270)





Решение 11. №1090 (с. 270)
Даны вершины треугольника $ABC$ с координатами $A(-7; 5)$, $B(3; -1)$, $C(5; 3)$.
а) Cерединных перпендикуляров к сторонам треугольника
Серединный перпендикуляр к отрезку — это прямая, проходящая через середину этого отрезка и перпендикулярная ему. Общее уравнение прямой в виде $y - y_0 = k(x - x_0)$, где $(x_0, y_0)$ — точка на прямой, а $k$ — её угловой коэффициент.
1. Серединный перпендикуляр к стороне AB:
Сначала найдем координаты середины $M_{AB}$ отрезка AB по формуле $M(\frac{x_1+x_2}{2}; \frac{y_1+y_2}{2})$:
$x_{M_{AB}} = \frac{-7 + 3}{2} = -2$; $y_{M_{AB}} = \frac{5 + (-1)}{2} = 2$. Таким образом, $M_{AB}(-2; 2)$.
Теперь найдем угловой коэффициент $k_{AB}$ прямой AB: $k_{AB} = \frac{y_B - y_A}{x_B - x_A} = \frac{-1 - 5}{3 - (-7)} = \frac{-6}{10} = -\frac{3}{5}$.
Угловой коэффициент $k_{\perp}$ перпендикулярной прямой связан с исходным соотношением $k_{\perp} = -\frac{1}{k}$.
$k_{\perp AB} = -\frac{1}{-3/5} = \frac{5}{3}$.
Составим уравнение серединного перпендикуляра, проходящего через точку $M_{AB}(-2; 2)$ с уклоном $k_{\perp AB} = \frac{5}{3}$:
$y - 2 = \frac{5}{3}(x - (-2))$
$3(y - 2) = 5(x + 2)$
$3y - 6 = 5x + 10$
$5x - 3y + 16 = 0$.
2. Серединный перпендикуляр к стороне BC:
Найдем координаты середины $M_{BC}$ отрезка BC:
$x_{M_{BC}} = \frac{3 + 5}{2} = 4$; $y_{M_{BC}} = \frac{-1 + 3}{2} = 1$. Таким образом, $M_{BC}(4; 1)$.
Угловой коэффициент прямой BC: $k_{BC} = \frac{y_C - y_B}{x_C - x_B} = \frac{3 - (-1)}{5 - 3} = \frac{4}{2} = 2$.
Угловой коэффициент перпендикулярной прямой: $k_{\perp BC} = -\frac{1}{2}$.
Составим уравнение серединного перпендикуляра, проходящего через точку $M_{BC}(4; 1)$ с уклоном $k_{\perp BC} = -\frac{1}{2}$:
$y - 1 = -\frac{1}{2}(x - 4)$
$2(y - 1) = -(x - 4)$
$2y - 2 = -x + 4$
$x + 2y - 6 = 0$.
3. Серединный перпендикуляр к стороне CA:
Найдем координаты середины $M_{CA}$ отрезка CA:
$x_{M_{CA}} = \frac{5 + (-7)}{2} = -1$; $y_{M_{CA}} = \frac{3 + 5}{2} = 4$. Таким образом, $M_{CA}(-1; 4)$.
Угловой коэффициент прямой CA: $k_{CA} = \frac{y_A - y_C}{x_A - x_C} = \frac{5 - 3}{-7 - 5} = \frac{2}{-12} = -\frac{1}{6}$.
Угловой коэффициент перпендикулярной прямой: $k_{\perp CA} = -\frac{1}{-1/6} = 6$.
Составим уравнение серединного перпендикуляра, проходящего через точку $M_{CA}(-1; 4)$ с уклоном $k_{\perp CA} = 6$:
$y - 4 = 6(x - (-1))$
$y - 4 = 6x + 6$
$6x - y + 10 = 0$.
Ответ: Уравнения серединных перпендикуляров к сторонам AB, BC и CA соответственно: $5x - 3y + 16 = 0$, $x + 2y - 6 = 0$, $6x - y + 10 = 0$.
