Страница 275 - гдз по геометрии 7-9 класс учебник Атанасян, Бутузов

Авторы: Атанасян Л. С., Бутузов В. Ф., Кадомцев С. Б., Позняк Э. Г., Юдина И. И.
Тип: Учебник
Издательство: Просвещение
Год издания: 2023 - 2025
Уровень обучения: базовый
Цвет обложки: синий
ISBN: 978-5-09-102538-5 (2023), 978-5-09-111167-5 (2024)
Допущено Министерством просвещения Российской Федерации
Популярные ГДЗ в 7 классе
Cтраница 275

№1098 (с. 275)
Условие. №1098 (с. 275)
скриншот условия

1098 Ответьте на вопросы: а) Может ли абсцисса точки единичной полуокружности иметь значения 0,3; 13; −13; 123; −2,8? б) Может ли ордината точки единичной полуокружности иметь значения 0,6; 17; −0,3; 7; 1,002? Ответы обоснуйте.
Решение 2. №1098 (с. 275)


Решение 3. №1098 (с. 275)

Решение 4. №1098 (с. 275)

Решение 6. №1098 (с. 275)

Решение 7. №1098 (с. 275)

Решение 9. №1098 (с. 275)

Решение 11. №1098 (с. 275)
а) Единичная полуокружность является частью единичной окружности, центр которой находится в начале координат, а радиус равен 1. Уравнение единичной окружности: $x^2 + y^2 = 1$. Абсцисса (координата $x$) любой точки на единичной окружности, а следовательно и на любой ее части (включая полуокружность), должна находиться в пределах от -1 до 1 включительно. То есть, должно выполняться неравенство $-1 \le x \le 1$.
Проверим каждое из предложенных значений:
• $0,3$: это значение принадлежит отрезку $[-1, 1]$, так как $-1 \le 0,3 \le 1$. Следовательно, абсцисса может иметь такое значение.
• $\frac{1}{3}$: это значение принадлежит отрезку $[-1, 1]$, так как $-1 \le \frac{1}{3} \le 1$. Следовательно, абсцисса может иметь такое значение.
• $-\frac{1}{3}$: это значение принадлежит отрезку $[-1, 1]$, так как $-1 \le -\frac{1}{3} \le 1$. Следовательно, абсцисса может иметь такое значение.
• $1\frac{2}{3}$: это значение равно $\frac{5}{3} \approx 1,67$. Так как $\frac{5}{3} > 1$, оно не принадлежит отрезку $[-1, 1]$. Следовательно, абсцисса не может иметь такое значение.
• $-2,8$: это значение не принадлежит отрезку $[-1, 1]$, так как $-2,8 < -1$. Следовательно, абсцисса не может иметь такое значение.
Ответ: Абсцисса точки единичной полуокружности может иметь значения $0,3; \frac{1}{3}; -\frac{1}{3}$, но не может иметь значения $1\frac{2}{3}$ и $-2,8$.
б) Под единичной полуокружностью, как правило, понимают ее верхнюю часть, расположенную над осью абсцисс. Для точек этой полуокружности ордината (координата $y$) является неотрицательной. Так как точки лежат на единичной окружности, для ординаты должно выполняться условие $0 \le y \le 1$.
Проверим каждое из предложенных значений:
• $0,6$: это значение принадлежит отрезку $[0, 1]$, так как $0 \le 0,6 \le 1$. Следовательно, ордината может иметь такое значение.
• $\frac{1}{7}$: это значение принадлежит отрезку $[0, 1]$, так как $0 \le \frac{1}{7} \le 1$. Следовательно, ордината может иметь такое значение.
• $-0,3$: это значение является отрицательным, $-0,3 < 0$. Оно не принадлежит отрезку $[0, 1]$. Следовательно, ордината точки на (верхней) единичной полуокружности не может иметь такое значение.
• $7$: это значение больше $1$, оно не принадлежит отрезку $[0, 1]$. Следовательно, ордината не может иметь такое значение.
• $1,002$: это значение больше $1$, оно не принадлежит отрезку $[0, 1]$. Следовательно, ордината не может иметь такое значение.
Ответ: Ордината точки единичной полуокружности может иметь значения $0,6; \frac{1}{7}$, но не может иметь значения $-0,3; 7; 1,002$.
№1099 (с. 275)
Условие. №1099 (с. 275)
скриншот условия

