Номер 1049, страница 265 - гдз по геометрии 7-9 класс учебник Атанасян, Бутузов

Геометрия, 7-9 класс Учебник, авторы: Атанасян Левон Сергеевич, Бутузов Валентин Фёдорович, Кадомцев Сергей Борисович, Позняк Эдуард Генрихович, Юдина Ирина Игоревна, издательство Просвещение, Москва, 2013 - 2022

Авторы: Атанасян Л. С., Бутузов В. Ф., Кадомцев С. Б., Позняк Э. Г., Юдина И. И.

Тип: Учебник

Издательство: Просвещение

Год издания: 2013 - 2022

Цвет обложки: синий, голубой

ISBN: 978-5-09-035930-6 (2016)

Рекомендовано Министерством образования и науки Российской Федерации

Глава 11. Соотношения между сторонами и углами треугольника. Скалярное произведение векторов. Параграф 3. Скалярное произведение векторов - номер 1049, страница 265.

№1049 (с. 265)
Условие. №1049 (с. 265)
скриншот условия
Геометрия, 7-9 класс Учебник, авторы: Атанасян Левон Сергеевич, Бутузов Валентин Фёдорович, Кадомцев Сергей Борисович, Позняк Эдуард Генрихович, Юдина Ирина Игоревна, издательство Просвещение, Москва, 2013 - 2022, страница 265, номер 1049, Условие