б) Прямых AB, BC и CA
Уравнение прямой, проходящей через две точки $(x_1, y_1)$ и $(x_2, y_2)$, можно найти по формуле $\frac{x - x_1}{x_2 - x_1} = \frac{y - y_1}{y_2 - y_1}$.
1. Прямая AB, проходящая через A(-7; 5) и B(3; -1):
$\frac{x - (-7)}{3 - (-7)} = \frac{y - 5}{-1 - 5}$
$\frac{x + 7}{10} = \frac{y - 5}{-6}$
$-6(x + 7) = 10(y - 5)$, разделим на -2:
$3(x + 7) = -5(y - 5)$
$3x + 21 = -5y + 25$
$3x + 5y - 4 = 0$.
2. Прямая BC, проходящая через B(3; -1) и C(5; 3):
$\frac{x - 3}{5 - 3} = \frac{y - (-1)}{3 - (-1)}$
$\frac{x - 3}{2} = \frac{y + 1}{4}$
$4(x - 3) = 2(y + 1)$, разделим на 2:
$2(x - 3) = y + 1$
$2x - 6 = y + 1$
$2x - y - 7 = 0$.
3. Прямая CA, проходящая через C(5; 3) и A(-7; 5):
$\frac{x - 5}{-7 - 5} = \frac{y - 3}{5 - 3}$
$\frac{x - 5}{-12} = \frac{y - 3}{2}$
$2(x - 5) = -12(y - 3)$, разделим на 2:
$x - 5 = -6(y - 3)$
$x - 5 = -6y + 18$
$x + 6y - 23 = 0$.
Ответ: Уравнения прямых AB, BC и CA соответственно: $3x + 5y - 4 = 0$, $2x - y - 7 = 0$, $x + 6y - 23 = 0$.
в) Прямых, на которых лежат средние линии треугольника
Средняя линия треугольника соединяет середины двух сторон и параллельна третьей стороне. Следовательно, её угловой коэффициент равен угловому коэффициенту этой третьей стороны.
Координаты середин сторон (из пункта а)): $M_{AB}(-2; 2)$, $M_{BC}(4; 1)$, $M_{CA}(-1; 4)$.
Угловые коэффициенты сторон (из пункта а)): $k_{AB} = -\frac{3}{5}$, $k_{BC} = 2$, $k_{CA} = -\frac{1}{6}$.
1. Средняя линия, параллельная BC:
Эта линия проходит через середины сторон AB и AC, т.е. через точки $M_{AB}$ и $M_{CA}$. Она параллельна стороне BC, поэтому ее угловой коэффициент $k = k_{BC} = 2$. Возьмем точку $M_{AB}(-2; 2)$:
$y - 2 = 2(x - (-2))$
$y - 2 = 2x + 4$
$2x - y + 6 = 0$.
2. Средняя линия, параллельная CA:
Эта линия проходит через $M_{AB}$ и $M_{BC}$. Она параллельна стороне CA, поэтому ее угловой коэффициент $k = k_{CA} = -\frac{1}{6}$. Возьмем точку $M_{BC}(4; 1)$:
$y - 1 = -\frac{1}{6}(x - 4)$
$6(y - 1) = -(x - 4)$
$6y - 6 = -x + 4$
$x + 6y - 10 = 0$.
3. Средняя линия, параллельная AB:
Эта линия проходит через $M_{BC}$ и $M_{CA}$. Она параллельна стороне AB, поэтому ее угловой коэффициент $k = k_{AB} = -\frac{3}{5}$. Возьмем точку $M_{CA}(-1; 4)$:
$y - 4 = -\frac{3}{5}(x - (-1))$
$5(y - 4) = -3(x + 1)$
$5y - 20 = -3x - 3$
$3x + 5y - 17 = 0$.
Ответ: Уравнения прямых, на которых лежат средние линии, параллельные сторонам BC, CA и AB соответственно: $2x - y + 6 = 0$, $x + 6y - 10 = 0$, $3x + 5y - 17 = 0$.
№1091 (с. 270)
Условие. №1091 (с. 270)
скриншот условия

