Номер 600, страница 141 - гдз по алгебре 8 класс учебник Макарычев, Миндюк

Авторы: Макарычев Ю. Н., Миндюк Н. Г., Нешков К. И., Суворова С. Б.
Тип: Учебник
Издательство: Просвещение
Год издания: 2019 - 2022
Цвет обложки: белый, голубой, фиолетовый
ISBN: 978-5-09-087569-1
Допущено Министерством просвещения Российской Федерации
Популярные ГДЗ в 8 классе
25. Решение дробных рациональных уравнений. § 9. Дробные рациональные уравнения. Глава 3. Квадратные уравнения - номер 600, страница 141.
№600 (с. 141)
Условие. №600 (с. 141)
скриншот условия

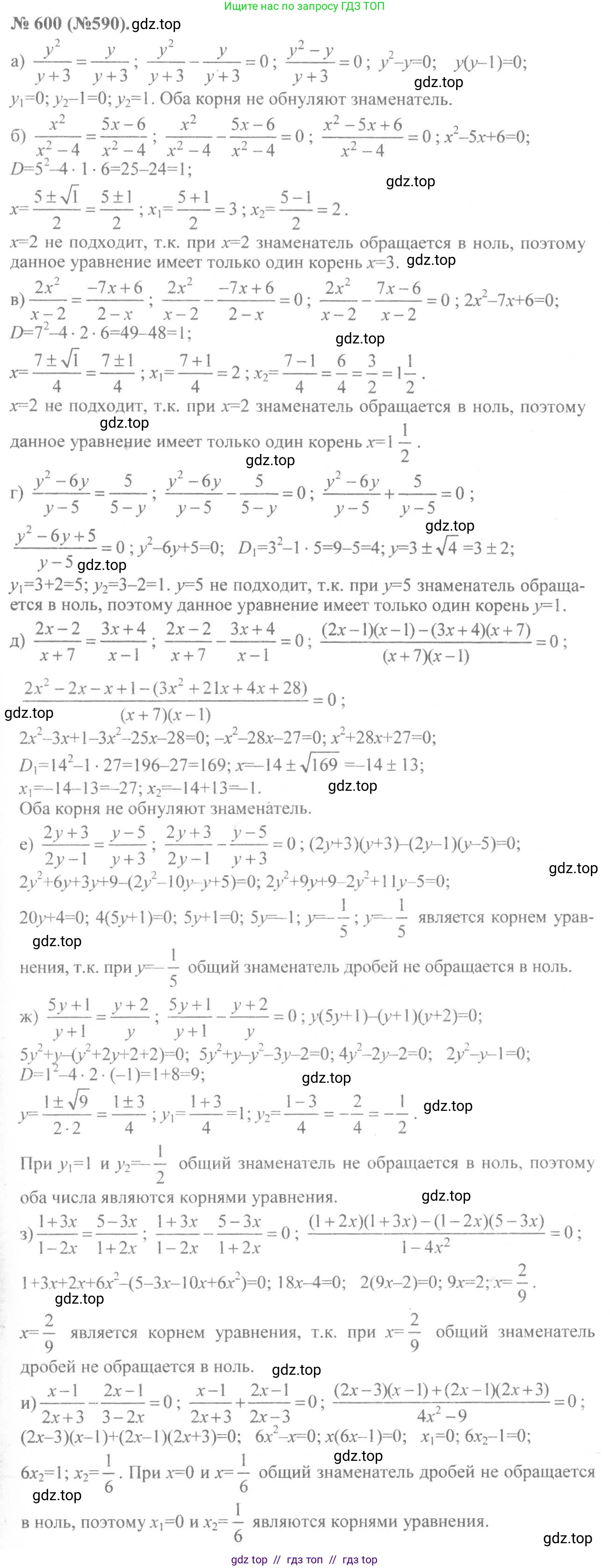
600. Найдите корни уравнения:
а) $ \frac{y^2}{y+3} = \frac{y}{y+3} $;
б) $ \frac{x^2}{x^2-4} = \frac{5x-6}{x^2-4} $;
в) $ \frac{2x^2}{x-2} = \frac{-7x+6}{2-x} $;
г) $ \frac{y^2-6y}{y-5} = \frac{5}{5-y} $;
д) $ \frac{2x-1}{x+7} = \frac{3x+4}{x-1} $;
е) $ \frac{2y+3}{2y-1} = \frac{y-5}{y+3} $;
ж) $ \frac{5y+1}{y+1} = \frac{y+2}{y} $;
з) $ \frac{1+3x}{1-2x} = \frac{5-3x}{1+2x} $;
и) $ \frac{x-1}{2x+3} - \frac{2x-1}{3-2x} = 0 $.
Решение 1. №600 (с. 141)









Решение 2. №600 (с. 141)



Решение 3. №600 (с. 141)

Решение 4. №600 (с. 141)

Решение 5. №600 (с. 141)


Решение 6. №600 (с. 141)




