Номер 1067, страница 268 - гдз по геометрии 7-9 класс учебник Атанасян, Бутузов

Геометрия, 7-9 класс Учебник, авторы: Атанасян Левон Сергеевич, Бутузов Валентин Фёдорович, Кадомцев Сергей Борисович, Позняк Эдуард Генрихович, Юдина Ирина Игоревна, издательство Просвещение, Москва, 2013 - 2022

Авторы: Атанасян Л. С., Бутузов В. Ф., Кадомцев С. Б., Позняк Э. Г., Юдина И. И.

Тип: Учебник

Издательство: Просвещение

Год издания: 2013 - 2022

Цвет обложки: синий, голубой

ISBN: 978-5-09-035930-6 (2016)

Рекомендовано Министерством образования и науки Российской Федерации

Популярные ГДЗ в 7 классе

Глава 11. Соотношения между сторонами и углами треугольника. Скалярное произведение векторов. Параграф 3. Скалярное произведение векторов - номер 1067, страница 268.

№1067 (с. 268)
Условие. №1067 (с. 268)
скриншот условия
Геометрия, 7-9 класс Учебник, авторы: Атанасян Левон Сергеевич, Бутузов Валентин Фёдорович, Кадомцев Сергей Борисович, Позняк Эдуард Генрихович, Юдина Ирина Игоревна, издательство Просвещение, Москва, 2013 - 2022, страница 268, номер 1067, Условие

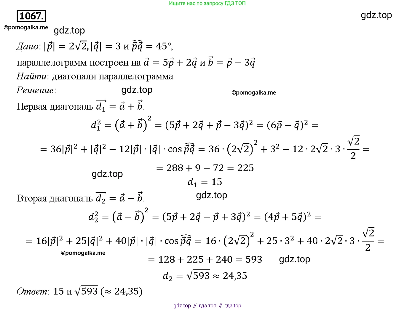
1067 Найдите диагонали параллелограмма, построенного на векторах $ \vec{a} = 5\vec{p} + 2\vec{q} $ и $ \vec{b} = \vec{p} - 3\vec{q} $, если $ |\vec{p}| = 2\sqrt{2} $, $ |\vec{q}| = 3 $ и $ \angle(\vec{p}, \vec{q}) = 45^\circ $.