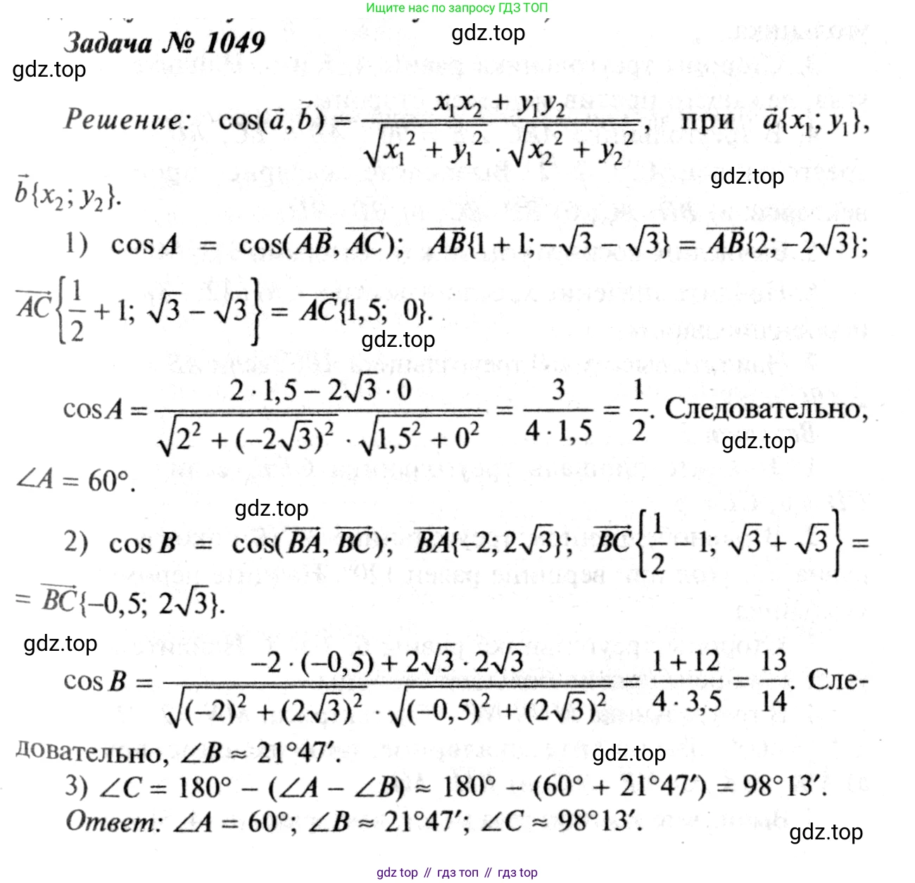
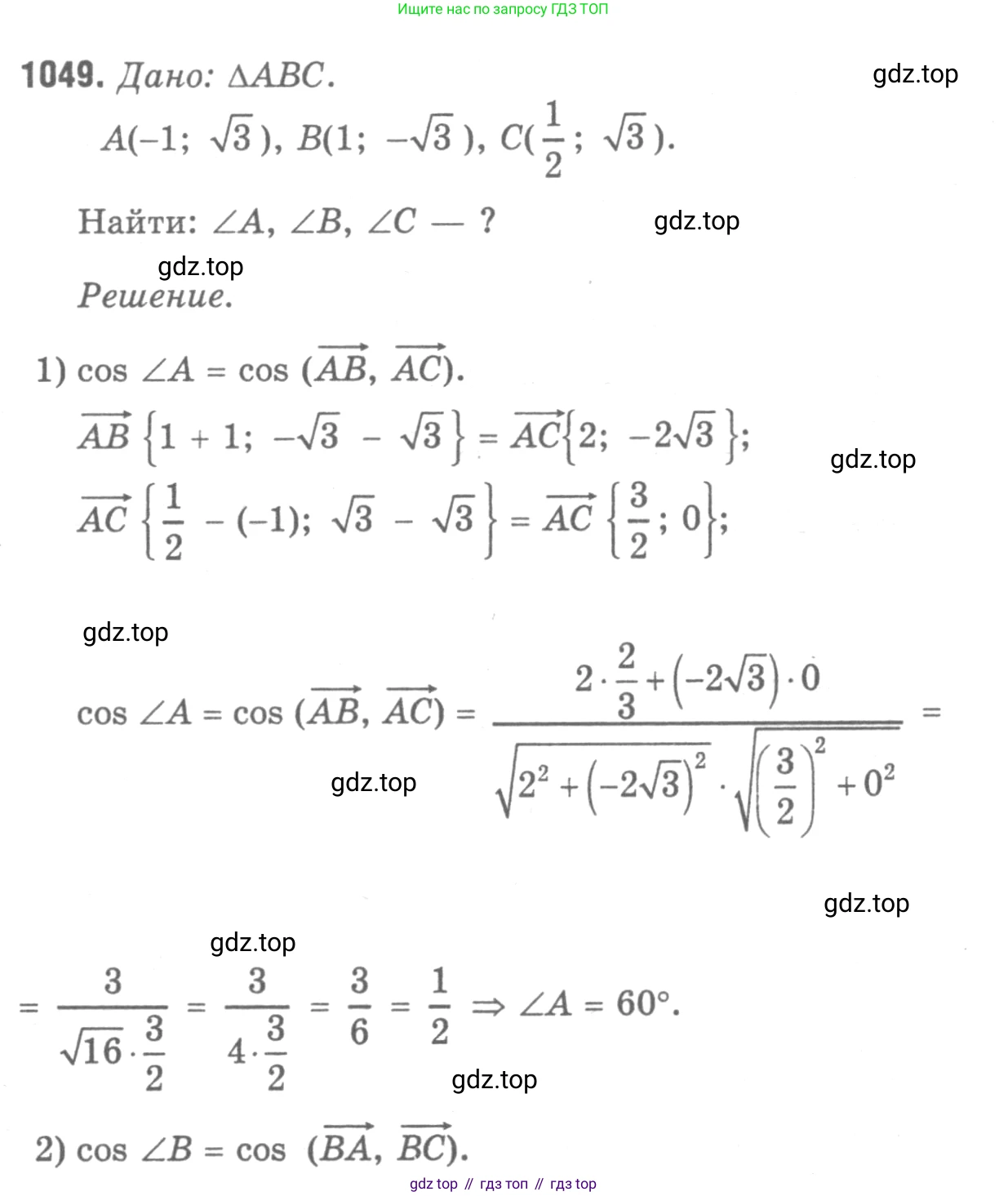
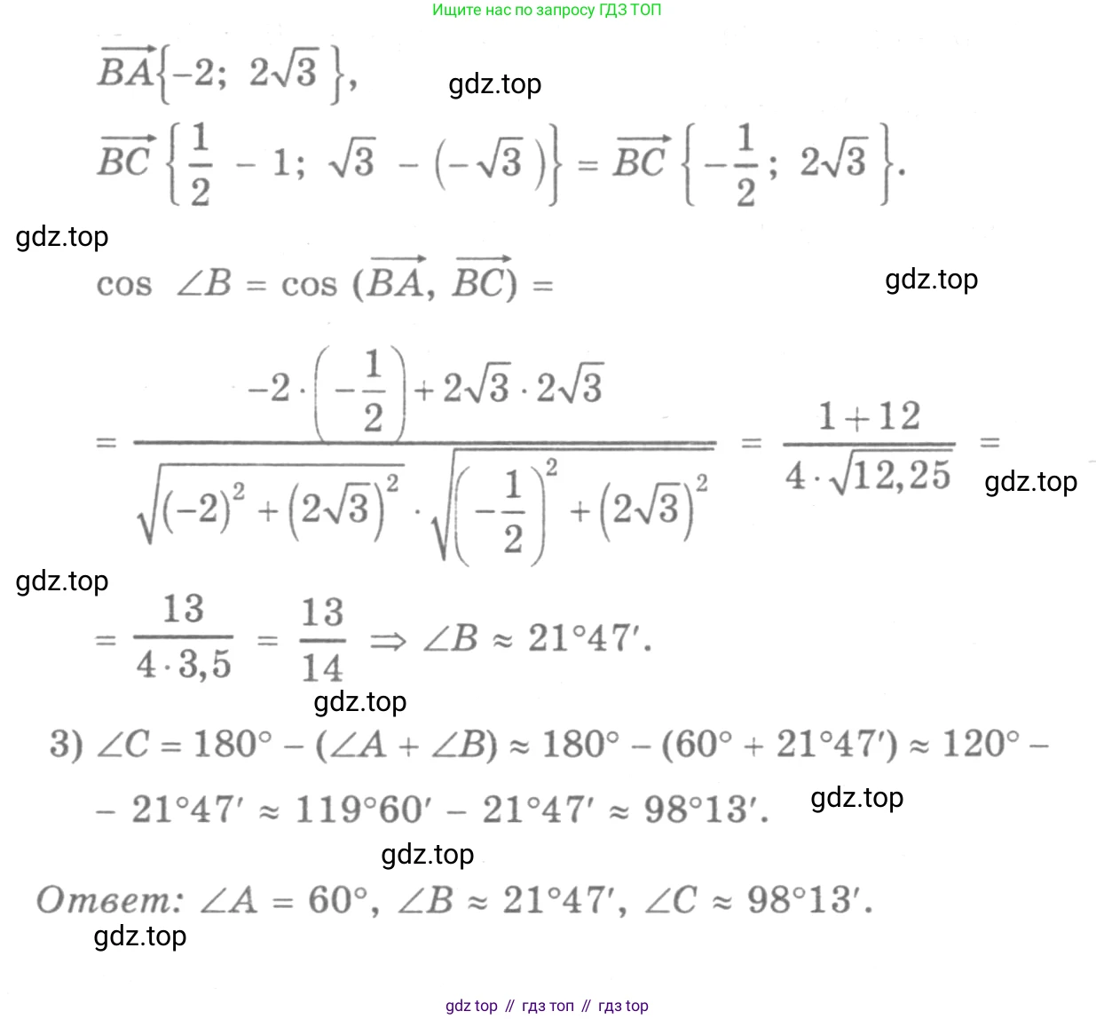
1049 ◻ Найдите углы треугольника с вершинами $A (-1; \sqrt{3})$, $B (1; -\sqrt{3})$ и $C \left(\frac{1}{2}; \sqrt{3}\right)$.

