Страница 264 - гдз по геометрии 7-9 класс учебник Атанасян, Бутузов

Авторы: Атанасян Л. С., Бутузов В. Ф., Кадомцев С. Б., Позняк Э. Г., Юдина И. И.
Тип: Учебник
Издательство: Просвещение
Год издания: 2023 - 2025
Уровень обучения: базовый
Цвет обложки: синий
ISBN: 978-5-09-102538-5 (2023), 978-5-09-111167-5 (2024)
Допущено Министерством просвещения Российской Федерации
Популярные ГДЗ в 7 классе
Cтраница 264

№1047 (с. 264)
Условие. №1047 (с. 264)
скриншот условия

1047 Окружность задана уравнением (x + 5)² + (у − 1)² = 16. Не пользуясь чертежом, укажите, какие из точек А (−2; 4), В (−5; −3), С (−7; −2) и D (1; 5) лежат:
а) внутри круга, ограниченного данной окружностью;
б) на окружности;
в) вне круга, ограниченного данной окружностью.
Решение 2. №1047 (с. 264)



Решение 3. №1047 (с. 264)

Решение 4. №1047 (с. 264)

Решение 6. №1047 (с. 264)

Решение 7. №1047 (с. 264)

Решение 8. №1047 (с. 264)

Решение 9. №1047 (с. 264)

Решение 11. №1047 (с. 264)
Уравнение окружности с центром в точке $(x_0; y_0)$ и радиусом $R$ имеет вид $(x - x_0)^2 + (y - y_0)^2 = R^2$.
Данная окружность задана уравнением $(x + 5)^2 + (y - 1)^2 = 16$. Отсюда следует, что центр окружности находится в точке $O(-5; 1)$, а квадрат ее радиуса $R^2 = 16$.
Для определения положения точки $(x; y)$ относительно круга, ограниченного этой окружностью, необходимо подставить ее координаты в левую часть уравнения и сравнить результат с квадратом радиуса ($16$):
- Если $(x + 5)^2 + (y - 1)^2 < 16$, то точка лежит внутри круга.
- Если $(x + 5)^2 + (y - 1)^2 = 16$, то точка лежит на окружности.
- Если $(x + 5)^2 + (y - 1)^2 > 16$, то точка лежит вне круга.
Проверим каждую из заданных точек:
1. Точка A(-2; 4)
Подставляем координаты $x = -2$ и $y = 4$:
$(-2 + 5)^2 + (4 - 1)^2 = 3^2 + 3^2 = 9 + 9 = 18$.
Так как $18 > 16$, точка A лежит вне круга.
2. Точка B(-5; -3)
Подставляем координаты $x = -5$ и $y = -3$:
$(-5 + 5)^2 + (-3 - 1)^2 = 0^2 + (-4)^2 = 0 + 16 = 16$.
Так как $16 = 16$, точка B лежит на окружности.
3. Точка C(-7; -2)
Подставляем координаты $x = -7$ и $y = -2$:
$(-7 + 5)^2 + (-2 - 1)^2 = (-2)^2 + (-3)^2 = 4 + 9 = 13$.
Так как $13 < 16$, точка C лежит внутри круга.
4. Точка D(1; 5)
Подставляем координаты $x = 1$ и $y = 5$:
$(1 + 5)^2 + (5 - 1)^2 = 6^2 + 4^2 = 36 + 16 = 52$.
Так как $52 > 16$, точка D лежит вне круга.
а) внутри круга, ограниченного данной окружностью;
Внутри круга лежит точка, для которой результат подстановки ее координат в левую часть уравнения меньше 16. Это точка C(-7; -2).
Ответ: C(-7; -2).
б) на окружности;
На окружности лежит точка, для которой результат подстановки ее координат в левую часть уравнения равен 16. Это точка B(-5; -3).
Ответ: B(-5; -3).
в) вне круга, ограниченного данной окружностью.
Вне круга лежат точки, для которых результат подстановки их координат в левую часть уравнения больше 16. Это точки A(-2; 4) и D(1; 5).
Ответ: A(-2; 4) и D(1; 5).
№1048 (с. 264)
Условие. №1048 (с. 264)
скриншот условия

1048 Даны окружность х² + у² = 25 и две точки А (3; 4) и В (4; −3). Докажите, что AB — хорда данной окружности.
Решение 2. №1048 (с. 264)

Решение 3. №1048 (с. 264)

Решение 4. №1048 (с. 264)

Решение 6. №1048 (с. 264)

Решение 7. №1048 (с. 264)

Решение 9. №1048 (с. 264)