1091 Докажите, что прямые, заданные уравнениями 3x − 1,5у + 1 = 0 и 2x − у − 3 = 0, параллельны.
Решение 2. №1091 (с. 270)

Решение 3. №1091 (с. 270)

Решение 4. №1091 (с. 270)

Решение 6. №1091 (с. 270)

Решение 7. №1091 (с. 270)

Решение 9. №1091 (с. 270)

Решение 11. №1091 (с. 270)
Для того чтобы доказать, что две прямые параллельны, нужно показать, что их угловые коэффициенты равны, а их сдвиги по оси ординат (свободные члены) различны. Уравнение прямой с угловым коэффициентом имеет вид $y = kx + b$, где $k$ — угловой коэффициент, а $b$ — свободный член.
Приведем оба уравнения к виду $y = kx + b$.
1. Первое уравнение: $3x - 1,5y + 1 = 0$.
Выразим из него $y$:
$-1,5y = -3x - 1$
$1,5y = 3x + 1$
$y = \frac{3x + 1}{1,5}$
$y = \frac{3}{1,5}x + \frac{1}{1,5}$
$y = 2x + \frac{1}{3/2}$
$y = 2x + \frac{2}{3}$
Угловой коэффициент этой прямой $k_1 = 2$.
2. Второе уравнение: $2x - y - 3 = 0$.
Выразим из него $y$:
$-y = -2x + 3$
$y = 2x - 3$
Угловой коэффициент этой прямой $k_2 = 2$.
Сравним угловые коэффициенты и свободные члены. Мы видим, что угловые коэффициенты обеих прямых равны: $k_1 = k_2 = 2$. Свободные члены при этом различны: $b_1 = \frac{2}{3}$, а $b_2 = -3$.
Поскольку у прямых одинаковый наклон (угловой коэффициент), но они пересекают ось $y$ в разных точках, они никогда не пересекутся, то есть являются параллельными.
Альтернативный способ (через коэффициенты общего уравнения)
Для двух прямых, заданных уравнениями в общем виде $A_1x + B_1y + C_1 = 0$ и $A_2x + B_2y + C_2 = 0$, условие параллельности (но не совпадения) выглядит так: $\frac{A_1}{A_2} = \frac{B_1}{B_2} \neq \frac{C_1}{C_2}$.
Для наших уравнений:
$3x - 1,5y + 1 = 0 \implies A_1 = 3, B_1 = -1,5, C_1 = 1$
$2x - y - 3 = 0 \implies A_2 = 2, B_2 = -1, C_2 = -3$
Проверим соотношения коэффициентов:
$\frac{A_1}{A_2} = \frac{3}{2} = 1,5$
$\frac{B_1}{B_2} = \frac{-1,5}{-1} = 1,5$
$\frac{C_1}{C_2} = \frac{1}{-3} = -\frac{1}{3}$
Так как $\frac{3}{2} = \frac{-1,5}{-1}$ и $1,5 \neq -\frac{1}{3}$, условие параллельности выполняется.
Ответ: Угловые коэффициенты прямых равны ($k=2$), а свободные члены различны ($\frac{2}{3}$ и $-3$), следовательно, прямые параллельны, что и требовалось доказать.
№1092 (с. 270)
Условие. №1092 (с. 270)
скриншот условия

1092 Докажите, что точки А, В и С лежат на одной прямой, если:
а) A (−2; 0), B3; 212, C (6; 4);
б) А (3; 10), В (3; 12), C (3; −6);
в) А (1; 2), B (2; 5), C (−10; −31).
Решение 2. №1092 (с. 270)



Решение 3. №1092 (с. 270)

Решение 4. №1092 (с. 270)

Решение 7. №1092 (с. 270)


Решение 9. №1092 (с. 270)


Решение 11. №1092 (с. 270)
Для доказательства того, что три точки лежат на одной прямой, можно воспользоваться одним из следующих методов: 1) найти уравнение прямой, проходящей через две из этих точек, и проверить, удовлетворяют ли координаты третьей точки этому уравнению; 2) проверить условие коллинеарности точек, которое для точек A$(x_A, y_A)$, B$(x_B, y_B)$ и C$(x_C, y_C)$ может быть выражено через равенство угловых коэффициентов отрезков, например, $k_{AB} = k_{AC}$.
Угловой коэффициент $k$ отрезка, соединяющего две точки $(x_1; y_1)$ и $(x_2; y_2)$, вычисляется по формуле: $k = \frac{y_2 - y_1}{x_2 - x_1}$. Если знаменатель равен нулю, то отрезок лежит на вертикальной прямой.
а) A(-2; 0), B(3; $2\frac{1}{2}$), C(6; 4)
Сначала представим координату $y$ точки B в виде десятичной дроби для удобства вычислений: $2\frac{1}{2} = 2.5$. Таким образом, координаты точки B(3; 2.5).
Теперь вычислим угловые коэффициенты для отрезков AB и BC.
Угловой коэффициент отрезка AB:
$k_{AB} = \frac{2.5 - 0}{3 - (-2)} = \frac{2.5}{5} = 0.5$
Угловой коэффициент отрезка BC:
$k_{BC} = \frac{4 - 2.5}{6 - 3} = \frac{1.5}{3} = 0.5$
Поскольку угловые коэффициенты отрезков AB и BC равны ($k_{AB} = k_{BC} = 0.5$) и они имеют общую точку B, то точки A, B и C лежат на одной прямой, что и требовалось доказать.
Ответ: Доказано, что точки A, B и C лежат на одной прямой.
б) A(3; 10), B(3; 12), C(3; -6)
Проанализируем координаты заданных точек. Абсцисса (координата $x$) всех трех точек одинакова и равна 3.
Все точки, имеющие одну и ту же абсциссу, лежат на одной вертикальной прямой. В данном случае уравнение этой прямой — $x = 3$.
Поскольку координаты всех трех точек (A, B и C) удовлетворяют этому уравнению, они лежат на одной прямой, что и требовалось доказать.
Ответ: Доказано, что точки A, B и C лежат на одной прямой.
в) A(1; 2), B(2; 5), C(-10; -31)
Вычислим угловые коэффициенты для отрезков AB и AC.
Угловой коэффициент отрезка AB:
$k_{AB} = \frac{5 - 2}{2 - 1} = \frac{3}{1} = 3$
Угловой коэффициент отрезка AC:
$k_{AC} = \frac{-31 - 2}{-10 - 1} = \frac{-33}{-11} = 3$
Так как угловые коэффициенты отрезков AB и AC равны ($k_{AB} = k_{AC} = 3$) и они имеют общую точку A, то точки A, B и C лежат на одной прямой, что и требовалось доказать.
Ответ: Доказано, что точки A, B и C лежат на одной прямой.
№1093 (с. 270)
Условие. №1093 (с. 270)
скриншот условия