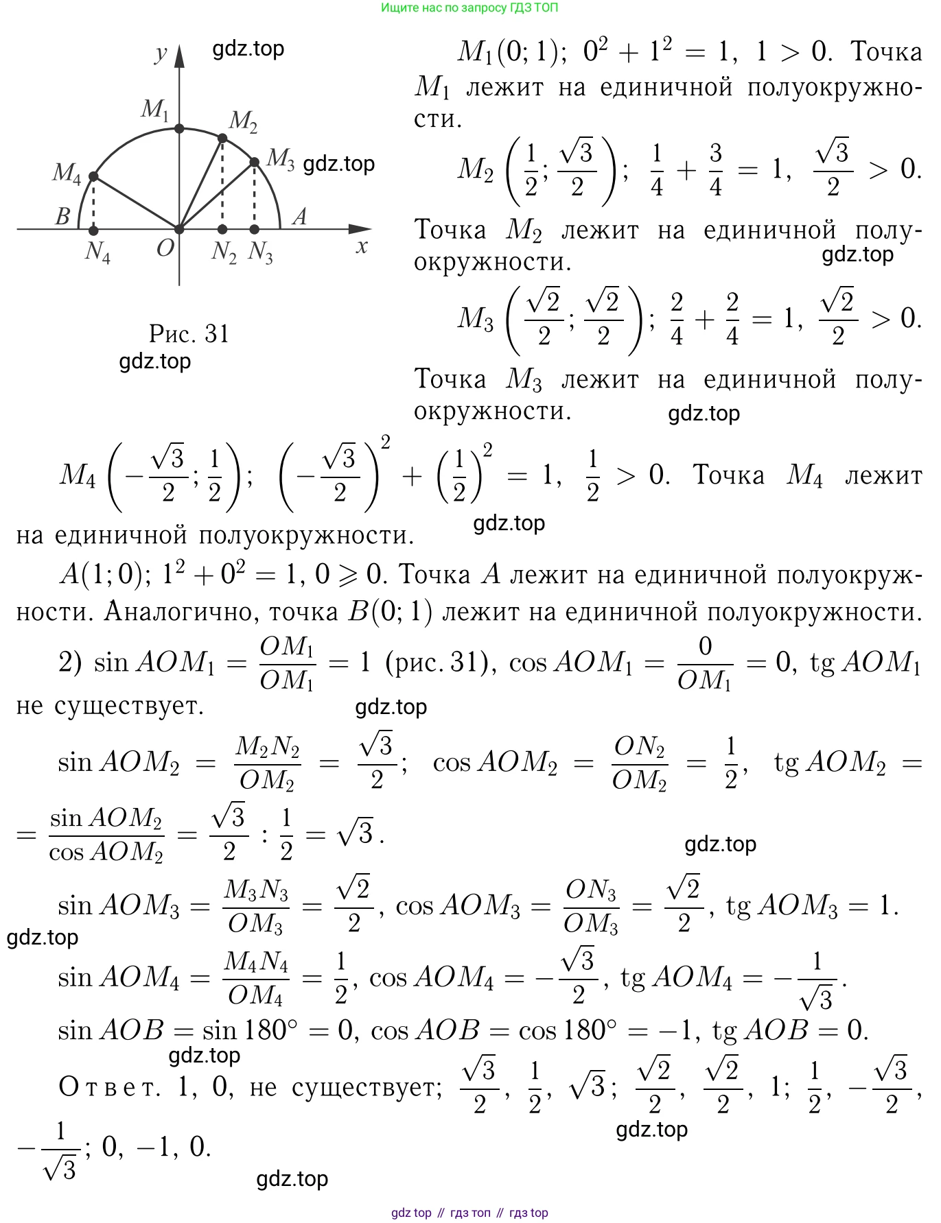
1099 Проверьте, что точки М₁ (0; 1), M₂12; 32, M₃22; 22, M₄-32; 12, A (1; 0), B (−1; 0) лежат на единичной полуокружности. Выпишите значения синуса, косинуса и тангенса углов АOM₁, АOM₂, АOM₃, АOM₄, AOB.
Решение 2. №1099 (с. 275)

Решение 3. №1099 (с. 275)

Решение 4. №1099 (с. 275)

Решение 6. №1099 (с. 275)


Решение 7. №1099 (с. 275)

Решение 8. №1099 (с. 275)


Решение 9. №1099 (с. 275)