Решение 11. №1048 (с. 264)
Для того чтобы доказать, что отрезок AB является хордой данной окружности, необходимо показать, что его концы, точки A(3; 4) и B(4; -3), лежат на этой окружности. Точка принадлежит окружности, если её координаты удовлетворяют уравнению окружности.
Уравнение окружности дано в виде $x^2 + y^2 = 25$.
Проверка для точки A(3; 4)
Подставим координаты точки A ($x = 3$, $y = 4$) в уравнение окружности: $3^2 + 4^2 = 9 + 16 = 25$. Получаем верное равенство $25 = 25$. Следовательно, точка A лежит на окружности.
Проверка для точки B(4; -3)
Подставим координаты точки B ($x = 4$, $y = -3$) в уравнение окружности: $4^2 + (-3)^2 = 16 + 9 = 25$. Получаем верное равенство $25 = 25$. Следовательно, точка B также лежит на окружности.
Поскольку оба конца отрезка AB, точки A и B, лежат на окружности, по определению хорды отрезок AB является хордой этой окружности.
Ответ: Утверждение доказано. Так как координаты точек A и B удовлетворяют уравнению окружности $x^2 + y^2 = 25$, обе точки лежат на этой окружности, и, следовательно, отрезок AB является ее хордой.
№1049 (с. 264)
Условие. №1049 (с. 264)
скриншот условия

1049 На окружности, заданной уравнением х² + у² = 25, найдите точки: а) с абсциссой −4; б) с ординатой 3.
Решение 2. №1049 (с. 264)


Решение 3. №1049 (с. 264)

Решение 4. №1049 (с. 264)

Решение 6. №1049 (с. 264)

Решение 7. №1049 (с. 264)

Решение 9. №1049 (с. 264)

Решение 11. №1049 (с. 264)
Данное уравнение $x^2 + y^2 = 25$ описывает окружность с центром в начале координат $(0, 0)$ и радиусом $R = \sqrt{25} = 5$. Чтобы найти точки на этой окружности с заданными координатами, необходимо подставить известное значение в уравнение и решить его относительно неизвестной координаты.
а) с абсциссой -4
Абсцисса – это координата $x$. Подставим значение $x = -4$ в уравнение окружности, чтобы найти соответствующую ординату $y$.
$(-4)^2 + y^2 = 25$
$16 + y^2 = 25$
Теперь выразим $y^2$:
$y^2 = 25 - 16$
$y^2 = 9$
Из этого уравнения находим возможные значения $y$:
$y = \sqrt{9}$ или $y = -\sqrt{9}$
$y_1 = 3$, $y_2 = -3$
Таким образом, мы получили две точки на окружности с абсциссой -4.
Ответ: $(-4, 3)$ и $(-4, -3)$.
б) с ординатой 3
Ордината – это координата $y$. Подставим значение $y = 3$ в уравнение окружности, чтобы найти соответствующую абсциссу $x$.
$x^2 + 3^2 = 25$
$x^2 + 9 = 25$
Теперь выразим $x^2$:
$x^2 = 25 - 9$
$x^2 = 16$
Из этого уравнения находим возможные значения $x$:
$x = \sqrt{16}$ или $x = -\sqrt{16}$
$x_1 = 4$, $x_2 = -4$
Таким образом, мы получили две точки на окружности с ординатой 3.
Ответ: $(4, 3)$ и $(-4, 3)$.
№1050 (с. 264)
Условие. №1050 (с. 264)
скриншот условия

1050 На окружности, заданной уравнением (x − 3)² + (y − 5)² = 25, найдите точки: а) с абсциссой 3; б) с ординатой 5.
Решение 2. №1050 (с. 264)


Решение 3. №1050 (с. 264)

Решение 4. №1050 (с. 264)

Решение 6. №1050 (с. 264)

Решение 7. №1050 (с. 264)

Решение 9. №1050 (с. 264)