1093 Две стороны треугольника равны 17 см и 28 см, а высота, проведённая к большей из них, равна 15 см. Найдите медианы треугольника.
Решение 2. №1093 (с. 270)

Решение 3. №1093 (с. 270)

Решение 4. №1093 (с. 270)

Решение 6. №1093 (с. 270)


Решение 7. №1093 (с. 270)

Решение 8. №1093 (с. 270)


Решение 9. №1093 (с. 270)



Решение 11. №1093 (с. 270)
Пусть в треугольнике $ABC$ стороны $BC = a = 17$ см, $AC = b = 28$ см. Высота, проведённая к большей из этих сторон (к стороне $AC$), равна $h_b = 15$ см. Обозначим эту высоту как $BH$. Нам нужно найти длины медиан $m_a, m_b, m_c$.
1. Нахождение третьей стороны треугольника.Рассмотрим прямоугольный треугольник $BHC$, который образует высота $BH$ со стороной $BC$. По теореме Пифагора найдём катет $HC$:
$HC^2 = BC^2 - BH^2 = 17^2 - 15^2 = 289 - 225 = 64$ см$^2$.
$HC = \sqrt{64} = 8$ см.
Точка $H$ (основание высоты) может лежать как на отрезке $AC$, так и на его продолжении. Рассмотрим случай, когда точка $H$ лежит на отрезке $AC$ (что соответствует острому углу $C$).
Тогда отрезок $AH$ равен разности длин $AC$ и $HC$:
$AH = AC - HC = 28 - 8 = 20$ см.
Теперь рассмотрим прямоугольный треугольник $ABH$. По теореме Пифагора найдём гипотенузу $AB$, которая является третьей стороной исходного треугольника (обозначим её $c$):
$c^2 = AB^2 = BH^2 + AH^2 = 15^2 + 20^2 = 225 + 400 = 625$ см$^2$.
$c = \sqrt{625} = 25$ см.
Таким образом, стороны треугольника равны $a = 17$ см, $b = 28$ см, $c = 25$ см.
(Примечание: существует и второй случай, когда угол $C$ тупой и точка $H$ лежит на продолжении стороны $AC$. Тогда $AH = 28+8=36$ см, а третья сторона $c = \sqrt{15^2+36^2} = 39$ см. Обычно в таких задачах подразумевается первый, более простой случай).
2. Нахождение медиан треугольника.Для нахождения медиан воспользуемся формулой, связывающей медиану с длинами сторон треугольника: $m_a = \frac{1}{2}\sqrt{2b^2 + 2c^2 - a^2}$, где $m_a$ — медиана к стороне $a$.
Найдём медиану к стороне $a = 17$ см ($m_a$):
$m_a = \frac{1}{2}\sqrt{2 \cdot 28^2 + 2 \cdot 25^2 - 17^2} = \frac{1}{2}\sqrt{2 \cdot 784 + 2 \cdot 625 - 289}$
$m_a = \frac{1}{2}\sqrt{1568 + 1250 - 289} = \frac{1}{2}\sqrt{2529} = \frac{1}{2}\sqrt{9 \cdot 281} = \frac{3\sqrt{281}}{2}$ см.
Ответ: Медиана к стороне 17 см равна $\frac{3\sqrt{281}}{2}$ см.
Найдём медиану к стороне $b = 28$ см ($m_b$):
$m_b = \frac{1}{2}\sqrt{2 \cdot 17^2 + 2 \cdot 25^2 - 28^2} = \frac{1}{2}\sqrt{2 \cdot 289 + 2 \cdot 625 - 784}$
$m_b = \frac{1}{2}\sqrt{578 + 1250 - 784} = \frac{1}{2}\sqrt{1044} = \frac{1}{2}\sqrt{36 \cdot 29} = \frac{6\sqrt{29}}{2} = 3\sqrt{29}$ см.
Ответ: Медиана к стороне 28 см равна $3\sqrt{29}$ см.
Найдём медиану к стороне $c = 25$ см ($m_c$):
$m_c = \frac{1}{2}\sqrt{2 \cdot 17^2 + 2 \cdot 28^2 - 25^2} = \frac{1}{2}\sqrt{2 \cdot 289 + 2 \cdot 784 - 625}$
$m_c = \frac{1}{2}\sqrt{578 + 1568 - 625} = \frac{1}{2}\sqrt{1521} = \frac{39}{2} = 19,5$ см.
Ответ: Медиана к стороне 25 см равна $19,5$ см.
№1094 (с. 270)
Условие. №1094 (с. 270)
скриншот условия