Решение 1. №1067 (с. 268)
Геометрия, 7-9 класс Учебник, авторы: Атанасян Левон Сергеевич, Бутузов Валентин Фёдорович, Кадомцев Сергей Борисович, Позняк Эдуард Генрихович, Юдина Ирина Игоревна, издательство Просвещение, Москва, 2013 - 2022, страница 268, номер 1067, Решение 1
Решение 2. №1067 (с. 268)
Геометрия, 7-9 класс Учебник, авторы: Атанасян Левон Сергеевич, Бутузов Валентин Фёдорович, Кадомцев Сергей Борисович, Позняк Эдуард Генрихович, Юдина Ирина Игоревна, издательство Просвещение, Москва, 2013 - 2022, страница 268, номер 1067, Решение 2
Решение 3. №1067 (с. 268)
Геометрия, 7-9 класс Учебник, авторы: Атанасян Левон Сергеевич, Бутузов Валентин Фёдорович, Кадомцев Сергей Борисович, Позняк Эдуард Генрихович, Юдина Ирина Игоревна, издательство Просвещение, Москва, 2013 - 2022, страница 268, номер 1067, Решение 3
Решение 4. №1067 (с. 268)
Геометрия, 7-9 класс Учебник, авторы: Атанасян Левон Сергеевич, Бутузов Валентин Фёдорович, Кадомцев Сергей Борисович, Позняк Эдуард Генрихович, Юдина Ирина Игоревна, издательство Просвещение, Москва, 2013 - 2022, страница 268, номер 1067, Решение 4
Решение 5. №1067 (с. 268)
Геометрия, 7-9 класс Учебник, авторы: Атанасян Левон Сергеевич, Бутузов Валентин Фёдорович, Кадомцев Сергей Борисович, Позняк Эдуард Генрихович, Юдина Ирина Игоревна, издательство Просвещение, Москва, 2013 - 2022, страница 268, номер 1067, Решение 5
Решение 6. №1067 (с. 268)
Геометрия, 7-9 класс Учебник, авторы: Атанасян Левон Сергеевич, Бутузов Валентин Фёдорович, Кадомцев Сергей Борисович, Позняк Эдуард Генрихович, Юдина Ирина Игоревна, издательство Просвещение, Москва, 2013 - 2022, страница 268, номер 1067, Решение 6 Геометрия, 7-9 класс Учебник, авторы: Атанасян Левон Сергеевич, Бутузов Валентин Фёдорович, Кадомцев Сергей Борисович, Позняк Эдуард Генрихович, Юдина Ирина Игоревна, издательство Просвещение, Москва, 2013 - 2022, страница 268, номер 1067, Решение 6 (продолжение 2)
Решение 7. №1067 (с. 268)
Геометрия, 7-9 класс Учебник, авторы: Атанасян Левон Сергеевич, Бутузов Валентин Фёдорович, Кадомцев Сергей Борисович, Позняк Эдуард Генрихович, Юдина Ирина Игоревна, издательство Просвещение, Москва, 2013 - 2022, страница 268, номер 1067, Решение 7
Решение 8. №1067 (с. 268)
Геометрия, 7-9 класс Учебник, авторы: Атанасян Левон Сергеевич, Бутузов Валентин Фёдорович, Кадомцев Сергей Борисович, Позняк Эдуард Генрихович, Юдина Ирина Игоревна, издательство Просвещение, Москва, 2013 - 2022, страница 268, номер 1067, Решение 8 Геометрия, 7-9 класс Учебник, авторы: Атанасян Левон Сергеевич, Бутузов Валентин Фёдорович, Кадомцев Сергей Борисович, Позняк Эдуард Генрихович, Юдина Ирина Игоревна, издательство Просвещение, Москва, 2013 - 2022, страница 268, номер 1067, Решение 8 (продолжение 2)
Решение 9. №1067 (с. 268)
Геометрия, 7-9 класс Учебник, авторы: Атанасян Левон Сергеевич, Бутузов Валентин Фёдорович, Кадомцев Сергей Борисович, Позняк Эдуард Генрихович, Юдина Ирина Игоревна, издательство Просвещение, Москва, 2013 - 2022, страница 268, номер 1067, Решение 9 Геометрия, 7-9 класс Учебник, авторы: Атанасян Левон Сергеевич, Бутузов Валентин Фёдорович, Кадомцев Сергей Борисович, Позняк Эдуард Генрихович, Юдина Ирина Игоревна, издательство Просвещение, Москва, 2013 - 2022, страница 268, номер 1067, Решение 9 (продолжение 2)
Решение 10. №1067 (с. 268)

Пусть параллелограмм построен на векторах $\vec{a}$ и $\vec{b}$, выходящих из одной вершины. Тогда векторы его диагоналей равны сумме и разности этих векторов: $\vec{d_1} = \vec{a} + \vec{b}$ и $\vec{d_2} = \vec{a} - \vec{b}$. Длины диагоналей будут равны модулям (длинам) этих векторов-диагоналей.

По условию задачи, стороны параллелограмма заданы векторами $\vec{a} = 5\vec{p} + 2\vec{q}$ и $\vec{b} = \vec{p} - 3\vec{q}$.