Решение 11. №1050 (с. 264)
Дано уравнение окружности $(x - 3)^2 + (y - 5)^2 = 25$. Это уравнение описывает окружность с центром в точке (3, 5) и радиусом $R = \sqrt{25} = 5$.
а) Найдем точки, у которых абсцисса (координата $x$) равна 3.
Подставим значение $x = 3$ в уравнение окружности:
$(3 - 3)^2 + (y - 5)^2 = 25$
$0^2 + (y - 5)^2 = 25$
$(y - 5)^2 = 25$
Извлекая квадратный корень из обеих частей, получаем:
$y - 5 = 5$ или $y - 5 = -5$
Решая эти два уравнения, находим значения $y$:
$y_1 = 5 + 5 = 10$
$y_2 = -5 + 5 = 0$
Следовательно, искомые точки имеют координаты (3, 10) и (3, 0).
Ответ: (3, 0) и (3, 10).
б) Найдем точки, у которых ордината (координата $y$) равна 5.
Подставим значение $y = 5$ в уравнение окружности:
$(x - 3)^2 + (5 - 5)^2 = 25$
$(x - 3)^2 + 0^2 = 25$
$(x - 3)^2 = 25$
Извлекая квадратный корень из обеих частей, получаем:
$x - 3 = 5$ или $x - 3 = -5$
Решая эти два уравнения, находим значения $x$:
$x_1 = 5 + 3 = 8$
$x_2 = -5 + 3 = -2$
Следовательно, искомые точки имеют координаты (8, 5) и (-2, 5).
Ответ: (-2, 5) и (8, 5).
№1051 (с. 264)
Условие. №1051 (с. 264)
скриншот условия

1051 Напишите уравнения окружностей с центром в начале координат и радиусами r₁ = 3, r₂ = 2, r₃ = 52.
Решение 2. №1051 (с. 264)

Решение 3. №1051 (с. 264)

Решение 4. №1051 (с. 264)

Решение 6. №1051 (с. 264)

Решение 7. №1051 (с. 264)

Решение 9. №1051 (с. 264)


Решение 11. №1051 (с. 264)
Общее каноническое уравнение окружности с центром в точке с координатами $(x_0, y_0)$ и радиусом $r$ имеет вид:
$(x - x_0)^2 + (y - y_0)^2 = r^2$
По условию задачи, центр всех окружностей находится в начале координат, что соответствует точке $O(0, 0)$. Таким образом, $x_0 = 0$ и $y_0 = 0$. Подставив эти значения в общее уравнение, мы получаем уравнение окружности с центром в начале координат:
$(x - 0)^2 + (y - 0)^2 = r^2$
$x^2 + y^2 = r^2$
Теперь, используя эту формулу, мы напишем уравнения для каждого из заданных радиусов.
$r_1 = 3$
Для окружности с радиусом $r_1 = 3$ подставляем это значение в уравнение $x^2 + y^2 = r^2$.
$x^2 + y^2 = 3^2$
Возводим радиус в квадрат и получаем искомое уравнение окружности:
$x^2 + y^2 = 9$
Ответ: $x^2 + y^2 = 9$.
$r_2 = \sqrt{2}$
Для окружности с радиусом $r_2 = \sqrt{2}$ подставляем это значение в уравнение $x^2 + y^2 = r^2$.
$x^2 + y^2 = (\sqrt{2})^2$
Возводим радиус в квадрат и получаем искомое уравнение окружности:
$x^2 + y^2 = 2$
Ответ: $x^2 + y^2 = 2$.
$r_3 = \frac{5}{2}$
Для окружности с радиусом $r_3 = \frac{5}{2}$ подставляем это значение в уравнение $x^2 + y^2 = r^2$.
$x^2 + y^2 = \left(\frac{5}{2}\right)^2$
Возводим радиус в квадрат, возводя в квадрат и числитель, и знаменатель дроби:
$x^2 + y^2 = \frac{25}{4}$
Ответ: $x^2 + y^2 = \frac{25}{4}$.
№1052 (с. 264)
Условие. №1052 (с. 264)
скриншот условия

1052 Напишите уравнение окружности радиуса r с центром А, если: а) А (0; 5), r = 3; б) А (−1; 2), r = 2; в) А (−3; −7), r = 12; г) А (4; −3), r = 10.
Решение 2. №1052 (с. 264)




Решение 3. №1052 (с. 264)

Решение 4. №1052 (с. 264)

Решение 6. №1052 (с. 264)

Решение 7. №1052 (с. 264)

Решение 8. №1052 (с. 264)

Решение 9. №1052 (с. 264)