1094 Докажите, что отрезок, соединяющий середины диагоналей трапеции, равен полуразности оснований.
Решение 2. №1094 (с. 270)

Решение 3. №1094 (с. 270)

Решение 4. №1094 (с. 270)

Решение 6. №1094 (с. 270)




Решение 7. №1094 (с. 270)

Решение 9. №1094 (с. 270)

Решение 11. №1094 (с. 270)
Пусть дана трапеция $ABCD$ с основаниями $AD$ и $BC$. Пусть $M$ — середина диагонали $AC$, а $N$ — середина диагонали $BD$. Необходимо доказать, что длина отрезка $MN$ равна полуразности оснований.
Доказательство:
Для доказательства воспользуемся свойством средней линии треугольника. Рассмотрим боковую сторону $AB$ и отметим на ней середину — точку $K$.
1. Рассмотрим треугольник $ABD$. Отрезок $KN$ соединяет середины сторон $AB$ и $BD$. Следовательно, $KN$ является средней линией этого треугольника. По свойству средней линии, она параллельна третьей стороне и равна ее половине:
$KN \parallel AD$ и $KN = \frac{1}{2}AD$.
2. Рассмотрим треугольник $ABC$. Отрезок $KM$ соединяет середины сторон $AB$ и $AC$. Следовательно, $KM$ является средней линией этого треугольника. По свойству средней линии:
$KM \parallel BC$ и $KM = \frac{1}{2}BC$.
3. Так как основания трапеции параллельны ($AD \parallel BC$), а отрезки $KN$ и $KM$ параллельны соответственно $AD$ и $BC$, то $KN \parallel KM$. Поскольку эти два параллельных отрезка имеют общую точку $K$, они лежат на одной прямой. Это означает, что точки $K$, $M$ и $N$ лежат на одной прямой (которая является средней линией трапеции).
4. Длину отрезка $MN$ можно найти как разность длин отрезков $KN$ и $KM$. Без ограничения общности, предположим, что $AD > BC$. Тогда $KN > KM$, и точка $M$ лежит между точками $K$ и $N$.
$MN = KN - KM$.
5. Подставим в это равенство выражения для длин $KN$ и $KM$, полученные в шагах 1 и 2:
$MN = \frac{1}{2}AD - \frac{1}{2}BC = \frac{AD - BC}{2}$.
Таким образом, мы доказали, что отрезок, соединяющий середины диагоналей трапеции, равен полуразности ее оснований. Что и требовалось доказать.
Ответ: Длина отрезка, соединяющего середины диагоналей трапеции, равна полуразности длин оснований: $\frac{AD - BC}{2}$ (где $AD$ — большее основание, $BC$ — меньшее).
№1095 (с. 270)
Условие. №1095 (с. 270)
скриншот условия

1095 Дан параллелограмм ABCD. Докажите, что для всех точек M величина (AM² + СМ²) − (ВМ² + DM²) имеет одно и то же значение.
Решение 2. №1095 (с. 270)

Решение 3. №1095 (с. 270)

Решение 4. №1095 (с. 270)

Решение 6. №1095 (с. 270)


Решение 7. №1095 (с. 270)

Решение 9. №1095 (с. 270)