Решение 11. №1099 (с. 275)
Проверка принадлежности точек единичной полуокружности.
Уравнение единичной окружности с центром в начале координат $(0; 0)$ имеет вид: $x^2 + y^2 = 1$. Единичная полуокружность — это часть окружности, для которой ордината (координата y) неотрицательна, то есть $y \ge 0$. Проверим каждую точку, подставив её координаты $(x; y)$ в уравнение окружности.
- Для точки $M_1(0; 1)$: $x^2 + y^2 = 0^2 + 1^2 = 0 + 1 = 1$. Равенство выполняется, $y = 1 \ge 0$.
- Для точки $M_2(\frac{1}{2}; \frac{\sqrt{3}}{2})$: $x^2 + y^2 = (\frac{1}{2})^2 + (\frac{\sqrt{3}}{2})^2 = \frac{1}{4} + \frac{3}{4} = \frac{4}{4} = 1$. Равенство выполняется, $y = \frac{\sqrt{3}}{2} \ge 0$.
- Для точки $M_3(\frac{\sqrt{2}}{2}; \frac{\sqrt{2}}{2})$: $x^2 + y^2 = (\frac{\sqrt{2}}{2})^2 + (\frac{\sqrt{2}}{2})^2 = \frac{2}{4} + \frac{2}{4} = \frac{4}{4} = 1$. Равенство выполняется, $y = \frac{\sqrt{2}}{2} \ge 0$.
- Для точки $M_4(-\frac{\sqrt{3}}{2}; \frac{1}{2})$: $x^2 + y^2 = (-\frac{\sqrt{3}}{2})^2 + (\frac{1}{2})^2 = \frac{3}{4} + \frac{1}{4} = \frac{4}{4} = 1$. Равенство выполняется, $y = \frac{1}{2} \ge 0$.
- Для точки $A(1; 0)$: $x^2 + y^2 = 1^2 + 0^2 = 1 + 0 = 1$. Равенство выполняется, $y = 0 \ge 0$.
- Для точки $B(-1; 0)$: $x^2 + y^2 = (-1)^2 + 0^2 = 1 + 0 = 1$. Равенство выполняется, $y = 0 \ge 0$.
Все указанные точки удовлетворяют уравнению $x^2 + y^2 = 1$ и имеют неотрицательную ординату, следовательно, они лежат на единичной полуокружности.
Вычисление значений синуса, косинуса и тангенса углов.
Для любой точки $P(x; y)$ на единичной окружности, которая образует угол $\alpha$ с положительным направлением оси Ox (лучом OA, где O - начало координат), справедливы следующие соотношения: $\cos \alpha = x$, $\sin \alpha = y$ и $\tan \alpha = \frac{y}{x}$ (при $x \neq 0$).
AOM?
Точка $M_1$ имеет координаты $(0; 1)$. Следовательно:
$\cos(\angle AOM_1) = 0$
$\sin(\angle AOM_1) = 1$
$\tan(\angle AOM_1) = \frac{1}{0}$, тангенс не определен.
Ответ: $\cos(\angle AOM_1) = 0$, $\sin(\angle AOM_1) = 1$, тангенс не определен.
AOM?
Точка $M_2$ имеет координаты $(\frac{1}{2}; \frac{\sqrt{3}}{2})$. Следовательно:
$\cos(\angle AOM_2) = \frac{1}{2}$
$\sin(\angle AOM_2) = \frac{\sqrt{3}}{2}$
$\tan(\angle AOM_2) = \frac{\frac{\sqrt{3}}{2}}{\frac{1}{2}} = \sqrt{3}$.
Ответ: $\cos(\angle AOM_2) = \frac{1}{2}$, $\sin(\angle AOM_2) = \frac{\sqrt{3}}{2}$, $\tan(\angle AOM_2) = \sqrt{3}$.
AOM?
Точка $M_3$ имеет координаты $(\frac{\sqrt{2}}{2}; \frac{\sqrt{2}}{2})$. Следовательно:
$\cos(\angle AOM_3) = \frac{\sqrt{2}}{2}$
$\sin(\angle AOM_3) = \frac{\sqrt{2}}{2}$
$\tan(\angle AOM_3) = \frac{\frac{\sqrt{2}}{2}}{\frac{\sqrt{2}}{2}} = 1$.
Ответ: $\cos(\angle AOM_3) = \frac{\sqrt{2}}{2}$, $\sin(\angle AOM_3) = \frac{\sqrt{2}}{2}$, $\tan(\angle AOM_3) = 1$.
AOM?
Точка $M_4$ имеет координаты $(-\frac{\sqrt{3}}{2}; \frac{1}{2})$. Следовательно:
$\cos(\angle AOM_4) = -\frac{\sqrt{3}}{2}$
$\sin(\angle AOM_4) = \frac{1}{2}$
$\tan(\angle AOM_4) = \frac{\frac{1}{2}}{-\frac{\sqrt{3}}{2}} = -\frac{1}{\sqrt{3}} = -\frac{\sqrt{3}}{3}$.
Ответ: $\cos(\angle AOM_4) = -\frac{\sqrt{3}}{2}$, $\sin(\angle AOM_4) = \frac{1}{2}$, $\tan(\angle AOM_4) = -\frac{\sqrt{3}}{3}$.
AOB
Точка $B$ имеет координаты $(-1; 0)$. Следовательно:
$\cos(\angle AOB) = -1$
$\sin(\angle AOB) = 0$
$\tan(\angle AOB) = \frac{0}{-1} = 0$.
Ответ: $\cos(\angle AOB) = -1$, $\sin(\angle AOB) = 0$, $\tan(\angle AOB) = 0$.
№1100 (с. 275)
Условие. №1100 (с. 275)
скриншот условия

1100 Найдите sin α, если:
а) cos α = 12; б) cos α= −23; в) cos α = −1.
Решение 2. №1100 (с. 275)



Решение 3. №1100 (с. 275)

Решение 4. №1100 (с. 275)

Решение 6. №1100 (с. 275)


Решение 7. №1100 (с. 275)

Решение 8. №1100 (с. 275)

Решение 9. №1100 (с. 275)