Решение 1. №1049 (с. 265)
Геометрия, 7-9 класс Учебник, авторы: Атанасян Левон Сергеевич, Бутузов Валентин Фёдорович, Кадомцев Сергей Борисович, Позняк Эдуард Генрихович, Юдина Ирина Игоревна, издательство Просвещение, Москва, 2013 - 2022, страница 265, номер 1049, Решение 1
Решение 2. №1049 (с. 265)
Геометрия, 7-9 класс Учебник, авторы: Атанасян Левон Сергеевич, Бутузов Валентин Фёдорович, Кадомцев Сергей Борисович, Позняк Эдуард Генрихович, Юдина Ирина Игоревна, издательство Просвещение, Москва, 2013 - 2022, страница 265, номер 1049, Решение 2
Решение 4. №1049 (с. 265)
Геометрия, 7-9 класс Учебник, авторы: Атанасян Левон Сергеевич, Бутузов Валентин Фёдорович, Кадомцев Сергей Борисович, Позняк Эдуард Генрихович, Юдина Ирина Игоревна, издательство Просвещение, Москва, 2013 - 2022, страница 265, номер 1049, Решение 4
Решение 5. №1049 (с. 265)
Геометрия, 7-9 класс Учебник, авторы: Атанасян Левон Сергеевич, Бутузов Валентин Фёдорович, Кадомцев Сергей Борисович, Позняк Эдуард Генрихович, Юдина Ирина Игоревна, издательство Просвещение, Москва, 2013 - 2022, страница 265, номер 1049, Решение 5
Решение 6. №1049 (с. 265)
Геометрия, 7-9 класс Учебник, авторы: Атанасян Левон Сергеевич, Бутузов Валентин Фёдорович, Кадомцев Сергей Борисович, Позняк Эдуард Генрихович, Юдина Ирина Игоревна, издательство Просвещение, Москва, 2013 - 2022, страница 265, номер 1049, Решение 6
Решение 7. №1049 (с. 265)
Геометрия, 7-9 класс Учебник, авторы: Атанасян Левон Сергеевич, Бутузов Валентин Фёдорович, Кадомцев Сергей Борисович, Позняк Эдуард Генрихович, Юдина Ирина Игоревна, издательство Просвещение, Москва, 2013 - 2022, страница 265, номер 1049, Решение 7 Геометрия, 7-9 класс Учебник, авторы: Атанасян Левон Сергеевич, Бутузов Валентин Фёдорович, Кадомцев Сергей Борисович, Позняк Эдуард Генрихович, Юдина Ирина Игоревна, издательство Просвещение, Москва, 2013 - 2022, страница 265, номер 1049, Решение 7 (продолжение 2)
Решение 8. №1049 (с. 265)
Геометрия, 7-9 класс Учебник, авторы: Атанасян Левон Сергеевич, Бутузов Валентин Фёдорович, Кадомцев Сергей Борисович, Позняк Эдуард Генрихович, Юдина Ирина Игоревна, издательство Просвещение, Москва, 2013 - 2022, страница 265, номер 1049, Решение 8
Решение 9. №1049 (с. 265)
Геометрия, 7-9 класс Учебник, авторы: Атанасян Левон Сергеевич, Бутузов Валентин Фёдорович, Кадомцев Сергей Борисович, Позняк Эдуард Генрихович, Юдина Ирина Игоревна, издательство Просвещение, Москва, 2013 - 2022, страница 265, номер 1049, Решение 9 Геометрия, 7-9 класс Учебник, авторы: Атанасян Левон Сергеевич, Бутузов Валентин Фёдорович, Кадомцев Сергей Борисович, Позняк Эдуард Генрихович, Юдина Ирина Игоревна, издательство Просвещение, Москва, 2013 - 2022, страница 265, номер 1049, Решение 9 (продолжение 2)
Решение 10. №1049 (с. 265)