Решение 11. №1095 (с. 270)
Для доказательства воспользуемся векторным методом. Пусть $O$ — точка пересечения диагоналей параллелограмма $ABCD$. Известно, что диагонали параллелограмма точкой пересечения делятся пополам. Следовательно, $O$ является серединой отрезков $AC$ и $BD$.
В векторной форме это означает, что для векторов, проведенных из точки $O$ к вершинам, выполняются следующие равенства:
$\vec{OA} + \vec{OC} = \vec{0}$ (1)
$\vec{OB} + \vec{OD} = \vec{0}$ (2)
Из этих равенств следует, что $\vec{OC} = -\vec{OA}$ и $\vec{OD} = -\vec{OB}$.
Пусть $M$ — произвольная точка. Выразим векторы из точки $M$ к вершинам параллелограмма через вектор $\vec{OM}$ и векторы из точки $O$ к вершинам:
$\vec{MA} = \vec{OA} - \vec{OM}$
$\vec{MC} = \vec{OC} - \vec{OM}$
$\vec{MB} = \vec{OB} - \vec{OM}$
$\vec{MD} = \vec{OD} - \vec{OM}$
Теперь найдем квадраты длин соответствующих отрезков. Квадрат длины вектора равен его скалярному квадрату.
$AM^2 = |\vec{MA}|^2 = (\vec{OA} - \vec{OM}) \cdot (\vec{OA} - \vec{OM}) = |\vec{OA}|^2 - 2(\vec{OA} \cdot \vec{OM}) + |\vec{OM}|^2 = OA^2 - 2(\vec{OA} \cdot \vec{OM}) + OM^2$.
$CM^2 = |\vec{MC}|^2 = (\vec{OC} - \vec{OM}) \cdot (\vec{OC} - \vec{OM}) = |\vec{OC}|^2 - 2(\vec{OC} \cdot \vec{OM}) + |\vec{OM}|^2 = OC^2 - 2(\vec{OC} \cdot \vec{OM}) + OM^2$.
Сложим эти два выражения:
$AM^2 + CM^2 = OA^2 + OC^2 + 2 \cdot OM^2 - 2(\vec{OA} + \vec{OC}) \cdot \vec{OM}$.
Используя равенство (1), получаем $\vec{OA} + \vec{OC} = \vec{0}$. Также, поскольку $O$ - середина $AC$, то $OA = OC$.
$AM^2 + CM^2 = OA^2 + OA^2 + 2 \cdot OM^2 - 2(\vec{0} \cdot \vec{OM}) = 2 \cdot OA^2 + 2 \cdot OM^2$.
Аналогично поступим для вершин $B$ и $D$:
$BM^2 = |\vec{MB}|^2 = OB^2 - 2(\vec{OB} \cdot \vec{OM}) + OM^2$.
$DM^2 = |\vec{MD}|^2 = OD^2 - 2(\vec{OD} \cdot \vec{OM}) + OM^2$.
Сложим эти два выражения:
$BM^2 + DM^2 = OB^2 + OD^2 + 2 \cdot OM^2 - 2(\vec{OB} + \vec{OD}) \cdot \vec{OM}$.
Используя равенство (2), получаем $\vec{OB} + \vec{OD} = \vec{0}$. Также, поскольку $O$ - середина $BD$, то $OB = OD$.
$BM^2 + DM^2 = OB^2 + OB^2 + 2 \cdot OM^2 - 2(\vec{0} \cdot \vec{OM}) = 2 \cdot OB^2 + 2 \cdot OM^2$.
Теперь найдем значение искомого выражения:
$(AM^2 + CM^2) - (BM^2 + DM^2) = (2 \cdot OA^2 + 2 \cdot OM^2) - (2 \cdot OB^2 + 2 \cdot OM^2) = 2 \cdot OA^2 + 2 \cdot OM^2 - 2 \cdot OB^2 - 2 \cdot OM^2 = 2(OA^2 - OB^2)$.
Величины $OA$ и $OB$ представляют собой половины длин диагоналей параллелограмма $AC$ и $BD$ соответственно. Для данного параллелограмма длины его диагоналей являются постоянными величинами. Следовательно, $OA^2$ и $OB^2$ также являются постоянными. Таким образом, разность $2(OA^2 - OB^2)$ является константой, не зависящей от выбора точки $M$. Что и требовалось доказать.
Эту константу можно выразить через длины диагоналей:
$2(OA^2 - OB^2) = 2\left(\left(\frac{AC}{2}\right)^2 - \left(\frac{BD}{2}\right)^2\right) = 2\left(\frac{AC^2}{4} - \frac{BD^2}{4}\right) = \frac{AC^2 - BD^2}{2}$.
Ответ: Величина $(AM^2 + CM^2) - (BM^2 + DM^2)$ не зависит от положения точки $M$ и равна постоянной величине $2(OA^2 - OB^2)$, которая также может быть выражена как $\frac{AC^2 - BD^2}{2}$, где $O$ - точка пересечения диагоналей, а $AC$ и $BD$ - диагонали параллелограмма.
№1096 (с. 270)
Условие. №1096 (с. 270)
скриншот условия