Решение 11. №1052 (с. 264)
Общее уравнение окружности с центром в точке $A(a; b)$ и радиусом $r$ имеет вид:
$(x - a)^2 + (y - b)^2 = r^2$
Чтобы найти уравнение для каждого случая, мы подставляем заданные координаты центра $(a; b)$ и значение радиуса $r$ в эту формулу.
а) Дан центр окружности $A(0; 5)$ и радиус $r = 3$.
Здесь $a = 0$, $b = 5$, $r = 3$.
Подставляем эти значения в общую формулу:
$(x - 0)^2 + (y - 5)^2 = 3^2$
Упрощаем уравнение:
$x^2 + (y - 5)^2 = 9$
Ответ: $x^2 + (y - 5)^2 = 9$
б) Дан центр окружности $A(-1; 2)$ и радиус $r = 2$.
Здесь $a = -1$, $b = 2$, $r = 2$.
Подставляем эти значения в общую формулу:
$(x - (-1))^2 + (y - 2)^2 = 2^2$
Упрощаем уравнение:
$(x + 1)^2 + (y - 2)^2 = 4$
Ответ: $(x + 1)^2 + (y - 2)^2 = 4$
в) Дан центр окружности $A(-3; -7)$ и радиус $r = \frac{1}{2}$.
Здесь $a = -3$, $b = -7$, $r = \frac{1}{2}$.
Подставляем эти значения в общую формулу:
$(x - (-3))^2 + (y - (-7))^2 = (\frac{1}{2})^2$
Упрощаем уравнение:
$(x + 3)^2 + (y + 7)^2 = \frac{1}{4}$
Ответ: $(x + 3)^2 + (y + 7)^2 = \frac{1}{4}$
г) Дан центр окружности $A(4; -3)$ и радиус $r = 10$.
Здесь $a = 4$, $b = -3$, $r = 10$.
Подставляем эти значения в общую формулу:
$(x - 4)^2 + (y - (-3))^2 = 10^2$
Упрощаем уравнение:
$(x - 4)^2 + (y + 3)^2 = 100$
Ответ: $(x - 4)^2 + (y + 3)^2 = 100$
№1053 (с. 264)
Условие. №1053 (с. 264)
скриншот условия

1053 Напишите уравнение окружности с центром в начале координат, проходящей через точку В (−1; 3).
Решение 2. №1053 (с. 264)

Решение 3. №1053 (с. 264)

Решение 4. №1053 (с. 264)

Решение 6. №1053 (с. 264)

Решение 7. №1053 (с. 264)

Решение 9. №1053 (с. 264)

Решение 11. №1053 (с. 264)
Общее уравнение окружности с центром в точке с координатами $(x_0; y_0)$ и радиусом $R$ имеет вид: $$(x - x_0)^2 + (y - y_0)^2 = R^2$$
По условию задачи, центр окружности находится в начале координат, то есть в точке $O(0; 0)$. Следовательно, $x_0 = 0$ и $y_0 = 0$. Подставив эти значения в общее уравнение, получим уравнение для окружности с центром в начале координат: $$(x - 0)^2 + (y - 0)^2 = R^2$$ $$x^2 + y^2 = R^2$$
Чтобы найти итоговое уравнение, нам необходимо определить значение радиуса $R$. Радиус окружности — это расстояние от ее центра до любой точки на окружности. Мы знаем, что окружность проходит через точку $B(-1; 3)$. Это означает, что координаты этой точки должны удовлетворять уравнению окружности.
Подставим координаты точки $B(x = -1, y = 3)$ в уравнение $x^2 + y^2 = R^2$, чтобы найти квадрат радиуса $R^2$: $$R^2 = (-1)^2 + 3^2$$ $$R^2 = 1 + 9$$ $$R^2 = 10$$
Теперь, когда мы нашли значение $R^2$, мы можем записать окончательное уравнение окружности, подставив $R^2 = 10$ в выведенную ранее формулу: $$x^2 + y^2 = 10$$
Ответ: $x^2 + y^2 = 10$
№1054 (с. 264)
Условие. №1054 (с. 264)
скриншот условия

1054 Напишите уравнение окружности с центром в точке А (0; 6), проходящей через точку В (−3; 2).
Решение 2. №1054 (с. 264)

Решение 3. №1054 (с. 264)

Решение 4. №1054 (с. 264)

Решение 6. №1054 (с. 264)

Решение 7. №1054 (с. 264)

Решение 8. №1054 (с. 264)

Решение 9. №1054 (с. 264)

Решение 11. №1054 (с. 264)
Общее уравнение окружности с центром в точке $(x_0; y_0)$ и радиусом $r$ имеет вид: $(x - x_0)^2 + (y - y_0)^2 = r^2$.
По условию задачи, центр окружности находится в точке A(0; 6), значит, $x_0 = 0$ и $y_0 = 6$. Подставим координаты центра в общее уравнение окружности:
$(x - 0)^2 + (y - 6)^2 = r^2$
$x^2 + (y - 6)^2 = r^2$
Радиус окружности $r$ равен расстоянию от ее центра (точка A) до любой точки, лежащей на окружности (точка B). Найдем квадрат радиуса $r^2$ как квадрат расстояния между точками A(0; 6) и B(-3; 2).
Формула квадрата расстояния между двумя точками $(x_1; y_1)$ и $(x_2; y_2)$ выглядит так: $d^2 = (x_2 - x_1)^2 + (y_2 - y_1)^2$.
$r^2 = (-3 - 0)^2 + (2 - 6)^2 = (-3)^2 + (-4)^2 = 9 + 16 = 25$.
Теперь подставим найденное значение $r^2 = 25$ в уравнение окружности:
$x^2 + (y - 6)^2 = 25$.
Ответ: $x^2 + (y - 6)^2 = 25$
№1055 (с. 264)
Условие. №1055 (с. 264)
скриншот условия