Решение 11. №1100 (с. 275)
Для нахождения значения $sin\,\alpha$, зная $cos\,\alpha$, воспользуемся основным тригонометрическим тождеством: $sin^2\alpha + cos^2\alpha = 1$. Из этого тождества следует, что $sin^2\alpha = 1 - cos^2\alpha$, а значит $sin\,\alpha = \pm\sqrt{1 - cos^2\alpha}$.
а) Дано, что $cos\,\alpha = \frac{1}{2}$.
Подставим это значение в формулу:
$sin^2\alpha = 1 - (\frac{1}{2})^2 = 1 - \frac{1}{4} = \frac{3}{4}$.
Теперь извлечем квадратный корень, чтобы найти $sin\,\alpha$:
$sin\,\alpha = \pm\sqrt{\frac{3}{4}} = \pm\frac{\sqrt{3}}{2}$.
Поскольку в условии не указана четверть, в которой находится угол $\alpha$, возможны два значения для синуса.
Ответ: $\pm\frac{\sqrt{3}}{2}$.
б) Дано, что $cos\,\alpha = -\frac{2}{3}$.
Подставим это значение в формулу:
$sin^2\alpha = 1 - (-\frac{2}{3})^2 = 1 - \frac{4}{9} = \frac{5}{9}$.
Теперь извлечем квадратный корень:
$sin\,\alpha = \pm\sqrt{\frac{5}{9}} = \pm\frac{\sqrt{5}}{3}$.
Так как четверть угла $\alpha$ не задана, синус может быть как положительным, так и отрицательным.
Ответ: $\pm\frac{\sqrt{5}}{3}$.
в) Дано, что $cos\,\alpha = -1$.
Подставим это значение в формулу:
$sin^2\alpha = 1 - (-1)^2 = 1 - 1 = 0$.
Извлекая квадратный корень из нуля, получаем единственное значение:
$sin\,\alpha = 0$.
Ответ: 0.
№1101 (с. 275)
Условие. №1101 (с. 275)
скриншот условия

1101 Найдите cos α, если:
a) sin α = 32; б) sin α = 14; в) sin α = 0.
Решение 2. №1101 (с. 275)



Решение 3. №1101 (с. 275)

Решение 4. №1101 (с. 275)

Решение 6. №1101 (с. 275)

Решение 7. №1101 (с. 275)

Решение 9. №1101 (с. 275)

Решение 11. №1101 (с. 275)
Для нахождения значения $ \cos \alpha $, зная значение $ \sin \alpha $, мы будем использовать основное тригонометрическое тождество: $ \sin^2 \alpha + \cos^2 \alpha = 1 $.
Из этого тождества можно выразить $ \cos^2 \alpha $: $ \cos^2 \alpha = 1 - \sin^2 \alpha $.
Следовательно, $ \cos \alpha $ равен: $ \cos \alpha = \pm\sqrt{1 - \sin^2 \alpha} $.
Поскольку в условии задачи не указано, в какой координатной четверти находится угол $ \alpha $, косинус может быть как положительным, так и отрицательным. Поэтому в ответах мы будем указывать оба возможных значения.
а) Если $ \sin \alpha = \frac{\sqrt{3}}{2} $, то $ \cos^2 \alpha = 1 - \left(\frac{\sqrt{3}}{2}\right)^2 = 1 - \frac{3}{4} = \frac{4}{4} - \frac{3}{4} = \frac{1}{4} $.
Извлекая квадратный корень, получаем: $ \cos \alpha = \pm\sqrt{\frac{1}{4}} = \pm\frac{1}{2} $.
Ответ: $ \pm\frac{1}{2} $.
б) Если $ \sin \alpha = \frac{1}{4} $, то $ \cos^2 \alpha = 1 - \left(\frac{1}{4}\right)^2 = 1 - \frac{1}{16} = \frac{16}{16} - \frac{1}{16} = \frac{15}{16} $.
Извлекая квадратный корень, получаем: $ \cos \alpha = \pm\sqrt{\frac{15}{16}} = \pm\frac{\sqrt{15}}{4} $.
Ответ: $ \pm\frac{\sqrt{15}}{4} $.
в) Если $ \sin \alpha = 0 $, то $ \cos^2 \alpha = 1 - 0^2 = 1 $.
Извлекая квадратный корень, получаем: $ \cos \alpha = \pm\sqrt{1} = \pm 1 $.
Ответ: $ \pm 1 $.
№1102 (с. 275)
Условие. №1102 (с. 275)
скриншот условия

1102 Найдите tg α, если:
а) cos α = 1; б) cos α = −32; в) sin α = 22 и 0° < α < 90°; г) sin α = 35 и 90° < α < 180°.
Решение 2. №1102 (с. 275)




Решение 3. №1102 (с. 275)

Решение 4. №1102 (с. 275)

Решение 6. №1102 (с. 275)

Решение 7. №1102 (с. 275)

Решение 8. №1102 (с. 275)

Решение 9. №1102 (с. 275)