1096 Докажите, что медиану AA₁ треугольника ABC можно вычислить по формуле АА₁ = 122AC² + 2AB² - BC². Используя эту формулу, докажите, что если две медианы треугольника равны, то треугольник равнобедренный.
Решение 2. №1096 (с. 270)

Решение 3. №1096 (с. 270)

Решение 4. №1096 (с. 270)

Решение 6. №1096 (с. 270)



Решение 7. №1096 (с. 270)


Решение 9. №1096 (с. 270)


Решение 11. №1096 (с. 270)
Доказательство формулы $AA_1 = \frac{1}{2}\sqrt{2AC^2 + 2AB^2 - BC^2}$
Рассмотрим треугольник $ABC$, в котором $AA_1$ — медиана, проведенная к стороне $BC$. По определению медианы, точка $A_1$ является серединой стороны $BC$, следовательно, $BA_1 = A_1C = \frac{1}{2}BC$.
Для доказательства формулы достроим треугольник $ABC$ до параллелограмма $ABDC$. Для этого продлим медиану $AA_1$ за точку $A_1$ на отрезок $A_1D$, равный по длине $AA_1$. Таким образом, $AD = 2AA_1$.
В получившемся четырехугольнике $ABDC$ диагонали $AD$ и $BC$ пересекаются в точке $A_1$ и делятся этой точкой пополам ($BA_1 = A_1C$ по определению медианы, $AA_1 = A_1D$ по построению). Четырехугольник, диагонали которого точкой пересечения делятся пополам, является параллелограммом. Значит, $ABDC$ — параллелограмм.
Основное свойство параллелограмма гласит, что сумма квадратов его диагоналей равна сумме квадратов его сторон:
$AD^2 + BC^2 = AB^2 + BD^2 + DC^2 + CA^2$
Так как $ABDC$ — параллелограмм, его противолежащие стороны равны: $BD = AC$ и $DC = AB$. Подставим эти равенства, а также $AD = 2AA_1$, в формулу свойства параллелограмма:
$(2AA_1)^2 + BC^2 = AB^2 + AC^2 + AB^2 + AC^2$
Выполним преобразования:
$4AA_1^2 + BC^2 = 2AB^2 + 2AC^2$
Выразим из этого уравнения $AA_1^2$:
$4AA_1^2 = 2AB^2 + 2AC^2 - BC^2$
$AA_1^2 = \frac{2AB^2 + 2AC^2 - BC^2}{4}$
Извлекая квадратный корень, получаем искомую формулу для длины медианы:
$AA_1 = \sqrt{\frac{2AB^2 + 2AC^2 - BC^2}{4}} = \frac{1}{2}\sqrt{2AC^2 + 2AB^2 - BC^2}$
Первая часть утверждения доказана.
Ответ: Формула доказана.
Доказательство того, что если две медианы треугольника равны, то треугольник равнобедренный
Пусть в треугольнике $ABC$ две медианы равны. Для определенности, пусть это будут медианы $AA_1$, проведенная к стороне $BC$, и $BB_1$, проведенная к стороне $AC$. Таким образом, по условию $AA_1 = BB_1$.
Используем доказанную выше формулу для длины медианы. Для медианы $AA_1$ формула имеет вид:
$AA_1 = \frac{1}{2}\sqrt{2AC^2 + 2AB^2 - BC^2}$
Для медианы $BB_1$, проведенной к стороне $AC$, формула будет выглядеть аналогично (стороны, выходящие из вершины $B$ — это $BA$ и $BC$, а сторона, к которой проведена медиана — $AC$):
$BB_1 = \frac{1}{2}\sqrt{2BA^2 + 2BC^2 - AC^2}$
Так как по условию $AA_1 = BB_1$, мы можем приравнять правые части этих выражений:
$\frac{1}{2}\sqrt{2AC^2 + 2AB^2 - BC^2} = \frac{1}{2}\sqrt{2BA^2 + 2BC^2 - AC^2}$
Умножим обе части уравнения на 2, а затем возведем в квадрат, чтобы избавиться от знаков корня:
$2AC^2 + 2AB^2 - BC^2 = 2BA^2 + 2BC^2 - AC^2$
Учитывая, что $AB^2 = BA^2$, слагаемые $2AB^2$ и $2BA^2$ в обеих частях уравнения можно сократить:
$2AC^2 - BC^2 = 2BC^2 - AC^2$
Перенесем все члены с $AC^2$ в левую часть, а члены с $BC^2$ — в правую:
$2AC^2 + AC^2 = 2BC^2 + BC^2$
$3AC^2 = 3BC^2$
Разделим обе части на 3:
$AC^2 = BC^2$
Поскольку длины сторон треугольника являются положительными числами, из равенства их квадратов следует равенство самих сторон:
$AC = BC$
В треугольнике $ABC$ две стороны ($AC$ и $BC$) равны. Следовательно, по определению, треугольник $ABC$ является равнобедренным. Утверждение доказано.
Ответ: Утверждение о том, что если две медианы треугольника равны, то он является равнобедренным, доказано.
№1097 (с. 270)
Условие. №1097 (с. 270)
скриншот условия

