Номер 539, страница 127 - гдз по алгебре 8 класс учебник Макарычев, Миндюк

Авторы: Макарычев Ю. Н., Миндюк Н. Г., Нешков К. И., Суворова С. Б.
Тип: Учебник
Издательство: Просвещение
Год издания: 2019 - 2022
Цвет обложки: белый, голубой, фиолетовый
ISBN: 978-5-09-087569-1
Допущено Министерством просвещения Российской Федерации
Популярные ГДЗ в 8 классе
22. Формула корней квадратного уравнения. § 8. Квадратное уравнение и его корни. Глава 3. Квадратные уравнения - номер 539, страница 127.
№539 (с. 127)
Условие. №539 (с. 127)
скриншот условия

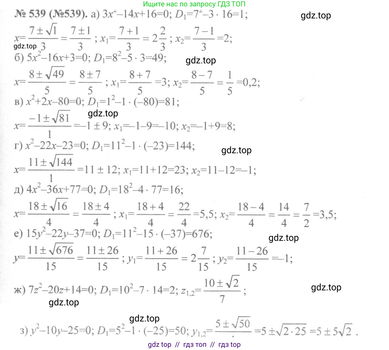
539. Решите уравнение, используя формулу (II):
а) $3x^2 - 14x + 16 = 0;$
б) $5x^2 - 16x + 3 = 0;$
в) $x^2 + 2x - 80 = 0;$
г) $x^2 - 22x - 23 = 0;$
д) $4x^2 - 36x + 77 = 0;$
е) $15y^2 - 22y - 37 = 0;$
ж) $7z^2 - 20z + 14 = 0;$
з) $y^2 - 10y - 25 = 0.$
Решение 1. №539 (с. 127)








Решение 2. №539 (с. 127)


Решение 3. №539 (с. 127)

Решение 4. №539 (с. 127)

Решение 5. №539 (с. 127)


Решение 6. №539 (с. 127)