Решение 11. №1102 (с. 275)
а)
Для нахождения тангенса воспользуемся определением $ \tg \alpha = \frac{\sin \alpha}{\cos \alpha} $. Нам известно, что $ \cos \alpha = 1 $. Найдем $ \sin \alpha $ из основного тригонометрического тождества $ \sin^2 \alpha + \cos^2 \alpha = 1 $.
$ \sin^2 \alpha + 1^2 = 1 $
$ \sin^2 \alpha + 1 = 1 $
$ \sin^2 \alpha = 0 $
$ \sin \alpha = 0 $
Теперь вычислим тангенс:
$ \tg \alpha = \frac{0}{1} = 0 $.
Ответ: $0$.
б)
Дано $ \cos \alpha = -\frac{\sqrt{3}}{2} $. Чтобы найти $ \tg \alpha $, сначала найдем $ \sin \alpha $ с помощью основного тригонометрического тождества $ \sin^2 \alpha + \cos^2 \alpha = 1 $.
$ \sin^2 \alpha + \left(-\frac{\sqrt{3}}{2}\right)^2 = 1 $
$ \sin^2 \alpha + \frac{3}{4} = 1 $
$ \sin^2 \alpha = 1 - \frac{3}{4} $
$ \sin^2 \alpha = \frac{1}{4} $
$ \sin \alpha = \pm\sqrt{\frac{1}{4}} = \pm\frac{1}{2} $
Поскольку четверть, в которой находится угол $ \alpha $, не указана, мы должны рассмотреть два возможных случая.
1. Если $ \sin \alpha = \frac{1}{2} $ (угол во второй четверти), то:
$ \tg \alpha = \frac{\sin \alpha}{\cos \alpha} = \frac{1/2}{-\sqrt{3}/2} = -\frac{1}{\sqrt{3}} = -\frac{\sqrt{3}}{3} $.
2. Если $ \sin \alpha = -\frac{1}{2} $ (угол в третьей четверти), то:
$ \tg \alpha = \frac{\sin \alpha}{\cos \alpha} = \frac{-1/2}{-\sqrt{3}/2} = \frac{1}{\sqrt{3}} = \frac{\sqrt{3}}{3} $.
Таким образом, возможны два значения для тангенса.
Ответ: $ \pm\frac{\sqrt{3}}{3} $.
в)
Дано $ \sin \alpha = \frac{\sqrt{2}}{2} $ и $ 0^\circ < \alpha < 90^\circ $. Это означает, что угол $ \alpha $ находится в первой четверти, где все тригонометрические функции (синус, косинус, тангенс) положительны.
Найдем $ \cos \alpha $ из тождества $ \sin^2 \alpha + \cos^2 \alpha = 1 $:
$ \left(\frac{\sqrt{2}}{2}\right)^2 + \cos^2 \alpha = 1 $
$ \frac{2}{4} + \cos^2 \alpha = 1 $
$ \frac{1}{2} + \cos^2 \alpha = 1 $
$ \cos^2 \alpha = 1 - \frac{1}{2} = \frac{1}{2} $
$ \cos \alpha = \pm\sqrt{\frac{1}{2}} = \pm\frac{\sqrt{2}}{2} $
Так как угол $ \alpha $ находится в первой четверти, $ \cos \alpha $ должен быть положительным, поэтому $ \cos \alpha = \frac{\sqrt{2}}{2} $.
Теперь найдем $ \tg \alpha $:
$ \tg \alpha = \frac{\sin \alpha}{\cos \alpha} = \frac{\sqrt{2}/2}{\sqrt{2}/2} = 1 $.
Ответ: $1$.
г)
Дано $ \sin \alpha = \frac{3}{5} $ и $ 90^\circ < \alpha < 180^\circ $. Это означает, что угол $ \alpha $ находится во второй четверти. Во второй четверти синус положителен, а косинус и тангенс отрицательны.
Найдем $ \cos \alpha $ из тождества $ \sin^2 \alpha + \cos^2 \alpha = 1 $:
$ \left(\frac{3}{5}\right)^2 + \cos^2 \alpha = 1 $
$ \frac{9}{25} + \cos^2 \alpha = 1 $
$ \cos^2 \alpha = 1 - \frac{9}{25} = \frac{16}{25} $
$ \cos \alpha = \pm\sqrt{\frac{16}{25}} = \pm\frac{4}{5} $
Так как угол $ \alpha $ находится во второй четверти, $ \cos \alpha $ должен быть отрицательным, поэтому $ \cos \alpha = -\frac{4}{5} $.
Теперь найдем $ \tg \alpha $:
$ \tg \alpha = \frac{\sin \alpha}{\cos \alpha} = \frac{3/5}{-4/5} = -\frac{3}{4} $.
Ответ: $ -\frac{3}{4} $.
№1103 (с. 275)
Условие. №1103 (с. 275)
скриншот условия

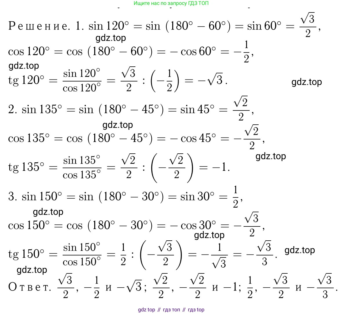
1103 Вычислите синусы, косинусы и тангенсы углов 120°, 135°, 150°.
Решение 2. №1103 (с. 275)

Решение 3. №1103 (с. 275)

Решение 4. №1103 (с. 275)

Решение 6. №1103 (с. 275)

Решение 7. №1103 (с. 275)

Решение 9. №1103 (с. 275)