1097 Даны две точки A и B. Найдите множество всех точек M, для каждой из которых:
а) 2АМ² − ВМ² = 2AB²;
б) 2АМ² + 2ВМ² = 6AB².
Решение 2. №1097 (с. 270)


Решение 3. №1097 (с. 270)

Решение 4. №1097 (с. 270)

Решение 6. №1097 (с. 270)


Решение 7. №1097 (с. 270)

Решение 9. №1097 (с. 270)


Решение 11. №1097 (с. 270)
Для решения задачи воспользуемся методом координат. Расположим точки A и B на оси Ox. Пусть точка A имеет координаты $A(0, 0)$, а точка B — $B(d, 0)$, где $d = AB > 0$. Пусть искомая точка M имеет координаты $M(x, y)$.
Тогда квадраты расстояний от точки M до точек A и B, а также между A и B, вычисляются по формулам:
$AM^2 = (x-0)^2 + (y-0)^2 = x^2 + y^2$
$BM^2 = (x-d)^2 + (y-0)^2 = x^2 - 2dx + d^2 + y^2$
$AB^2 = d^2$
а) $2AM^2 - BM^2 = 2AB^2$
Подставим выражения для квадратов расстояний в данное уравнение:
$2(x^2 + y^2) - (x^2 - 2dx + d^2 + y^2) = 2d^2$
Раскроем скобки и упростим выражение:
$2x^2 + 2y^2 - x^2 + 2dx - d^2 - y^2 = 2d^2$
$x^2 + 2dx + y^2 - d^2 = 2d^2$
$x^2 + 2dx + y^2 = 3d^2$
Чтобы определить геометрическое место точек, выделим полный квадрат для переменной $x$:
$(x^2 + 2dx + d^2) - d^2 + y^2 = 3d^2$
$(x + d)^2 + y^2 = 4d^2$
$(x - (-d))^2 + (y - 0)^2 = (2d)^2$
Это каноническое уравнение окружности с центром в точке $C(-d, 0)$ и радиусом $R = 2d = 2AB$. Точка $C(-d, 0)$ лежит на прямой AB, причём точка A является серединой отрезка CB.
Ответ: Окружность с центром в точке C, такой что A — середина отрезка CB, и радиусом, равным $2AB$.
б) $2AM^2 + 2BM^2 = 6AB^2$
Сначала разделим обе части уравнения на 2:
$AM^2 + BM^2 = 3AB^2$
Теперь подставим в это уравнение выражения для квадратов расстояний в координатах:
$(x^2 + y^2) + (x^2 - 2dx + d^2 + y^2) = 3d^2$
Упростим полученное выражение:
$2x^2 - 2dx + 2y^2 + d^2 = 3d^2$
$2x^2 - 2dx + 2y^2 = 2d^2$
Разделим обе части уравнения на 2:
$x^2 - dx + y^2 = d^2$
Выделим полный квадрат для переменной $x$:
$(x^2 - dx + \frac{d^2}{4}) - \frac{d^2}{4} + y^2 = d^2$
$(x - \frac{d}{2})^2 + y^2 = d^2 + \frac{d^2}{4}$
$(x - \frac{d}{2})^2 + y^2 = \frac{5d^2}{4}$
Это каноническое уравнение окружности. Центр окружности находится в точке $K(\frac{d}{2}, 0)$, что является серединой отрезка AB. Квадрат радиуса равен $R^2 = \frac{5d^2}{4}$, следовательно, радиус $R = \sqrt{\frac{5d^2}{4}} = \frac{d\sqrt{5}}{2} = \frac{AB\sqrt{5}}{2}$.
Ответ: Окружность с центром в середине отрезка AB и радиусом $R = \frac{AB\sqrt{5}}{2}$.
Помогло решение? Оставьте отзыв в комментариях ниже.