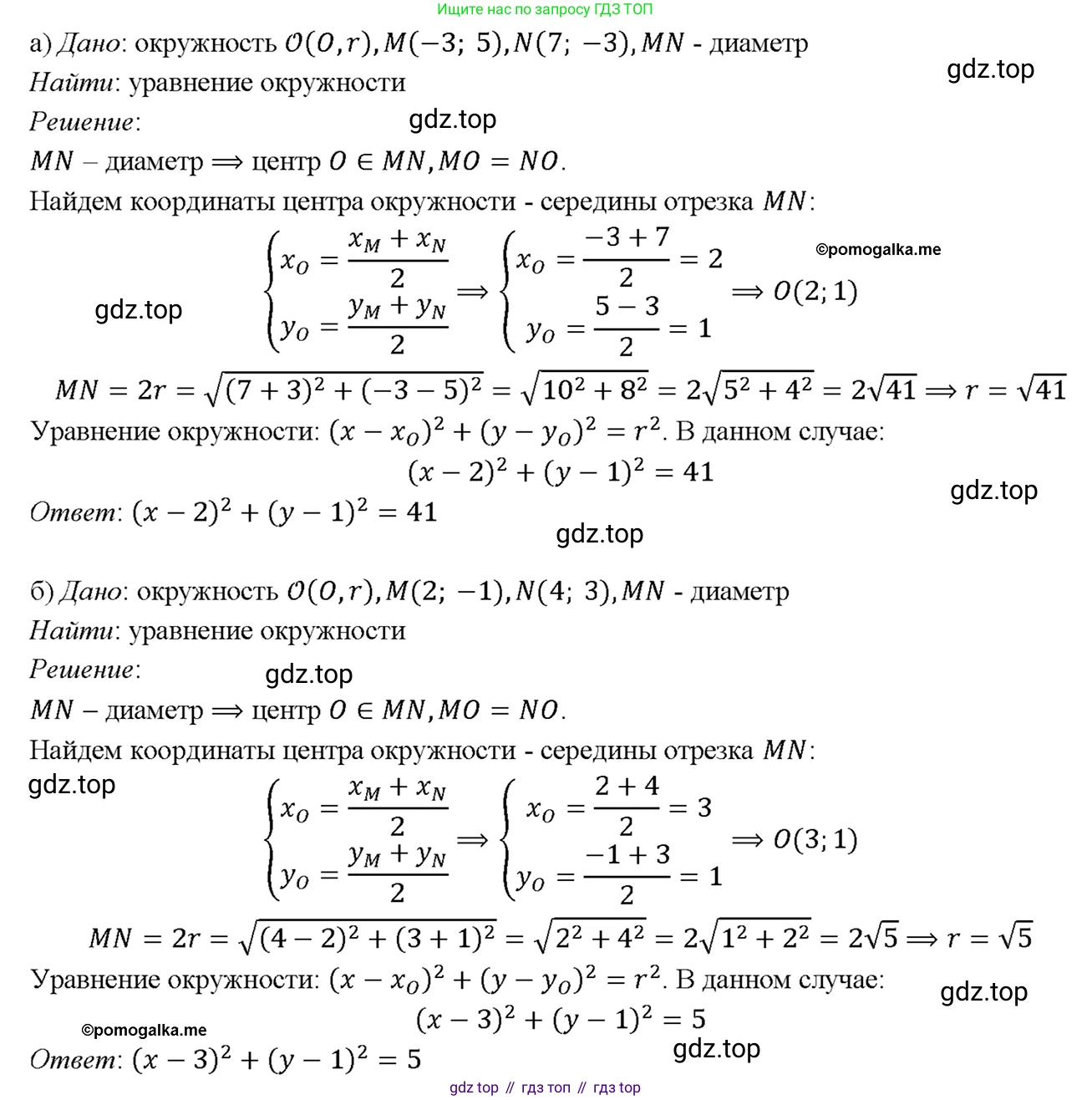
1055 Напишите уравнение окружности с диаметром MN, если: а) M (−3; 5), N (7; −3); б) M (2; −1), N (4; 3).
Решение 2. №1055 (с. 264)


