Номер 617, страница 160 - гдз по геометрии 7-9 класс учебник Атанасян, Бутузов

Авторы: Атанасян Л. С., Бутузов В. Ф., Кадомцев С. Б., Позняк Э. Г., Юдина И. И.
Тип: Учебник
Издательство: Просвещение
Год издания: 2023 - 2025
Уровень обучения: базовый
Цвет обложки: синий
ISBN: 978-5-09-102538-5 (2023), 978-5-09-111167-5 (2024)
Допущено Министерством просвещения Российской Федерации
Популярные ГДЗ в 7 классе
Дополнительные задачи. § 3. Теорема Пифагора. Глава 7. Площадь - номер 617, страница 160.
№617 (с. 160)
Условие. №617 (с. 160)
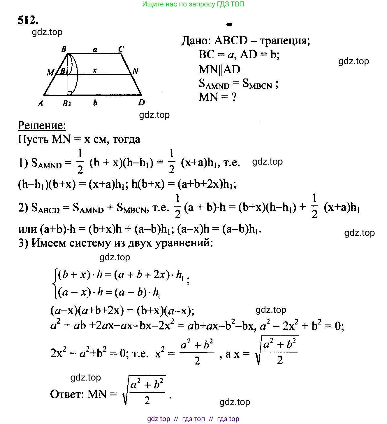
скриншот условия

617* Основания трапеции равны a и b. Отрезок с концами на боковых сторонах трапеции, параллельный основаниям, разделяет трапецию на две равновеликие трапеции. Найдите длину этого отрезка.
Решение 2. №617 (с. 160)

Решение 3. №617 (с. 160)


Решение 4. №617 (с. 160)

Решение 6. №617 (с. 160)




Решение 9. №617 (с. 160)


Решение 11. №617 (с. 160)
Пусть дана трапеция, основания которой равны $a$ и $b$. Пусть $x$ — длина искомого отрезка, который параллелен основаниям и делит трапецию на две равновеликие (имеющие равные площади) трапеции.
Для решения задачи удобно продлить боковые стороны трапеции до их пересечения в некоторой точке $P$. При этом образуются три подобных друг другу треугольника: малый, с основанием $a$; средний, с основанием $x$; и большой, с основанием $b$. Обозначим их площади как $S_a$, $S_x$ и $S_b$ соответственно.
Площадь верхней из двух малых трапеций, образованных отрезком $x$, равна разности площадей среднего и малого треугольников:
$S_1 = S_x - S_a$
Площадь нижней трапеции равна разности площадей большого и среднего треугольников:
$S_2 = S_b - S_x$
По условию задачи, эти две трапеции равновеликие, то есть их площади равны: $S_1 = S_2$.
$S_x - S_a = S_b - S_x$
Из этого равенства следует:
$2S_x = S_a + S_b$
Известно, что площади подобных фигур относятся как квадраты их соответствующих линейных размеров. В нашем случае площади образованных треугольников относятся как квадраты их оснований. Это значит, что существует такой коэффициент пропорциональности $k$, что:
$S_a = k \cdot a^2$
$S_x = k \cdot x^2$
$S_b = k \cdot b^2$
Подставим эти выражения в соотношение $2S_x = S_a + S_b$:
$2(k \cdot x^2) = (k \cdot a^2) + (k \cdot b^2)$
Разделим обе части уравнения на $k$ (так как $k \neq 0$):
$2x^2 = a^2 + b^2$
Отсюда находим $x^2$:
$x^2 = \frac{a^2 + b^2}{2}$
Так как длина отрезка $x$ должна быть положительной, извлекаем квадратный корень из правой части:
$x = \sqrt{\frac{a^2 + b^2}{2}}$
Таким образом, длина отрезка, делящего трапецию на две равновеликие трапеции, является средним квадратичным длин оснований исходной трапеции.
Ответ: $\sqrt{\frac{a^2 + b^2}{2}}$
Другие задания:
Помогло решение? Оставьте отзыв в комментариях ниже.
Мы подготовили для вас ответ c подробным объяснением домашего задания по геометрии за 7-9 класс, для упражнения номер 617 расположенного на странице 160 к учебнику 2023 года издания для учащихся школ и гимназий.
Теперь на нашем сайте ГДЗ.ТОП вы всегда легко и бесплатно найдёте условие с правильным ответом на вопрос «Как решить ДЗ» и «Как сделать» задание по геометрии к упражнению №617 (с. 160), авторов: Атанасян (Левон Сергеевич), Бутузов (Валентин Фёдорович), Кадомцев (Сергей Борисович), Позняк (Эдуард Генрихович), Юдина (Ирина Игоревна), ФГОС (новый, красный) базовый уровень обучения учебного пособия издательства Просвещение.