Номер 542, страница 128 - гдз по алгебре 8 класс учебник Макарычев, Миндюк

Авторы: Макарычев Ю. Н., Миндюк Н. Г., Нешков К. И., Суворова С. Б.
Тип: Учебник
Издательство: Просвещение
Год издания: 2019 - 2022
Цвет обложки: белый, голубой, фиолетовый
ISBN: 978-5-09-087569-1
Допущено Министерством просвещения Российской Федерации
Популярные ГДЗ в 8 классе
22. Формула корней квадратного уравнения. § 8. Квадратное уравнение и его корни. Глава 3. Квадратные уравнения - номер 542, страница 128.
№542 (с. 128)
Условие. №542 (с. 128)
скриншот условия

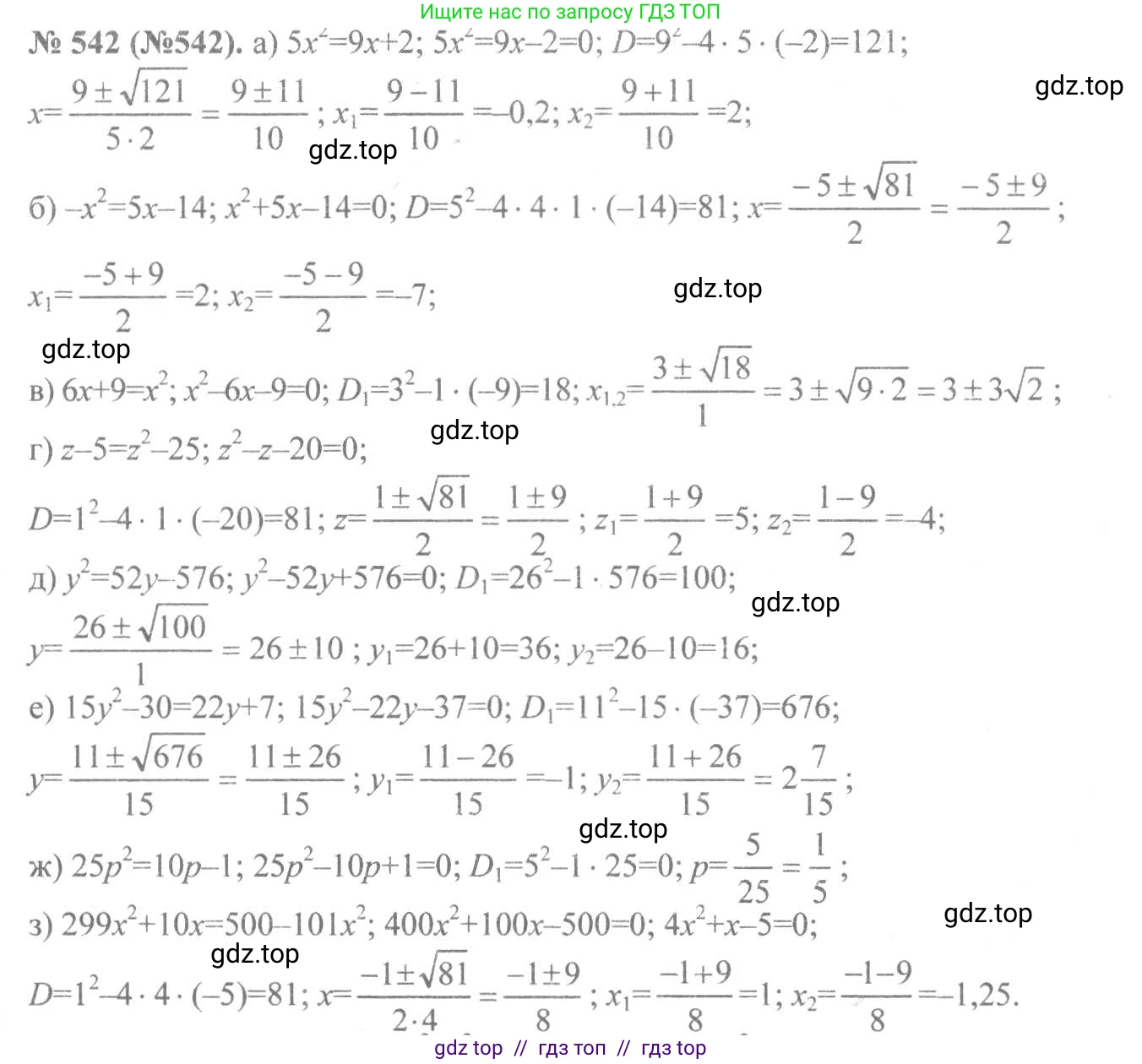
542. Решите уравнение:
а) $5x^2 = 9x + 2;$
б) $-x^2 = 5x - 14;$
в) $6x + 9 = x^2;$
г) $z - 5 = z^2 - 25;$
д) $y^2 = 52y - 576;$
е) $15y^2 - 30 = 22y + 7;$
ж) $25p^2 = 10p - 1;$
з) $299x^2 + 100x = 500 - 101x^2.$
Решение 1. №542 (с. 128)