Решение 3. №1055 (с. 264)

Решение 4. №1055 (с. 264)

Решение 6. №1055 (с. 264)

Решение 7. №1055 (с. 264)

Решение 8. №1055 (с. 264)

Решение 9. №1055 (с. 264)


Решение 11. №1055 (с. 264)
Для того чтобы написать уравнение окружности, необходимо найти координаты её центра $(x_0; y_0)$ и её радиус $R$. Общее уравнение окружности имеет вид: $(x - x_0)^2 + (y - y_0)^2 = R^2$.
Так как отрезок $MN$ является диаметром окружности, то её центр — это середина отрезка $MN$. Координаты центра $(x_0; y_0)$ можно найти по формулам:
$x_0 = \frac{x_M + x_N}{2}$, $y_0 = \frac{y_M + y_N}{2}$
Радиус $R$ равен половине длины диаметра, или, что то же самое, расстоянию от центра окружности до любой из точек на ней (например, до точки $M$). Квадрат радиуса $R^2$ вычисляется по формуле:
$R^2 = (x_M - x_0)^2 + (y_M - y_0)^2$
а) $M(-3; 5)$, $N(7; -3)$
1. Находим координаты центра окружности $O(x_0; y_0)$:
$x_0 = \frac{-3 + 7}{2} = \frac{4}{2} = 2$
$y_0 = \frac{5 + (-3)}{2} = \frac{2}{2} = 1$
Таким образом, центр окружности — точка $O(2; 1)$.
2. Находим квадрат радиуса $R^2$ как квадрат расстояния от центра $O(2; 1)$ до точки $M(-3; 5)$:
$R^2 = (-3 - 2)^2 + (5 - 1)^2 = (-5)^2 + 4^2 = 25 + 16 = 41$.
3. Подставляем координаты центра и квадрат радиуса в общее уравнение окружности:
$(x - 2)^2 + (y - 1)^2 = 41$.
Ответ: $(x - 2)^2 + (y - 1)^2 = 41$
б) $M(2; -1)$, $N(4; 3)$
1. Находим координаты центра окружности $O(x_0; y_0)$:
$x_0 = \frac{2 + 4}{2} = \frac{6}{2} = 3$
$y_0 = \frac{-1 + 3}{2} = \frac{2}{2} = 1$
Таким образом, центр окружности — точка $O(3; 1)$.
2. Находим квадрат радиуса $R^2$ как квадрат расстояния от центра $O(3; 1)$ до точки $M(2; -1)$:
$R^2 = (2 - 3)^2 + (-1 - 1)^2 = (-1)^2 + (-2)^2 = 1 + 4 = 5$.
3. Подставляем найденные значения в уравнение окружности:
$(x - 3)^2 + (y - 1)^2 = 5$.
Ответ: $(x - 3)^2 + (y - 1)^2 = 5$
№1056 (с. 264)
Условие. №1056 (с. 264)
скриншот условия

1056 Напишите уравнение окружности, проходящей через точку А (1; 3), если известно, что центр окружности лежит на оси абсцисс, а радиус равен 5. Сколько существует таких окружностей?
Решение 2. №1056 (с. 264)

Решение 3. №1056 (с. 264)

Решение 4. №1056 (с. 264)

Решение 6. №1056 (с. 264)


Решение 7. №1056 (с. 264)

Решение 9. №1056 (с. 264)

Решение 11. №1056 (с. 264)
Общее уравнение окружности с центром в точке с координатами $(a; b)$ и радиусом $R$ записывается в виде:
$(x - a)^2 + (y - b)^2 = R^2$
По условию задачи, радиус окружности равен 5, то есть $R = 5$.
Центр окружности лежит на оси абсцисс (оси $Ox$), это значит, что его вторая координата (ордината) равна нулю: $b = 0$. Таким образом, центр окружности имеет координаты $C(a; 0)$.
Подставим известные значения $R=5$ и $b=0$ в общее уравнение окружности:
$(x - a)^2 + (y - 0)^2 = 5^2$
$(x - a)^2 + y^2 = 25$
Также известно, что окружность проходит через точку $A(1; 3)$. Это означает, что координаты этой точки удовлетворяют уравнению окружности. Подставим $x=1$ и $y=3$ в полученное уравнение, чтобы найти координату $a$:
$(1 - a)^2 + 3^2 = 25$
Раскроем скобки и решим уравнение относительно $a$:
$(1 - a)^2 + 9 = 25$
$(1 - a)^2 = 25 - 9$
$(1 - a)^2 = 16$
Из этого квадратного уравнения следует два возможных случая:
1) $1 - a = 4$
$a = 1 - 4 = -3$
2) $1 - a = -4$
$a = 1 - (-4) = 1 + 4 = 5$
Мы нашли два возможных значения для абсциссы центра, следовательно, существуют две окружности, удовлетворяющие условиям задачи.
Первая окружность имеет центр в точке $C_1(-3; 0)$ и ее уравнение:
$(x - (-3))^2 + y^2 = 25 \implies (x + 3)^2 + y^2 = 25$
Вторая окружность имеет центр в точке $C_2(5; 0)$ и ее уравнение:
$(x - 5)^2 + y^2 = 25$
Ответ: Существует две таких окружности, их уравнения: $(x + 3)^2 + y^2 = 25$ и $(x - 5)^2 + y^2 = 25$.
№1057 (с. 264)
Условие. №1057 (с. 264)
скриншот условия