Решение 8. №539 (с. 127)
а) $3x^2 - 14x + 16 = 0$
Для решения квадратных уравнений с четным вторым коэффициентом ($b = 2k$) используется так называемая формула (II), которая упрощает вычисления. Корни находятся по формуле: $x_{1,2} = \frac{-k \pm \sqrt{D_1}}{a}$, где $k = \frac{b}{2}$ и $D_1 = k^2 - ac$.
В данном уравнении коэффициенты: $a=3$, $b=-14$, $c=16$.
Находим $k$: $k = \frac{-14}{2} = -7$.
Вычисляем упрощенный дискриминант $D_1$: $D_1 = (-7)^2 - 3 \cdot 16 = 49 - 48 = 1$.
Находим корни: $x_{1,2} = \frac{-(-7) \pm \sqrt{1}}{3} = \frac{7 \pm 1}{3}$.
$x_1 = \frac{7-1}{3} = \frac{6}{3} = 2$.
$x_2 = \frac{7+1}{3} = \frac{8}{3}$.
Ответ: $2; \frac{8}{3}$.
б) $5x^2 - 16x + 3 = 0$
Решаем по формуле (II). Коэффициенты: $a=5$, $b=-16$, $c=3$.
$k = \frac{-16}{2} = -8$.
$D_1 = k^2 - ac = (-8)^2 - 5 \cdot 3 = 64 - 15 = 49$.
$x_{1,2} = \frac{-(-8) \pm \sqrt{49}}{5} = \frac{8 \pm 7}{5}$.
$x_1 = \frac{8-7}{5} = \frac{1}{5}$.
$x_2 = \frac{8+7}{5} = \frac{15}{5} = 3$.
Ответ: $\frac{1}{5}; 3$.
в) $x^2 + 2x - 80 = 0$
Решаем по формуле (II). Коэффициенты: $a=1$, $b=2$, $c=-80$.
$k = \frac{2}{2} = 1$.
$D_1 = k^2 - ac = 1^2 - 1 \cdot (-80) = 1 + 80 = 81$.
$x_{1,2} = \frac{-1 \pm \sqrt{81}}{1} = -1 \pm 9$.
$x_1 = -1 - 9 = -10$.
$x_2 = -1 + 9 = 8$.
Ответ: $-10; 8$.
г) $x^2 - 22x - 23 = 0$
Решаем по формуле (II). Коэффициенты: $a=1$, $b=-22$, $c=-23$.
$k = \frac{-22}{2} = -11$.
$D_1 = k^2 - ac = (-11)^2 - 1 \cdot (-23) = 121 + 23 = 144$.
$x_{1,2} = \frac{-(-11) \pm \sqrt{144}}{1} = 11 \pm 12$.
$x_1 = 11 - 12 = -1$.
$x_2 = 11 + 12 = 23$.
Ответ: $-1; 23$.
д) $4x^2 - 36x + 77 = 0$
Решаем по формуле (II). Коэффициенты: $a=4$, $b=-36$, $c=77$.
$k = \frac{-36}{2} = -18$.
$D_1 = k^2 - ac = (-18)^2 - 4 \cdot 77 = 324 - 308 = 16$.
$x_{1,2} = \frac{-(-18) \pm \sqrt{16}}{4} = \frac{18 \pm 4}{4}$.
$x_1 = \frac{18-4}{4} = \frac{14}{4} = \frac{7}{2}$.
$x_2 = \frac{18+4}{4} = \frac{22}{4} = \frac{11}{2}$.
Ответ: $\frac{7}{2}; \frac{11}{2}$.
е) $15y^2 - 22y - 37 = 0$
Решаем по формуле (II). Коэффициенты: $a=15$, $b=-22$, $c=-37$.
$k = \frac{-22}{2} = -11$.
$D_1 = k^2 - ac = (-11)^2 - 15 \cdot (-37) = 121 + 555 = 676$.
$y_{1,2} = \frac{-(-11) \pm \sqrt{676}}{15} = \frac{11 \pm 26}{15}$.
$y_1 = \frac{11-26}{15} = \frac{-15}{15} = -1$.
$y_2 = \frac{11+26}{15} = \frac{37}{15}$.
Ответ: $-1; \frac{37}{15}$.
ж) $7z^2 - 20z + 14 = 0$
Решаем по формуле (II). Коэффициенты: $a=7$, $b=-20$, $c=14$.
$k = \frac{-20}{2} = -10$.
$D_1 = k^2 - ac = (-10)^2 - 7 \cdot 14 = 100 - 98 = 2$.
$z_{1,2} = \frac{-(-10) \pm \sqrt{2}}{7} = \frac{10 \pm \sqrt{2}}{7}$.
Ответ: $\frac{10 \pm \sqrt{2}}{7}$.
з) $y^2 - 10y - 25 = 0$
Решаем по формуле (II). Коэффициенты: $a=1$, $b=-10$, $c=-25$.
$k = \frac{-10}{2} = -5$.
$D_1 = k^2 - ac = (-5)^2 - 1 \cdot (-25) = 25 + 25 = 50$.
$y_{1,2} = \frac{-(-5) \pm \sqrt{50}}{1} = 5 \pm \sqrt{25 \cdot 2} = 5 \pm 5\sqrt{2}$.
Ответ: $5 \pm 5\sqrt{2}$.
Другие задания:
Помогло решение? Оставьте отзыв в комментариях ниже.
Мы подготовили для вас ответ c подробным объяснением домашего задания по алгебре за 8 класс, для упражнения номер 539 расположенного на странице 127 к учебнику 2019 - 2022 года издания для учащихся школ и гимназий.
Теперь на нашем сайте ГДЗ.ТОП вы всегда легко и бесплатно найдёте условие с правильным ответом на вопрос «Как решить ДЗ» и «Как сделать» задание по алгебре к упражнению №539 (с. 127), авторов: Макарычев (Юрий Николаевич), Миндюк (Нора Григорьевна), Нешков (Константин Иванович), Суворова (Светлана Борисовна), ФГОС (старый) учебного пособия издательства Просвещение.