Решение 2. №542 (с. 128)


Решение 3. №542 (с. 128)

Решение 4. №542 (с. 128)

Решение 5. №542 (с. 128)

Решение 6. №542 (с. 128)


Решение 8. №542 (с. 128)
а) Для решения уравнения $5x^2 = 9x + 2$ приведем его к стандартному виду $ax^2 + bx + c = 0$ путем переноса всех членов в левую часть:
$5x^2 - 9x - 2 = 0$
Здесь коэффициенты: $a = 5$, $b = -9$, $c = -2$.
Найдем дискриминант по формуле $D = b^2 - 4ac$:
$D = (-9)^2 - 4 \cdot 5 \cdot (-2) = 81 + 40 = 121$
Так как $D > 0$, уравнение имеет два различных корня. Найдем их по формуле $x_{1,2} = \frac{-b \pm \sqrt{D}}{2a}$:
$x_1 = \frac{-(-9) + \sqrt{121}}{2 \cdot 5} = \frac{9 + 11}{10} = \frac{20}{10} = 2$
$x_2 = \frac{-(-9) - \sqrt{121}}{2 \cdot 5} = \frac{9 - 11}{10} = \frac{-2}{10} = -0.2$
Ответ: $x_1 = 2, x_2 = -0.2$.
б) Для решения уравнения $-x^2 = 5x - 14$ приведем его к стандартному виду, перенеся все члены в одну сторону (например, вправо, чтобы коэффициент при $x^2$ стал положительным):
$0 = x^2 + 5x - 14$, или $x^2 + 5x - 14 = 0$
Коэффициенты: $a = 1$, $b = 5$, $c = -14$.
Найдем дискриминант $D = b^2 - 4ac$:
$D = 5^2 - 4 \cdot 1 \cdot (-14) = 25 + 56 = 81$
Найдем корни по формуле $x_{1,2} = \frac{-b \pm \sqrt{D}}{2a}$:
$x_1 = \frac{-5 + \sqrt{81}}{2 \cdot 1} = \frac{-5 + 9}{2} = \frac{4}{2} = 2$
$x_2 = \frac{-5 - \sqrt{81}}{2 \cdot 1} = \frac{-5 - 9}{2} = \frac{-14}{2} = -7$
Ответ: $x_1 = 2, x_2 = -7$.
в) Для решения уравнения $6x + 9 = x^2$ приведем его к стандартному виду:
$x^2 - 6x - 9 = 0$
Коэффициенты: $a = 1$, $b = -6$, $c = -9$.
Найдем дискриминант $D = b^2 - 4ac$:
$D = (-6)^2 - 4 \cdot 1 \cdot (-9) = 36 + 36 = 72$
Найдем корни по формуле $x_{1,2} = \frac{-b \pm \sqrt{D}}{2a}$. Так как $\sqrt{D} = \sqrt{72} = \sqrt{36 \cdot 2} = 6\sqrt{2}$:
$x_1 = \frac{-(-6) + 6\sqrt{2}}{2 \cdot 1} = \frac{6 + 6\sqrt{2}}{2} = 3 + 3\sqrt{2}$
$x_2 = \frac{-(-6) - 6\sqrt{2}}{2 \cdot 1} = \frac{6 - 6\sqrt{2}}{2} = 3 - 3\sqrt{2}$
Ответ: $x_1 = 3 + 3\sqrt{2}, x_2 = 3 - 3\sqrt{2}$.
г) Для решения уравнения $z - 5 = z^2 - 25$ приведем его к стандартному виду:
$z^2 - z - 25 + 5 = 0$
$z^2 - z - 20 = 0$
Коэффициенты: $a = 1$, $b = -1$, $c = -20$.
Найдем дискриминант $D = b^2 - 4ac$:
$D = (-1)^2 - 4 \cdot 1 \cdot (-20) = 1 + 80 = 81$
Найдем корни по формуле $z_{1,2} = \frac{-b \pm \sqrt{D}}{2a}$:
$z_1 = \frac{-(-1) + \sqrt{81}}{2 \cdot 1} = \frac{1 + 9}{2} = \frac{10}{2} = 5$
$z_2 = \frac{-(-1) - \sqrt{81}}{2 \cdot 1} = \frac{1 - 9}{2} = \frac{-8}{2} = -4$
Ответ: $z_1 = 5, z_2 = -4$.
д) Для решения уравнения $y^2 = 52y - 576$ приведем его к стандартному виду:
$y^2 - 52y + 576 = 0$
Коэффициенты: $a = 1$, $b = -52$, $c = 576$.