Сначала найдем векторы диагоналей, выразив их через векторы $\vec{p}$ и $\vec{q}$:

$\vec{d_1} = \vec{a} + \vec{b} = (5\vec{p} + 2\vec{q}) + (\vec{p} - 3\vec{q}) = 6\vec{p} - \vec{q}$

$\vec{d_2} = \vec{a} - \vec{b} = (5\vec{p} + 2\vec{q}) - (\vec{p} - 3\vec{q}) = 5\vec{p} + 2\vec{q} - \vec{p} + 3\vec{q} = 4\vec{p} + 5\vec{q}$

Чтобы найти длины векторов $\vec{d_1}$ и $\vec{d_2}$, нужно вычислить корень из их скалярных квадратов: $|\vec{d}| = \sqrt{\vec{d}^2}$. Для этого нам потребуются значения $|\vec{p}|^2$, $|\vec{q}|^2$ и скалярное произведение $\vec{p} \cdot \vec{q}$.

Из условия известны модули векторов и угол между ними: $|\vec{p}| = 2\sqrt{2}$, $|\vec{q}| = 3$, $(\widehat{\vec{p}, \vec{q}}) = 45^\circ$.

Вычислим квадраты модулей:

$|\vec{p}|^2 = (2\sqrt{2})^2 = 4 \cdot 2 = 8$

$|\vec{q}|^2 = 3^2 = 9$

Вычислим скалярное произведение векторов $\vec{p}$ и $\vec{q}$ по формуле $\vec{p} \cdot \vec{q} = |\vec{p}||\vec{q}|\cos(\widehat{\vec{p}, \vec{q}})$:

$\vec{p} \cdot \vec{q} = 2\sqrt{2} \cdot 3 \cdot \cos(45^\circ) = 6\sqrt{2} \cdot \frac{\sqrt{2}}{2} = \frac{6 \cdot 2}{2} = 6$

Теперь можем найти длины диагоналей.

Длина первой диагонали $|\vec{d_1}|$:

$|\vec{d_1}|^2 = |6\vec{p} - \vec{q}|^2 = (6\vec{p} - \vec{q}) \cdot (6\vec{p} - \vec{q}) = 36(\vec{p} \cdot \vec{p}) - 12(\vec{p} \cdot \vec{q}) + (\vec{q} \cdot \vec{q}) = 36|\vec{p}|^2 - 12(\vec{p} \cdot \vec{q}) + |\vec{q}|^2$

Подставляем найденные значения:

$|\vec{d_1}|^2 = 36 \cdot 8 - 12 \cdot 6 + 9 = 288 - 72 + 9 = 225$

$|\vec{d_1}| = \sqrt{225} = 15$

Длина второй диагонали $|\vec{d_2}|$:

$|\vec{d_2}|^2 = |4\vec{p} + 5\vec{q}|^2 = (4\vec{p} + 5\vec{q}) \cdot (4\vec{p} + 5\vec{q}) = 16(\vec{p} \cdot \vec{p}) + 40(\vec{p} \cdot \vec{q}) + 25(\vec{q} \cdot \vec{q}) = 16|\vec{p}|^2 + 40(\vec{p} \cdot \vec{q}) + 25|\vec{q}|^2$

Подставляем найденные значения:

$|\vec{d_2}|^2 = 16 \cdot 8 + 40 \cdot 6 + 25 \cdot 9 = 128 + 240 + 225 = 593$

$|\vec{d_2}| = \sqrt{593}$

Ответ: длины диагоналей параллелограмма равны $15$ и $\sqrt{593}$.

Помогло решение? Оставьте отзыв в комментариях ниже.

Присоединяйтесь к Телеграм-группе @top_gdz

Присоединиться

Мы подготовили для вас ответ c подробным объяснением домашего задания по геометрии за 7-9 класс, для упражнения номер 1067 расположенного на странице 268 к учебнику 2013 - 2022 года издания для учащихся школ и гимназий.

Теперь на нашем сайте ГДЗ.ТОП вы всегда легко и бесплатно найдёте условие с правильным ответом на вопрос «Как решить ДЗ» и «Как сделать» задание по геометрии к упражнению №1067 (с. 268), авторов: Атанасян (Левон Сергеевич), Бутузов (Валентин Фёдорович), Кадомцев (Сергей Борисович), Позняк (Эдуард Генрихович), Юдина (Ирина Игоревна), ФГОС (старый) учебного пособия издательства Просвещение.