Номер 21, страница 267 - гдз по геометрии 7-9 класс учебник Атанасян, Бутузов

Геометрия, 7-9 класс Учебник, авторы: Атанасян Левон Сергеевич, Бутузов Валентин Фёдорович, Кадомцев Сергей Борисович, Позняк Эдуард Генрихович, Юдина Ирина Игоревна, издательство Просвещение, Москва, 2013 - 2022

Авторы: Атанасян Л. С., Бутузов В. Ф., Кадомцев С. Б., Позняк Э. Г., Юдина И. И.

Тип: Учебник

Издательство: Просвещение

Год издания: 2013 - 2022

Цвет обложки: синий, голубой

ISBN: 978-5-09-035930-6 (2016)

Рекомендовано Министерством образования и науки Российской Федерации

Популярные ГДЗ в 7 классе

Глава 11. Соотношения между сторонами и углами треугольника. Скалярное произведение векторов. Вопросы к главе 11 - номер 21, страница 267.

№21 (с. 267)
Условие. №21 (с. 267)
скриншот условия
Геометрия, 7-9 класс Учебник, авторы: Атанасян Левон Сергеевич, Бутузов Валентин Фёдорович, Кадомцев Сергей Борисович, Позняк Эдуард Генрихович, Юдина Ирина Игоревна, издательство Просвещение, Москва, 2013 - 2022, страница 267, номер 21, Условие

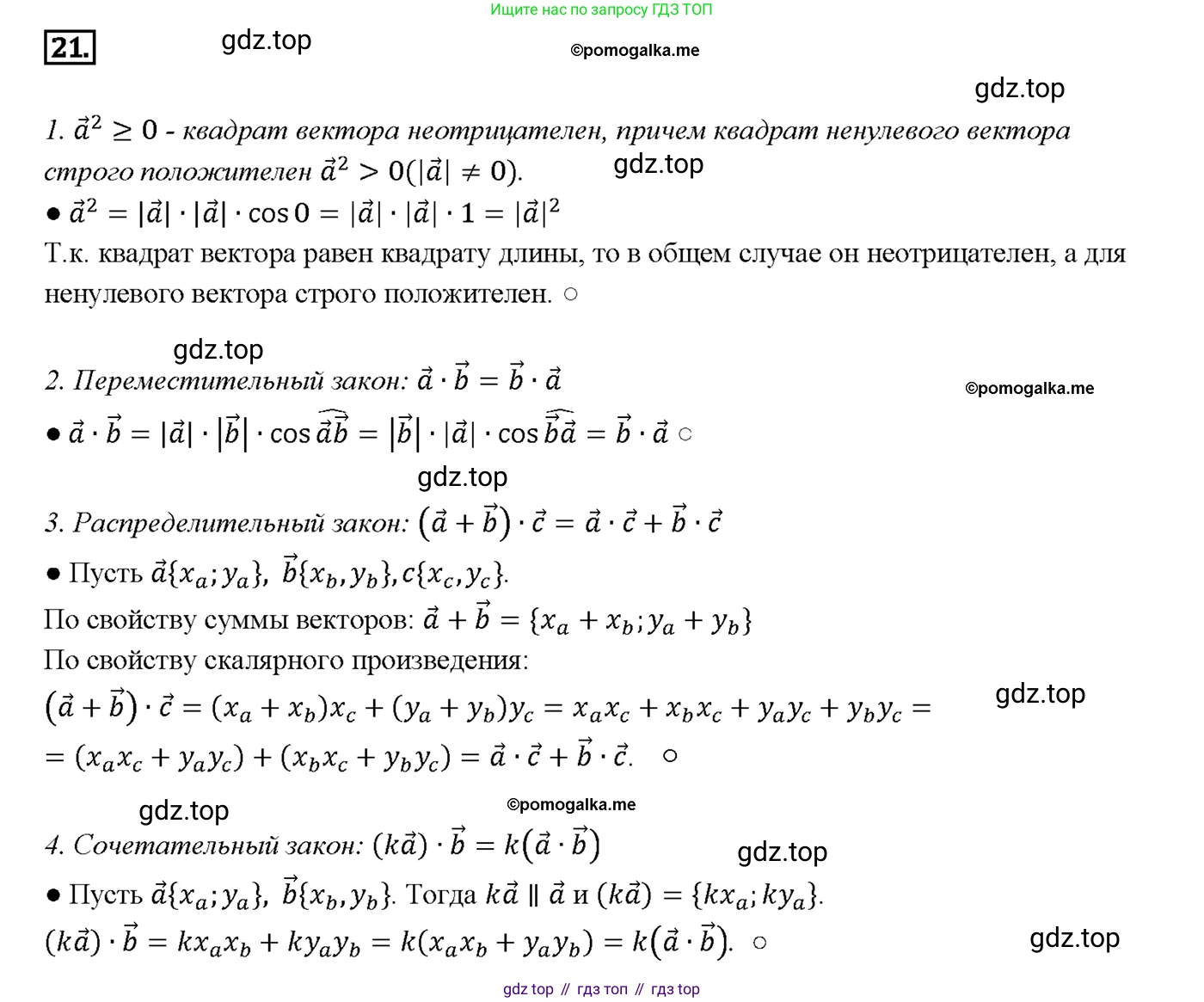
21 Сформулируйте и докажите утверждения о свойствах скалярного произведения векторов.

