Номер 551, страница 129 - гдз по алгебре 8 класс учебник Макарычев, Миндюк

Авторы: Макарычев Ю. Н., Миндюк Н. Г., Нешков К. И., Суворова С. Б.
Тип: Учебник
Издательство: Просвещение
Год издания: 2019 - 2022
Цвет обложки: белый, голубой, фиолетовый
ISBN: 978-5-09-087569-1
Допущено Министерством просвещения Российской Федерации
Популярные ГДЗ в 8 классе
22. Формула корней квадратного уравнения. § 8. Квадратное уравнение и его корни. Глава 3. Квадратные уравнения - номер 551, страница 129.
№551 (с. 129)
Условие. №551 (с. 129)
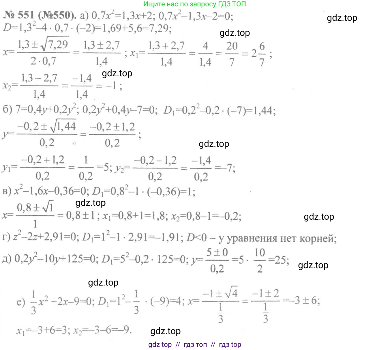
скриншот условия

551. Решите уравнение:
а) $0,7x^2 = 1,3x + 2;$
б) $7 = 0,4y + \frac{1}{5}y^2;$
в) $x^2 - 1,6x - 0,36 = 0;$
г) $z^2 - 2z + 2,91 = 0;$
д) $0,2y^2 - 10y + 125 = 0;$
е) $\frac{1}{3}x^2 + 2x - 9 = 0.$
Решение 1. №551 (с. 129)






Решение 2. №551 (с. 129)

Решение 3. №551 (с. 129)

Решение 4. №551 (с. 129)

Решение 5. №551 (с. 129)


Решение 6. №551 (с. 129)


