Номер 1061, страница 267 - гдз по геометрии 7-9 класс учебник Атанасян, Бутузов

Авторы: Атанасян Л. С., Бутузов В. Ф., Кадомцев С. Б., Позняк Э. Г., Юдина И. И.
Тип: Учебник
Издательство: Просвещение
Год издания: 2013 - 2022
Цвет обложки: синий, голубой
ISBN: 978-5-09-035930-6 (2016)
Рекомендовано Министерством образования и науки Российской Федерации
Популярные ГДЗ в 7 классе
Параграф 3. Скалярное произведение векторов. Глава 11. Соотношения между сторонами и углами треугольника. Скалярное произведение векторов - номер 1061, страница 267.
№1061 (с. 267)
Условие. №1061 (с. 267)

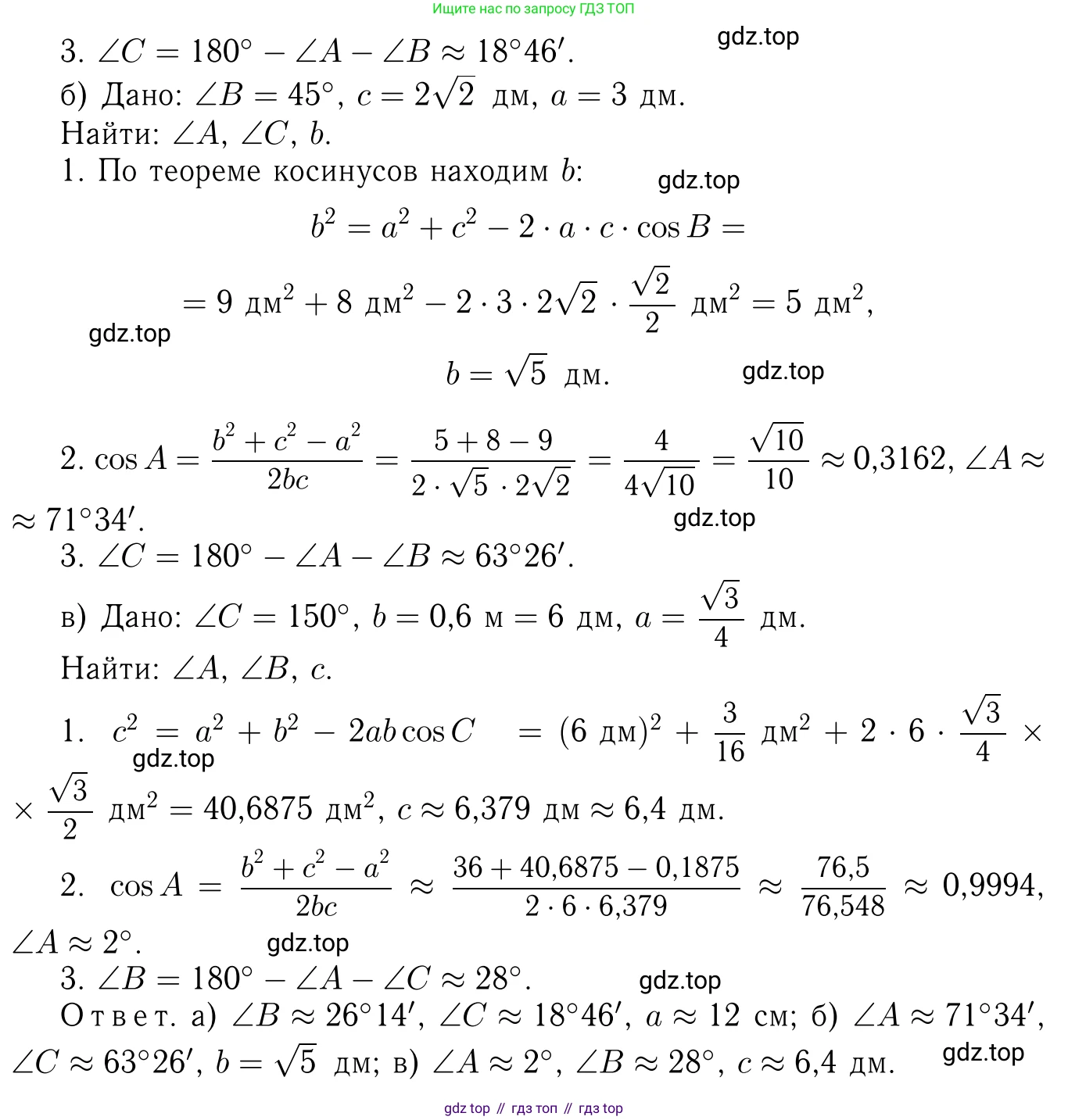
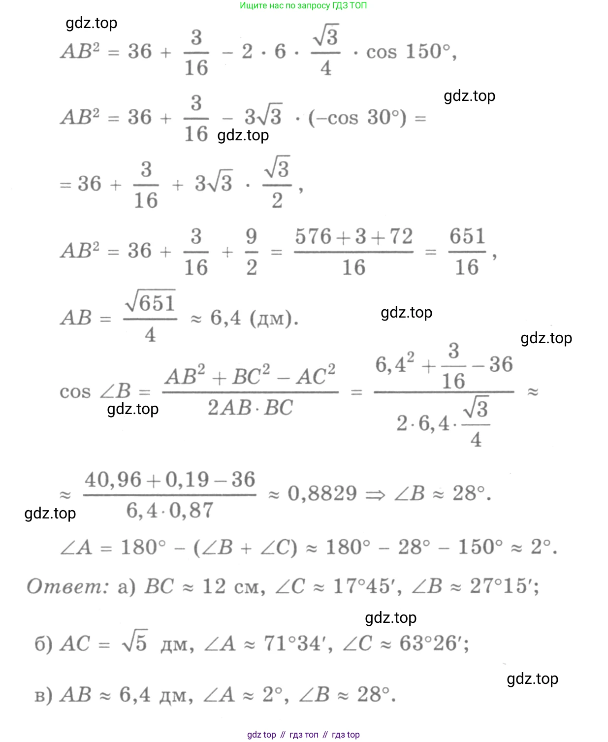
Решение 1. №1061 (с. 267)



Решение 2. №1061 (с. 267)

Решение 3. №1061 (с. 267)

Решение 4. №1061 (с. 267)

Решение 6. №1061 (с. 267)


Решение 7. №1061 (с. 267)

Решение 8. №1061 (с. 267)

Решение 9. №1061 (с. 267)



Другие задания:
Помогло решение? Оставьте отзыв в комментариях ниже.
Присоединяйтесь к Телеграм-группе @top_gdz
ПрисоединитьсяМы подготовили для вас ответ c подробным объяснением домашего задания по геометрии за 7-9 класс, для упражнения номер 1061 расположенного на странице 267 к учебнику 2013 - 2022 года издания для учащихся школ и гимназий.
Теперь на нашем сайте ГДЗ.ТОП вы всегда легко и бесплатно найдёте условие с правильным ответом на вопрос «Как решить ДЗ» и «Как сделать» задание по геометрии к упражнению №1061 (с. 267), авторов: Атанасян (Левон Сергеевич), Бутузов (Валентин Фёдорович), Кадомцев (Сергей Борисович), Позняк (Эдуард Генрихович), Юдина (Ирина Игоревна), ФГОС (старый) учебного пособия издательства Просвещение.