Решение 1. №21 (с. 267)
Геометрия, 7-9 класс Учебник, авторы: Атанасян Левон Сергеевич, Бутузов Валентин Фёдорович, Кадомцев Сергей Борисович, Позняк Эдуард Генрихович, Юдина Ирина Игоревна, издательство Просвещение, Москва, 2013 - 2022, страница 267, номер 21, Решение 1
Решение 4. №21 (с. 267)
Геометрия, 7-9 класс Учебник, авторы: Атанасян Левон Сергеевич, Бутузов Валентин Фёдорович, Кадомцев Сергей Борисович, Позняк Эдуард Генрихович, Юдина Ирина Игоревна, издательство Просвещение, Москва, 2013 - 2022, страница 267, номер 21, Решение 4
Решение 10. №21 (с. 267)

Скалярным произведением двух векторов $\vec{a}$ и $\vec{b}$ называется число (скаляр), равное произведению длин этих векторов на косинус угла между ними. Обозначается как $\vec{a} \cdot \vec{b}$ или $(\vec{a}, \vec{b})$.

Формула: $\vec{a} \cdot \vec{b} = |\vec{a}| \cdot |\vec{b}| \cdot \cos(\alpha)$, где $\alpha$ — угол между векторами $\vec{a}$ и $\vec{b}$.

Если векторы заданы своими координатами в прямоугольной системе координат, $\vec{a} = (x_1, y_1, z_1)$ и $\vec{b} = (x_2, y_2, z_2)$, то их скалярное произведение равно сумме произведений соответствующих координат:

$\vec{a} \cdot \vec{b} = x_1x_2 + y_1y_2 + z_1z_2$.

Докажем основные свойства скалярного произведения, используя его координатное представление.

1. Коммутативность (переместительное свойство)

Утверждение: Скалярное произведение векторов коммутативно, то есть для любых векторов $\vec{a}$ и $\vec{b}$ выполняется равенство $\vec{a} \cdot \vec{b} = \vec{b} \cdot \vec{a}$.

Доказательство:
Пусть векторы заданы своими координатами: $\vec{a} = (x_1, y_1, z_1)$ и $\vec{b} = (x_2, y_2, z_2)$. Найдем их скалярное произведение: $\vec{a} \cdot \vec{b} = x_1x_2 + y_1y_2 + z_1z_2$.
Теперь найдем скалярное произведение в обратном порядке: $\vec{b} \cdot \vec{a} = x_2x_1 + y_2y_1 + z_2z_1$.
Поскольку умножение действительных чисел коммутативно ($x_1x_2 = x_2x_1$, $y_1y_2 = y_2y_1$, $z_1z_2 = z_2z_1$), правые части этих выражений равны. Следовательно, равны и левые части: $\vec{a} \cdot \vec{b} = \vec{b} \cdot \vec{a}$. Что и требовалось доказать.

Ответ: Свойство коммутативности $\vec{a} \cdot \vec{b} = \vec{b} \cdot \vec{a}$ доказано.

2. Дистрибутивность относительно сложения векторов (распределительное свойство)

Утверждение: Скалярное произведение дистрибутивно относительно сложения векторов, то есть для любых векторов $\vec{a}$, $\vec{b}$ и $\vec{c}$ выполняется равенство $(\vec{a} + \vec{b}) \cdot \vec{c} = \vec{a} \cdot \vec{c} + \vec{b} \cdot \vec{c}$.

Доказательство:
Пусть векторы заданы координатами: $\vec{a} = (x_1, y_1, z_1)$, $\vec{b} = (x_2, y_2, z_2)$ и $\vec{c} = (x_3, y_3, z_3)$. Найдем координаты вектора-суммы: $\vec{a} + \vec{b} = (x_1 + x_2, y_1 + y_2, z_1 + z_2)$.
Теперь вычислим левую часть равенства: $(\vec{a} + \vec{b}) \cdot \vec{c} = (x_1 + x_2)x_3 + (y_1 + y_2)y_3 + (z_1 + z_2)z_3$.
Раскроем скобки, используя дистрибутивность умножения для действительных чисел: $x_1x_3 + x_2x_3 + y_1y_3 + y_2y_3 + z_1z_3 + z_2z_3$.
Сгруппируем слагаемые: $(x_1x_3 + y_1y_3 + z_1z_3) + (x_2x_3 + y_2y_3 + z_2z_3)$.
Первая скобка представляет собой $\vec{a} \cdot \vec{c}$, а вторая — $\vec{b} \cdot \vec{c}$. Таким образом, мы получили правую часть исходного равенства: $\vec{a} \cdot \vec{c} + \vec{b} \cdot \vec{c}$. Что и требовалось доказать.