Найдем дискриминант $D = b^2 - 4ac$:
$D = (-52)^2 - 4 \cdot 1 \cdot 576 = 2704 - 2304 = 400$
Найдем корни по формуле $y_{1,2} = \frac{-b \pm \sqrt{D}}{2a}$:
$y_1 = \frac{-(-52) + \sqrt{400}}{2 \cdot 1} = \frac{52 + 20}{2} = \frac{72}{2} = 36$
$y_2 = \frac{-(-52) - \sqrt{400}}{2 \cdot 1} = \frac{52 - 20}{2} = \frac{32}{2} = 16$
Ответ: $y_1 = 36, y_2 = 16$.
е) Для решения уравнения $15y^2 - 30 = 22y + 7$ приведем его к стандартному виду:
$15y^2 - 22y - 30 - 7 = 0$
$15y^2 - 22y - 37 = 0$
Коэффициенты: $a = 15$, $b = -22$, $c = -37$.
Найдем дискриминант $D = b^2 - 4ac$:
$D = (-22)^2 - 4 \cdot 15 \cdot (-37) = 484 + 2220 = 2704$
Найдем корни по формуле $y_{1,2} = \frac{-b \pm \sqrt{D}}{2a}$. Так как $\sqrt{D} = \sqrt{2704} = 52$:
$y_1 = \frac{-(-22) + 52}{2 \cdot 15} = \frac{22 + 52}{30} = \frac{74}{30} = \frac{37}{15}$
$y_2 = \frac{-(-22) - 52}{2 \cdot 15} = \frac{22 - 52}{30} = \frac{-30}{30} = -1$
Ответ: $y_1 = \frac{37}{15}, y_2 = -1$.
ж) Для решения уравнения $25p^2 = 10p - 1$ приведем его к стандартному виду:
$25p^2 - 10p + 1 = 0$
Можно заметить, что левая часть является полным квадратом разности: $(5p)^2 - 2 \cdot 5p \cdot 1 + 1^2 = (5p - 1)^2$.
$(5p - 1)^2 = 0$
$5p - 1 = 0$
$5p = 1$
$p = \frac{1}{5}$
Уравнение имеет один корень кратности 2.
Ответ: $p = \frac{1}{5}$.
з) Для решения уравнения $299x^2 + 100x = 500 - 101x^2$ приведем его к стандартному виду:
$299x^2 + 101x^2 + 100x - 500 = 0$
Приведем подобные слагаемые:
$400x^2 + 100x - 500 = 0$
Для упрощения вычислений разделим все члены уравнения на 100:
$4x^2 + x - 5 = 0$
Коэффициенты: $a = 4$, $b = 1$, $c = -5$.
Найдем дискриминант $D = b^2 - 4ac$:
$D = 1^2 - 4 \cdot 4 \cdot (-5) = 1 + 80 = 81$
Найдем корни по формуле $x_{1,2} = \frac{-b \pm \sqrt{D}}{2a}$:
$x_1 = \frac{-1 + \sqrt{81}}{2 \cdot 4} = \frac{-1 + 9}{8} = \frac{8}{8} = 1$
$x_2 = \frac{-1 - \sqrt{81}}{2 \cdot 4} = \frac{-1 - 9}{8} = \frac{-10}{8} = -\frac{5}{4}$
Ответ: $x_1 = 1, x_2 = -\frac{5}{4}$.
Другие задания:
Помогло решение? Оставьте отзыв в комментариях ниже.
Мы подготовили для вас ответ c подробным объяснением домашего задания по алгебре за 8 класс, для упражнения номер 542 расположенного на странице 128 к учебнику 2019 - 2022 года издания для учащихся школ и гимназий.
Теперь на нашем сайте ГДЗ.ТОП вы всегда легко и бесплатно найдёте условие с правильным ответом на вопрос «Как решить ДЗ» и «Как сделать» задание по алгебре к упражнению №542 (с. 128), авторов: Макарычев (Юрий Николаевич), Миндюк (Нора Григорьевна), Нешков (Константин Иванович), Суворова (Светлана Борисовна), ФГОС (старый) учебного пособия издательства Просвещение.