Решение 8. №551 (с. 129)
а) $0,7x^2 = 1,3x + 2$
Приведем уравнение к стандартному виду $ax^2 + bx + c = 0$, перенеся все члены в левую часть:
$0,7x^2 - 1,3x - 2 = 0$
Чтобы упростить вычисления, избавимся от десятичных дробей, умножив обе части уравнения на 10:
$10 \cdot (0,7x^2 - 1,3x - 2) = 10 \cdot 0$
$7x^2 - 13x - 20 = 0$
Теперь решим полученное квадратное уравнение с помощью дискриминанта. Коэффициенты: $a=7, b=-13, c=-20$.
Формула дискриминанта: $D = b^2 - 4ac$.
$D = (-13)^2 - 4 \cdot 7 \cdot (-20) = 169 + 560 = 729$
Поскольку $D > 0$, уравнение имеет два действительных корня. Найдем их по формуле $x_{1,2} = \frac{-b \pm \sqrt{D}}{2a}$:
$x_1 = \frac{-(-13) + \sqrt{729}}{2 \cdot 7} = \frac{13 + 27}{14} = \frac{40}{14} = \frac{20}{7}$
$x_2 = \frac{-(-13) - \sqrt{729}}{2 \cdot 7} = \frac{13 - 27}{14} = \frac{-14}{14} = -1$
Ответ: $x_1 = \frac{20}{7}, x_2 = -1$.
б) $7 = 0,4y + \frac{1}{5}y^2$
Перепишем уравнение в стандартном виде $ay^2 + by + c = 0$:
$\frac{1}{5}y^2 + 0,4y - 7 = 0$
Преобразуем коэффициенты к одному виду. Заметим, что $\frac{1}{5} = 0,2$.
$0,2y^2 + 0,4y - 7 = 0$
Умножим все уравнение на 10, чтобы избавиться от десятичных дробей:
$2y^2 + 4y - 70 = 0$
Можно упростить уравнение, разделив все его члены на 2:
$y^2 + 2y - 35 = 0$
Решим уравнение через дискриминант. Коэффициенты: $a=1, b=2, c=-35$.
$D = b^2 - 4ac = 2^2 - 4 \cdot 1 \cdot (-35) = 4 + 140 = 144$
Корни уравнения: $y_{1,2} = \frac{-b \pm \sqrt{D}}{2a}$.
$y_1 = \frac{-2 + \sqrt{144}}{2 \cdot 1} = \frac{-2 + 12}{2} = \frac{10}{2} = 5$
$y_2 = \frac{-2 - \sqrt{144}}{2 \cdot 1} = \frac{-2 - 12}{2} = \frac{-14}{2} = -7$
Ответ: $y_1 = 5, y_2 = -7$.
в) $x^2 - 1,6x - 0,36 = 0$
Уравнение уже имеет стандартный вид. Для удобства вычислений умножим обе части на 100:
$100x^2 - 160x - 36 = 0$
Все коэффициенты делятся на 4, разделим уравнение на 4:
$25x^2 - 40x - 9 = 0$
Найдем дискриминант. Коэффициенты: $a=25, b=-40, c=-9$.
$D = b^2 - 4ac = (-40)^2 - 4 \cdot 25 \cdot (-9) = 1600 + 900 = 2500$
Корни уравнения: $x_{1,2} = \frac{-b \pm \sqrt{D}}{2a}$.
$x_1 = \frac{-(-40) + \sqrt{2500}}{2 \cdot 25} = \frac{40 + 50}{50} = \frac{90}{50} = \frac{9}{5} = 1,8$
$x_2 = \frac{-(-40) - \sqrt{2500}}{2 \cdot 25} = \frac{40 - 50}{50} = \frac{-10}{50} = -\frac{1}{5} = -0,2$
Ответ: $x_1 = 1,8, x_2 = -0,2$.
г) $z^2 - 2z + 2,91 = 0$
Уравнение представлено в стандартном виде. Найдем его дискриминант. Коэффициенты: $a=1, b=-2, c=2,91$.
$D = b^2 - 4ac = (-2)^2 - 4 \cdot 1 \cdot 2,91 = 4 - 11,64 = -7,64$
Так как дискриминант $D < 0$, уравнение не имеет действительных корней.
Ответ: нет действительных корней.
д) $0,2y^2 - 10y + 125 = 0$
Умножим обе части уравнения на 5, чтобы избавиться от десятичной дроби:
$5 \cdot (0,2y^2 - 10y + 125) = 5 \cdot 0$
$y^2 - 50y + 625 = 0$
Полученное выражение является полным квадратом разности $(a-b)^2 = a^2 - 2ab + b^2$.
$(y)^2 - 2 \cdot y \cdot 25 + (25)^2 = (y - 25)^2 = 0$
Отсюда следует, что $y - 25 = 0$.
$y = 25$
Также можно было найти дискриминант для уравнения $y^2 - 50y + 625 = 0$:
$D = (-50)^2 - 4 \cdot 1 \cdot 625 = 2500 - 2500 = 0$
При $D=0$ уравнение имеет один корень: $y = \frac{-b}{2a} = \frac{-(-50)}{2 \cdot 1} = \frac{50}{2} = 25$.
Ответ: $y = 25$.
е) $\frac{1}{3}x^2 + 2x - 9 = 0$
Чтобы избавиться от дроби, умножим обе части уравнения на 3:
$3 \cdot (\frac{1}{3}x^2 + 2x - 9) = 3 \cdot 0$
$x^2 + 6x - 27 = 0$
Решим уравнение с помощью дискриминанта. Коэффициенты: $a=1, b=6, c=-27$.
$D = b^2 - 4ac = 6^2 - 4 \cdot 1 \cdot (-27) = 36 + 108 = 144$
Корни уравнения: $x_{1,2} = \frac{-b \pm \sqrt{D}}{2a}$.
$x_1 = \frac{-6 + \sqrt{144}}{2 \cdot 1} = \frac{-6 + 12}{2} = \frac{6}{2} = 3$
$x_2 = \frac{-6 - \sqrt{144}}{2 \cdot 1} = \frac{-6 - 12}{2} = \frac{-18}{2} = -9$
Ответ: $x_1 = 3, x_2 = -9$.
Другие задания:
Помогло решение? Оставьте отзыв в комментариях ниже.
Мы подготовили для вас ответ c подробным объяснением домашего задания по алгебре за 8 класс, для упражнения номер 551 расположенного на странице 129 к учебнику 2019 - 2022 года издания для учащихся школ и гимназий.
Теперь на нашем сайте ГДЗ.ТОП вы всегда легко и бесплатно найдёте условие с правильным ответом на вопрос «Как решить ДЗ» и «Как сделать» задание по алгебре к упражнению №551 (с. 129), авторов: Макарычев (Юрий Николаевич), Миндюк (Нора Григорьевна), Нешков (Константин Иванович), Суворова (Светлана Борисовна), ФГОС (старый) учебного пособия издательства Просвещение.