Решение 11. №1103 (с. 275)
Для вычисления тригонометрических функций углов, больших 90°, используются формулы приведения. Эти формулы позволяют выразить значения функций тупых углов через значения функций острых углов. Для углов $\alpha$ во второй четверти (от 90° до 180°) справедливы следующие соотношения:
- $\sin(180^\circ - \alpha) = \sin(\alpha)$
- $\cos(180^\circ - \alpha) = -\cos(\alpha)$
- $\tan(180^\circ - \alpha) = -\tan(\alpha)$
Также мы будем использовать основное определение тангенса: $\tan(\alpha) = \frac{\sin(\alpha)}{\cos(\alpha)}$.
Угол 120°
Представим угол 120° в виде разности $180^\circ - 60^\circ$.
Вычислим синус:
$\sin(120^\circ) = \sin(180^\circ - 60^\circ) = \sin(60^\circ) = \frac{\sqrt{3}}{2}$
Вычислим косинус:
$\cos(120^\circ) = \cos(180^\circ - 60^\circ) = -\cos(60^\circ) = -\frac{1}{2}$
Вычислим тангенс:
$\tan(120^\circ) = \frac{\sin(120^\circ)}{\cos(120^\circ)} = \frac{\frac{\sqrt{3}}{2}}{-\frac{1}{2}} = -\sqrt{3}$
Ответ: $\sin(120^\circ) = \frac{\sqrt{3}}{2}$, $\cos(120^\circ) = -\frac{1}{2}$, $\tan(120^\circ) = -\sqrt{3}$.
Угол 135°
Представим угол 135° в виде разности $180^\circ - 45^\circ$.
Вычислим синус:
$\sin(135^\circ) = \sin(180^\circ - 45^\circ) = \sin(45^\circ) = \frac{\sqrt{2}}{2}$
Вычислим косинус:
$\cos(135^\circ) = \cos(180^\circ - 45^\circ) = -\cos(45^\circ) = -\frac{\sqrt{2}}{2}$
Вычислим тангенс:
$\tan(135^\circ) = \frac{\sin(135^\circ)}{\cos(135^\circ)} = \frac{\frac{\sqrt{2}}{2}}{-\frac{\sqrt{2}}{2}} = -1$
Ответ: $\sin(135^\circ) = \frac{\sqrt{2}}{2}$, $\cos(135^\circ) = -\frac{\sqrt{2}}{2}$, $\tan(135^\circ) = -1$.
Угол 150°
Представим угол 150° в виде разности $180^\circ - 30^\circ$.
Вычислим синус:
$\sin(150^\circ) = \sin(180^\circ - 30^\circ) = \sin(30^\circ) = \frac{1}{2}$
Вычислим косинус:
$\cos(150^\circ) = \cos(180^\circ - 30^\circ) = -\cos(30^\circ) = -\frac{\sqrt{3}}{2}$
Вычислим тангенс:
$\tan(150^\circ) = \frac{\sin(150^\circ)}{\cos(150^\circ)} = \frac{\frac{1}{2}}{-\frac{\sqrt{3}}{2}} = -\frac{1}{\sqrt{3}} = -\frac{\sqrt{3}}{3}$
Ответ: $\sin(150^\circ) = \frac{1}{2}$, $\cos(150^\circ) = -\frac{\sqrt{3}}{2}$, $\tan(150^\circ) = -\frac{\sqrt{3}}{3}$.
№1104 (с. 275)
Условие. №1104 (с. 275)
скриншот условия

1104 Постройте ∠A, если:
а) sin A = 23; б) cos A = 34; в) cos A = −25.
Решение 2. №1104 (с. 275)



Решение 3. №1104 (с. 275)


Решение 4. №1104 (с. 275)

Решение 6. №1104 (с. 275)

Решение 7. №1104 (с. 275)

Решение 8. №1104 (с. 275)



Решение 9. №1104 (с. 275)