Для того чтобы найти углы треугольника с вершинами в точках $A(-1; \sqrt{3})$, $B(1; -\sqrt{3})$ и $C(\frac{1}{2}; \sqrt{3})$, мы сначала вычислим длины его сторон, а затем, используя теорему косинусов, найдем сами углы.

Нахождение длин сторон

Длину стороны между двумя точками с координатами $(x_1, y_1)$ и $(x_2, y_2)$ находим по формуле: $d = \sqrt{(x_2 - x_1)^2 + (y_2 - y_1)^2}$.

Длина стороны $AB$ (обозначим ее $c$):
$c = AB = \sqrt{(1 - (-1))^2 + (-\sqrt{3} - \sqrt{3})^2} = \sqrt{2^2 + (-2\sqrt{3})^2} = \sqrt{4 + 4 \cdot 3} = \sqrt{16} = 4$.

Длина стороны $BC$ (обозначим ее $a$):
$a = BC = \sqrt{(\frac{1}{2} - 1)^2 + (\sqrt{3} - (-\sqrt{3}))^2} = \sqrt{(-\frac{1}{2})^2 + (2\sqrt{3})^2} = \sqrt{\frac{1}{4} + 12} = \sqrt{\frac{49}{4}} = \frac{7}{2}$.

Длина стороны $AC$ (обозначим ее $b$):
$b = AC = \sqrt{(\frac{1}{2} - (-1))^2 + (\sqrt{3} - \sqrt{3})^2} = \sqrt{(\frac{3}{2})^2 + 0^2} = \frac{3}{2}$.

Нахождение углов

Теперь, зная длины всех сторон ($a = \frac{7}{2}$, $b = \frac{3}{2}$, $c = 4$), применим теорему косинусов, чтобы найти углы треугольника. Формула для нахождения косинуса угла $A$: $\cos A = \frac{b^2 + c^2 - a^2}{2bc}$.

Найдем угол $A$ (угол при вершине $A$):
$\cos A = \frac{(\frac{3}{2})^2 + 4^2 - (\frac{7}{2})^2}{2 \cdot \frac{3}{2} \cdot 4} = \frac{\frac{9}{4} + 16 - \frac{49}{4}}{12} = \frac{\frac{9 - 49}{4} + 16}{12} = \frac{-10 + 16}{12} = \frac{6}{12} = \frac{1}{2}$.
Следовательно, угол $A = \arccos(\frac{1}{2}) = 60^\circ$.

Найдем угол $B$ (угол при вершине $B$):
$\cos B = \frac{a^2 + c^2 - b^2}{2ac} = \frac{(\frac{7}{2})^2 + 4^2 - (\frac{3}{2})^2}{2 \cdot \frac{7}{2} \cdot 4} = \frac{\frac{49}{4} + 16 - \frac{9}{4}}{28} = \frac{\frac{40}{4} + 16}{28} = \frac{10 + 16}{28} = \frac{26}{28} = \frac{13}{14}$.
Следовательно, угол $B = \arccos(\frac{13}{14})$.

Найдем угол $C$ (угол при вершине $C$):
$\cos C = \frac{a^2 + b^2 - c^2}{2ab} = \frac{(\frac{7}{2})^2 + (\frac{3}{2})^2 - 4^2}{2 \cdot \frac{7}{2} \cdot \frac{3}{2}} = \frac{\frac{49}{4} + \frac{9}{4} - 16}{\frac{21}{2}} = \frac{\frac{58}{4} - 16}{\frac{21}{2}} = \frac{\frac{29}{2} - \frac{32}{2}}{\frac{21}{2}} = \frac{-\frac{3}{2}}{\frac{21}{2}} = -\frac{3}{21} = -\frac{1}{7}$.
Следовательно, угол $C = \arccos(-\frac{1}{7})$.

Ответ: Углы треугольника равны $60^\circ$, $\arccos(\frac{13}{14})$ и $\arccos(-\frac{1}{7})$.

Помогло решение? Оставьте отзыв в комментариях ниже.

Присоединяйтесь к Телеграм-группе @top_gdz

Присоединиться

Мы подготовили для вас ответ c подробным объяснением домашего задания по геометрии за 7-9 класс, для упражнения номер 1049 расположенного на странице 265 к учебнику 2013 - 2022 года издания для учащихся школ и гимназий.

Теперь на нашем сайте ГДЗ.ТОП вы всегда легко и бесплатно найдёте условие с правильным ответом на вопрос «Как решить ДЗ» и «Как сделать» задание по геометрии к упражнению №1049 (с. 265), авторов: Атанасян (Левон Сергеевич), Бутузов (Валентин Фёдорович), Кадомцев (Сергей Борисович), Позняк (Эдуард Генрихович), Юдина (Ирина Игоревна), ФГОС (старый) учебного пособия издательства Просвещение.