1057 Напишите уравнение окружности, проходящей через точки А (−3; 0) и В (0; 9), если известно, что центр окружности лежит на оси ординат.
Решение 2. №1057 (с. 264)

Решение 3. №1057 (с. 264)

Решение 4. №1057 (с. 264)

Решение 6. №1057 (с. 264)

Решение 7. №1057 (с. 264)

Решение 8. №1057 (с. 264)

Решение 9. №1057 (с. 264)

Решение 11. №1057 (с. 264)
Общее уравнение окружности с центром в точке $(a; b)$ и радиусом $R$ имеет вид:
$(x - a)^2 + (y - b)^2 = R^2$
По условию задачи, центр окружности лежит на оси ординат. Это означает, что абсцисса центра равна нулю, то есть $a = 0$. Пусть координаты центра будут $C(0; b)$.
Тогда уравнение окружности принимает вид:
$(x - 0)^2 + (y - b)^2 = R^2$
$x^2 + (y - b)^2 = R^2$
Окружность проходит через точки $A(-3; 0)$ и $B(0; 9)$. Следовательно, координаты этих точек должны удовлетворять уравнению окружности. Это означает, что расстояния от центра $C(0; b)$ до точек $A$ и $B$ равны радиусу $R$.
$CA^2 = (-3 - 0)^2 + (0 - b)^2 = 9 + b^2 = R^2$
$CB^2 = (0 - 0)^2 + (9 - b)^2 = (9 - b)^2 = R^2$
Так как оба выражения равны $R^2$, мы можем их приравнять, чтобы найти координату $b$:
$9 + b^2 = (9 - b)^2$
Раскроем скобки в правой части уравнения:
$9 + b^2 = 81 - 18b + b^2$
Вычтем $b^2$ из обеих частей уравнения:
$9 = 81 - 18b$
Перенесем слагаемые, чтобы найти $b$:
$18b = 81 - 9$
$18b = 72$
$b = \frac{72}{18}$
$b = 4$
Таким образом, центр окружности находится в точке $C(0; 4)$.
Теперь найдем квадрат радиуса $R^2$, подставив значение $b = 4$ в любое из полученных ранее выражений для $R^2$:
$R^2 = 9 + b^2 = 9 + 4^2 = 9 + 16 = 25$
Мы нашли все параметры окружности: центр $C(0; 4)$ и квадрат радиуса $R^2 = 25$. Подставим их в уравнение окружности:
$x^2 + (y - 4)^2 = 25$
Ответ: $x^2 + (y - 4)^2 = 25$
№1058 (с. 264)
Условие. №1058 (с. 264)
скриншот условия


1058 Напишите уравнение прямой, проходящей через две данные точки: а) А (1; −1) и В (−3; 2); б) С (2; 5) и D (5; 2); в) M (0; 1) и N (−4; −5).
Решение
а) Уравнение прямой AB имеет вид ах + by + с = 0. Так как точки A и B лежат на прямой AB, то их координаты удовлетворяют этому уравнению:
а ⋅ 1 + b ⋅ (−1) + с = 0, а ⋅ (−3) + b ⋅ 2 + с = 0, или а − b + с = 0, −3а + 2b + с = 0.
Из этих уравнений выразим коэффициенты a и b через с: а = 3с, b = 4с. Подставив эти значения в уравнение прямой, получим 3cx + 4су + с = 0. При любом с ≠ 0 это уравнение является уравнением прямой AB. Сократив на с, запишем искомое уравнение в виде 3x + 4у + 1 = 0.
Решение 2. №1058 (с. 264)


Решение 3. №1058 (с. 264)

Решение 4. №1058 (с. 264)