Решение 11. №1104 (с. 275)
Для построения углов мы будем использовать определения синуса и косинуса в прямоугольном треугольнике и на единичной окружности (или в системе координат). Построение выполняется с помощью циркуля и линейки без делений.
а) $\sin A = \frac{2}{3}$
Поскольку значение синуса положительно, искомый угол $A$ может быть как острым (в первой четверти), так и тупым (во второй четверти), так как $\sin(180^\circ - A) = \sin A$. Мы построим оба варианта.
Для построения острого угла $A_1$ воспользуемся определением синуса в прямоугольном треугольнике: $\sin A = \frac{\text{противолежащий катет}}{\text{гипотенуза}}$. Нам нужно построить прямоугольный треугольник, у которого противолежащий катет равен 2 условным единицам, а гипотенуза — 3 условным единицам.
- Начертим прямую и выберем на ней произвольную точку C.
- Восставим в точке C перпендикуляр к этой прямой.
- Отложим на перпендикуляре от точки C отрезок $BC$, равный 2 выбранным единицам длины.
- Из точки B как из центра проведём дугу окружности радиусом 3 единицы длины так, чтобы она пересекла исходную прямую. Точку пересечения обозначим A.
- Соединим точки A и B. Получим прямоугольный треугольник ABC с прямым углом C.
- В этом треугольнике $\sin(\angle BAC) = \frac{BC}{AB} = \frac{2}{3}$. Следовательно, угол $\angle BAC$ — это искомый острый угол $A_1$.
Тупой угол $A_2$, синус которого также равен $\frac{2}{3}$, является смежным с построенным острым углом $A_1$.
- Продлим луч AC за точку A. Обозначим на продолжении луча произвольную точку D.
- Угол $\angle BAD$ является тупым, и $\angle BAD = 180^\circ - \angle BAC$. Так как $\sin(180^\circ - \alpha) = \sin \alpha$, то $\sin(\angle BAD) = \sin(\angle BAC) = \frac{2}{3}$.
Ответ: Построенный острый угол $\angle BAC$ и смежный с ним тупой угол $\angle BAD$ являются искомыми углами.
б) $\cos A = \frac{3}{4}$
Поскольку $\cos A = \frac{3}{4} > 0$, искомый угол $A$ является острым ($0^\circ < A < 90^\circ$). Для его построения воспользуемся определением косинуса в прямоугольном треугольнике: $\cos A = \frac{\text{прилежащий катет}}{\text{гипотенуза}}$. Нам нужно построить прямоугольный треугольник с прилежащим катетом в 3 единицы и гипотенузой в 4 единицы.
- Начертим луч с началом в точке A.
- На этом луче отложим отрезок $AC$, равный 3 выбранным единицам длины.
- В точке C восставим перпендикуляр к прямой AC.
- Из точки A как из центра проведём дугу окружности радиусом 4 единицы длины до пересечения с перпендикуляром. Точку пересечения обозначим B.
- Соединим точки A и B. Получим прямоугольный треугольник ABC с прямым углом C.
- В этом треугольнике $\cos(\angle BAC) = \frac{AC}{AB} = \frac{3}{4}$. Следовательно, угол $\angle BAC$ — искомый угол A.
Ответ: Построенный угол $\angle BAC$ является искомым углом.
в) $\cos A = -\frac{2}{5}$
Поскольку $\cos A = -\frac{2}{5} < 0$, искомый угол $A$ является тупым ($90^\circ < A < 180^\circ$). Для его построения воспользуемся свойством $\cos(180^\circ - \alpha) = -\cos \alpha$. Сначала мы построим вспомогательный острый угол $\alpha$, для которого $\cos \alpha = \frac{2}{5}$. Затем построим смежный с ним угол, который и будет искомым углом $A$.
Этап 1: Построение острого угла $\alpha$ такого, что $\cos \alpha = \frac{2}{5}$.
- Начертим луч с началом в точке O.
- На луче отложим отрезок $OC$, равный 2 выбранным единицам длины.
- В точке C восставим перпендикуляр к прямой OC.
- Из точки O как из центра проведём дугу окружности радиусом 5 единиц до пересечения с перпендикуляром. Точку пересечения обозначим B.
- Соединим точки O и B. В полученном прямоугольном треугольнике OBC угол $\angle BOC = \alpha$, и $\cos \alpha = \frac{OC}{OB} = \frac{2}{5}$.
Этап 2: Построение искомого тупого угла $A$.
- Продлим луч CO за точку O. Обозначим на продолжении луча произвольную точку D.
- Угол $\angle BOD$ является смежным с углом $\alpha = \angle BOC$. Таким образом, $\angle BOD = 180^\circ - \alpha$.
- Косинус этого угла равен $\cos(\angle BOD) = \cos(180^\circ - \alpha) = -\cos \alpha = -\frac{2}{5}$.
- Следовательно, угол $\angle BOD$ — это искомый угол $A$.
Ответ: Построенный тупой угол $\angle BOD$, смежный с острым углом $\alpha$ (где $\cos \alpha = \frac{2}{5}$), является искомым углом A.
№1105 (с. 275)
Условие. №1105 (с. 275)
скриншот условия

1105 Угол между лучом ОА, пересекающим единичную полуокружность, и положительной полуосью Ох равен α. Найдите координаты точки А, если:
а) ОА = 3, α = 45°;
б) ОА = 1,5, α = 90°;
в) ОА = 5, α = 150°;
г) ОА = 1, α = 180°;
д) ОА = 2, α = 30°.
Решение 2. №1105 (с. 275)





Решение 3. №1105 (с. 275)


Решение 4. №1105 (с. 275)

Решение 7. №1105 (с. 275)

Решение 8. №1105 (с. 275)


Решение 9. №1105 (с. 275)


Решение 11. №1105 (с. 275)
Для нахождения координат точки $A(x; y)$ используются формулы перехода от полярных координат к декартовым. Длина отрезка $OA$ соответствует полярному радиусу $r$, а угол $\alpha$ между лучом $OA$ и положительной полуосью $Ox$ — полярному углу. Координаты точки вычисляются по формулам:
$x = OA \cdot \cos(\alpha)$
$y = OA \cdot \sin(\alpha)$
а) Дано: $OA = 3, \alpha = 45^{\circ}$.
Находим координаты точки A:
$x = 3 \cdot \cos(45^{\circ}) = 3 \cdot \frac{\sqrt{2}}{2} = \frac{3\sqrt{2}}{2}$
$y = 3 \cdot \sin(45^{\circ}) = 3 \cdot \frac{\sqrt{2}}{2} = \frac{3\sqrt{2}}{2}$
Ответ: $A(\frac{3\sqrt{2}}{2}; \frac{3\sqrt{2}}{2})$.
б) Дано: $OA = 1,5, \alpha = 90^{\circ}$.
Находим координаты точки A:
$x = 1,5 \cdot \cos(90^{\circ}) = 1,5 \cdot 0 = 0$
$y = 1,5 \cdot \sin(90^{\circ}) = 1,5 \cdot 1 = 1,5$
Ответ: $A(0; 1,5)$.
в) Дано: $OA = 5, \alpha = 150^{\circ}$.
Находим координаты точки A, используя формулы приведения:
$x = 5 \cdot \cos(150^{\circ}) = 5 \cdot \cos(180^{\circ} - 30^{\circ}) = 5 \cdot (-\cos(30^{\circ})) = 5 \cdot (-\frac{\sqrt{3}}{2}) = -\frac{5\sqrt{3}}{2}$
$y = 5 \cdot \sin(150^{\circ}) = 5 \cdot \sin(180^{\circ} - 30^{\circ}) = 5 \cdot \sin(30^{\circ}) = 5 \cdot \frac{1}{2} = 2,5$
Ответ: $A(-\frac{5\sqrt{3}}{2}; 2,5)$.
г) Дано: $OA = 1, \alpha = 180^{\circ}$.
Находим координаты точки A:
$x = 1 \cdot \cos(180^{\circ}) = 1 \cdot (-1) = -1$
$y = 1 \cdot \sin(180^{\circ}) = 1 \cdot 0 = 0$
Ответ: $A(-1; 0)$.
д) Дано: $OA = 2, \alpha = 30^{\circ}$.
Находим координаты точки A:
$x = 2 \cdot \cos(30^{\circ}) = 2 \cdot \frac{\sqrt{3}}{2} = \sqrt{3}$
$y = 2 \cdot \sin(30^{\circ}) = 2 \cdot \frac{1}{2} = 1$
Ответ: $A(\sqrt{3}; 1)$.
№1106 (с. 275)
Условие. №1106 (с. 275)
скриншот условия