Ответ: Свойство дистрибутивности $(\vec{a} + \vec{b}) \cdot \vec{c} = \vec{a} \cdot \vec{c} + \vec{b} \cdot \vec{c}$ доказано.

3. Сочетательное свойство относительно умножения на скаляр

Утверждение: Для любых векторов $\vec{a}$, $\vec{b}$ и любого числа (скаляра) $k$ выполняется равенство $(k\vec{a}) \cdot \vec{b} = k(\vec{a} \cdot \vec{b})$.

Доказательство:
Пусть векторы заданы координатами: $\vec{a} = (x_1, y_1, z_1)$ и $\vec{b} = (x_2, y_2, z_2)$. Найдем координаты вектора $k\vec{a}$: $k\vec{a} = (kx_1, ky_1, kz_1)$.
Вычислим левую часть равенства: $(k\vec{a}) \cdot \vec{b} = (kx_1)x_2 + (ky_1)y_2 + (kz_1)z_2$.
Используя ассоциативность умножения действительных чисел, вынесем скаляр $k$ за скобки: $k(x_1x_2) + k(y_1y_2) + k(z_1z_2) = k(x_1x_2 + y_1y_2 + z_1z_2)$.
Выражение в скобках является скалярным произведением $\vec{a} \cdot \vec{b}$. Таким образом, мы получили правую часть исходного равенства: $k(\vec{a} \cdot \vec{b})$. Что и требовалось доказать.

Ответ: Сочетательное свойство относительно умножения на скаляр $(k\vec{a}) \cdot \vec{b} = k(\vec{a} \cdot \vec{b})$ доказано.

4. Скалярный квадрат вектора

Утверждение: Скалярное произведение вектора на самого себя (скалярный квадрат) равно квадрату его длины (модуля): $\vec{a} \cdot \vec{a} = |\vec{a}|^2$.

Доказательство:
Это свойство следует непосредственно из обоих определений скалярного произведения.
1. Через косинус угла: Угол между вектором и им самим равен нулю. $\cos(0) = 1$. $\vec{a} \cdot \vec{a} = |\vec{a}| \cdot |\vec{a}| \cdot \cos(0) = |\vec{a}|^2 \cdot 1 = |\vec{a}|^2$.
2. Через координаты: Пусть вектор $\vec{a}$ имеет координаты $(x_1, y_1, z_1)$. $\vec{a} \cdot \vec{a} = x_1 \cdot x_1 + y_1 \cdot y_1 + z_1 \cdot z_1 = x_1^2 + y_1^2 + z_1^2$.
По определению, длина (модуль) вектора $\vec{a}$ вычисляется по формуле $|\vec{a}| = \sqrt{x_1^2 + y_1^2 + z_1^2}$. Следовательно, $|\vec{a}|^2 = (\sqrt{x_1^2 + y_1^2 + z_1^2})^2 = x_1^2 + y_1^2 + z_1^2$.
Оба способа приводят к одному и тому же результату. Что и требовалось доказать.

Следствие: Скалярный квадрат вектора всегда неотрицателен ($\vec{a}^2 \ge 0$) и равен нулю тогда и только тогда, когда вектор является нулевым ($\vec{a} = \vec{0}$).

Ответ: Свойство скалярного квадрата вектора $\vec{a} \cdot \vec{a} = |\vec{a}|^2$ доказано.

Помогло решение? Оставьте отзыв в комментариях ниже.

Присоединяйтесь к Телеграм-группе @top_gdz

Присоединиться

Мы подготовили для вас ответ c подробным объяснением домашего задания по геометрии за 7-9 класс, для упражнения номер 21 расположенного на странице 267 к учебнику 2013 - 2022 года издания для учащихся школ и гимназий.

Теперь на нашем сайте ГДЗ.ТОП вы всегда легко и бесплатно найдёте условие с правильным ответом на вопрос «Как решить ДЗ» и «Как сделать» задание по геометрии к упражнению №21 (с. 267), авторов: Атанасян (Левон Сергеевич), Бутузов (Валентин Фёдорович), Кадомцев (Сергей Борисович), Позняк (Эдуард Генрихович), Юдина (Ирина Игоревна), ФГОС (старый) учебного пособия издательства Просвещение.