Решение 6. №1058 (с. 264)


Решение 7. №1058 (с. 264)

Решение 8. №1058 (с. 264)

Решение 9. №1058 (с. 264)

Решение 11. №1058 (с. 264)
а) Найдем уравнение прямой, проходящей через точки $A(1; -1)$ и $B(-3; 2)$.
Общее уравнение прямой имеет вид $ax + by + c = 0$. Так как точки $A$ и $B$ лежат на этой прямой, их координаты должны удовлетворять этому уравнению.
Подставим координаты точки $A(1; -1)$:
$a \cdot 1 + b \cdot (-1) + c = 0$, или $a - b + c = 0$.
Подставим координаты точки $B(-3; 2)$:
$a \cdot (-3) + b \cdot 2 + c = 0$, или $-3a + 2b + c = 0$.
Получим систему из двух уравнений с тремя неизвестными:
$\begin{cases} a - b + c = 0 \\ -3a + 2b + c = 0 \end{cases}$
Из первого уравнения выразим $a$ через $b$ и $c$: $a = b - c$.
Подставим это выражение во второе уравнение:
$-3(b - c) + 2b + c = 0$
$-3b + 3c + 2b + c = 0$
$-b + 4c = 0$, откуда $b = 4c$.
Теперь найдем $a$, подставив $b = 4c$ в выражение $a = b - c$:
$a = 4c - c = 3c$.
Подставим найденные коэффициенты $a = 3c$ и $b = 4c$ в общее уравнение прямой:
$(3c)x + (4c)y + c = 0$
Если предположить $c \neq 0$, можно сократить уравнение на $c$ (если $c = 0$, то $a = 0$ и $b = 0$, что не определяет прямую).
$3x + 4y + 1 = 0$
Ответ: $3x + 4y + 1 = 0$.
б) Найдем уравнение прямой, проходящей через точки $C(2; 5)$ и $D(5; 2)$.
Общее уравнение прямой имеет вид $ax + by + c = 0$.
Подставляем координаты точек $C$ и $D$ в уравнение:
Для точки $C(2; 5)$: $a \cdot 2 + b \cdot 5 + c = 0 \implies 2a + 5b + c = 0$.
Для точки $D(5; 2)$: $a \cdot 5 + b \cdot 2 + c = 0 \implies 5a + 2b + c = 0$.
Получаем систему уравнений:
$\begin{cases} 2a + 5b + c = 0 \\ 5a + 2b + c = 0 \end{cases}$
Вычтем первое уравнение из второго:
$(5a + 2b + c) - (2a + 5b + c) = 0$
$3a - 3b = 0$, откуда $a = b$.
Подставим $a = b$ в первое уравнение системы:
$2b + 5b + c = 0$
$7b + c = 0$, откуда $c = -7b$.
Подставим $a=b$ и $c=-7b$ в общее уравнение прямой:
$(b)x + (b)y + (-7b) = 0$
Предполагая, что $b \neq 0$ (иначе $a=0$ и $c=0$, что невозможно), сократим уравнение на $b$:
$x + y - 7 = 0$
Ответ: $x + y - 7 = 0$.
в) Найдем уравнение прямой, проходящей через точки $M(0; 1)$ и $N(-4; -5)$.
Общее уравнение прямой имеет вид $ax + by + c = 0$.
Подставляем координаты точек $M$ и $N$ в уравнение:
Для точки $M(0; 1)$: $a \cdot 0 + b \cdot 1 + c = 0 \implies b + c = 0 \implies b = -c$.
Для точки $N(-4; -5)$: $a \cdot (-4) + b \cdot (-5) + c = 0 \implies -4a - 5b + c = 0$.
Подставим $b = -c$ во второе уравнение:
$-4a - 5(-c) + c = 0$
$-4a + 5c + c = 0$
$-4a + 6c = 0$, откуда $4a = 6c$, или $a = \frac{6}{4}c = \frac{3}{2}c$.
Подставим $a = \frac{3}{2}c$ и $b = -c$ в общее уравнение прямой:
$(\frac{3}{2}c)x + (-c)y + c = 0$
Предполагая, что $c \neq 0$ (иначе $a=0$ и $b=0$, что невозможно), сократим уравнение на $c$:
$\frac{3}{2}x - y + 1 = 0$
Чтобы избавиться от дроби в коэффициентах, умножим все уравнение на 2:
$2 \cdot (\frac{3}{2}x - y + 1) = 2 \cdot 0$
$3x - 2y + 2 = 0$
Ответ: $3x - 2y + 2 = 0$.
Помогло решение? Оставьте отзыв в комментариях ниже.