1106 Найдите угол между лучом ОА и положительной полуосью Ох, если точка А имеет координаты:
а) (2; 2);
б) (0; 3);
в) (-3; 1);
г) (-22; 22).
Решение 2. №1106 (с. 275)




Решение 3. №1106 (с. 275)

Решение 4. №1106 (с. 275)

Решение 7. №1106 (с. 275)

Решение 8. №1106 (с. 275)



Решение 9. №1106 (с. 275)


Решение 11. №1106 (с. 275)
а)
Чтобы найти угол между лучом $OA$ и положительной полуосью $Ox$, мы можем определить угол $\alpha$, который вектор $\vec{OA}$ образует с положительным направлением оси $Ox$. Координаты точки $A$ равны $(2; 2)$.
Обозначим координаты точки $A$ как $(x; y)$, где $x=2$ и $y=2$.
Тангенс угла $\alpha$ определяется как отношение ординаты к абсциссе:
$\tan \alpha = \frac{y}{x} = \frac{2}{2} = 1$.
Поскольку обе координаты точки $A$ положительны ($x > 0$, $y > 0$), точка находится в первой координатной четверти. Угол $\alpha$ будет острым, то есть в диапазоне от $0^\circ$ до $90^\circ$.
Угол, тангенс которого равен 1, это $45^\circ$.
Ответ: $45^\circ$.
б)
Точка $A$ имеет координаты $(0; 3)$.
Эта точка лежит на положительной части оси ординат ($Oy$). Следовательно, луч $OA$ совпадает с положительной полуосью $Oy$.
Угол между положительной полуосью $Oy$ и положительной полуосью $Ox$ по определению равен $90^\circ$.
Ответ: $90^\circ$.
в)
Точка $A$ имеет координаты $(-\sqrt{3}; 1)$.
Обозначим координаты точки $A$ как $(x; y)$, где $x=-\sqrt{3}$ и $y=1$.
Найдем тангенс угла $\alpha$:
$\tan \alpha = \frac{y}{x} = \frac{1}{-\sqrt{3}} = -\frac{\sqrt{3}}{3}$.
Поскольку абсцисса отрицательна ($x < 0$), а ордината положительна ($y > 0$), точка $A$ находится во второй координатной четверти. Угол $\alpha$ находится в диапазоне от $90^\circ$ до $180^\circ$.
Сначала найдем вспомогательный острый угол $\alpha'$, тангенс которого равен модулю нашего значения: $\tan \alpha' = |-\frac{\sqrt{3}}{3}| = \frac{\sqrt{3}}{3}$. Этот угол равен $30^\circ$.
Для второй четверти искомый угол вычисляется по формуле $\alpha = 180^\circ - \alpha'$.
$\alpha = 180^\circ - 30^\circ = 150^\circ$.
Ответ: $150^\circ$.
г)
Точка $A$ имеет координаты $(-2\sqrt{2}; 2\sqrt{2})$.
Обозначим координаты точки $A$ как $(x; y)$, где $x=-2\sqrt{2}$ и $y=2\sqrt{2}$.
Найдем тангенс угла $\alpha$:
$\tan \alpha = \frac{y}{x} = \frac{2\sqrt{2}}{-2\sqrt{2}} = -1$.
Поскольку абсцисса отрицательна ($x < 0$), а ордината положительна ($y > 0$), точка $A$ находится во второй координатной четверти. Угол $\alpha$ находится в диапазоне от $90^\circ$ до $180^\circ$.
Найдем вспомогательный острый угол $\alpha'$, тангенс которого равен $|\tan \alpha| = |-1| = 1$. Этот угол равен $45^\circ$.
Для второй четверти искомый угол вычисляется по формуле $\alpha = 180^\circ - \alpha'$.
$\alpha = 180^\circ - 45^\circ = 135^\circ$.
Ответ: $135^\circ$.
Помогло решение? Оставьте отзыв в комментариях ниже.