Решение 8. №600 (с. 141)
а) $\frac{y^2}{y+3} = \frac{y}{y+3}$
Область допустимых значений (ОДЗ): знаменатель не должен быть равен нулю, поэтому $y+3 \neq 0$, то есть $y \neq -3$.
Так как знаменатели в обеих частях уравнения равны, можем приравнять числители:
$y^2 = y$
Перенесем все члены уравнения в левую часть:
$y^2 - y = 0$
Вынесем общий множитель $y$ за скобки:
$y(y - 1) = 0$
Произведение равно нулю, когда хотя бы один из множителей равен нулю. Отсюда получаем два корня:
$y_1 = 0$
$y_2 = 1$
Оба корня ($0$ и $1$) удовлетворяют ОДЗ ($y \neq -3$).
Ответ: 0; 1.
б) $\frac{x^2}{x^2-4} = \frac{5x-6}{x^2-4}$
ОДЗ: $x^2 - 4 \neq 0 \implies (x-2)(x+2) \neq 0$, следовательно $x \neq 2$ и $x \neq -2$.
Приравниваем числители, так как знаменатели равны:
$x^2 = 5x - 6$
Переносим все члены в левую часть, чтобы получить квадратное уравнение:
$x^2 - 5x + 6 = 0$
Решаем уравнение. По теореме Виета, сумма корней равна 5, а их произведение равно 6. Легко подобрать корни:
$x_1 = 2$, $x_2 = 3$
Проверяем, соответствуют ли корни ОДЗ. Корень $x_1 = 2$ не удовлетворяет условию $x \neq 2$, поэтому это посторонний корень. Корень $x_2 = 3$ удовлетворяет ОДЗ.
Ответ: 3.
в) $\frac{2x^2}{x-2} = \frac{-7x+6}{2-x}$
ОДЗ: $x-2 \neq 0$ и $2-x \neq 0$. Оба условия означают, что $x \neq 2$.
Заметим, что $2-x = -(x-2)$. Подставим это в уравнение:
$\frac{2x^2}{x-2} = \frac{-7x+6}{-(x-2)}$
$\frac{2x^2}{x-2} = -\frac{-7x+6}{x-2}$
$\frac{2x^2}{x-2} = \frac{7x-6}{x-2}$
Теперь приравниваем числители:
$2x^2 = 7x - 6$
$2x^2 - 7x + 6 = 0$
Решаем квадратное уравнение через дискриминант: $D = b^2 - 4ac = (-7)^2 - 4 \cdot 2 \cdot 6 = 49 - 48 = 1$.
$x_{1,2} = \frac{-b \pm \sqrt{D}}{2a} = \frac{7 \pm \sqrt{1}}{2 \cdot 2} = \frac{7 \pm 1}{4}$
$x_1 = \frac{7+1}{4} = \frac{8}{4} = 2$
$x_2 = \frac{7-1}{4} = \frac{6}{4} = 1.5$
Корень $x_1 = 2$ не удовлетворяет ОДЗ ($x \neq 2$), поэтому является посторонним. Корень $x_2 = 1.5$ удовлетворяет ОДЗ.
Ответ: 1,5.
г) $\frac{y^2-6y}{y-5} = \frac{5}{5-y}$
ОДЗ: $y-5 \neq 0$ и $5-y \neq 0$. Оба условия означают, что $y \neq 5$.
Преобразуем знаменатель правой части: $5-y = -(y-5)$.
$\frac{y^2-6y}{y-5} = \frac{5}{-(y-5)}$
$\frac{y^2-6y}{y-5} = -\frac{5}{y-5}$
Перенесем дробь из правой части влево:
$\frac{y^2-6y}{y-5} + \frac{5}{y-5} = 0$
$\frac{y^2-6y+5}{y-5} = 0$
Дробь равна нулю, когда ее числитель равен нулю, а знаменатель не равен нулю. Приравниваем числитель к нулю:
$y^2 - 6y + 5 = 0$
По теореме Виета: $y_1 = 1$, $y_2 = 5$.
Корень $y_2 = 5$ не удовлетворяет ОДЗ ($y \neq 5$). Корень $y_1 = 1$ удовлетворяет ОДЗ.
Ответ: 1.
д) $\frac{2x-1}{x+7} = \frac{3x+4}{x-1}$
ОДЗ: $x+7 \neq 0 \implies x \neq -7$ и $x-1 \neq 0 \implies x \neq 1$.
Воспользуемся свойством пропорции (перекрестное умножение):
$(2x-1)(x-1) = (3x+4)(x+7)$
Раскроем скобки:
$2x^2 - 2x - x + 1 = 3x^2 + 21x + 4x + 28$
$2x^2 - 3x + 1 = 3x^2 + 25x + 28$
Перенесем все члены в правую часть:
$0 = (3x^2 - 2x^2) + (25x + 3x) + (28 - 1)$
$x^2 + 28x + 27 = 0$
По теореме Виета, $x_1 = -1$, $x_2 = -27$.
Оба корня удовлетворяют ОДЗ.
Ответ: -27; -1.
е) $\frac{2y+3}{2y-1} = \frac{y-5}{y+3}$
ОДЗ: $2y-1 \neq 0 \implies y \neq 0.5$ и $y+3 \neq 0 \implies y \neq -3$.
Применим перекрестное умножение:
$(2y+3)(y+3) = (y-5)(2y-1)$
$2y^2 + 6y + 3y + 9 = 2y^2 - y - 10y + 5$
$2y^2 + 9y + 9 = 2y^2 - 11y + 5$
Сократим $2y^2$ в обеих частях и соберем переменные слева, а константы справа:
$9y + 11y = 5 - 9$
$20y = -4$
$y = -\frac{4}{20} = -\frac{1}{5} = -0.2$
Корень $y = -0.2$ удовлетворяет ОДЗ.
Ответ: -0,2.
ж) $\frac{5y+1}{y+1} = \frac{y+2}{y}$
ОДЗ: $y+1 \neq 0 \implies y \neq -1$ и $y \neq 0$.
Применим перекрестное умножение:
$y(5y+1) = (y+1)(y+2)$
$5y^2 + y = y^2 + 2y + y + 2$
$5y^2 + y = y^2 + 3y + 2$
Перенесем все члены влево:
$4y^2 - 2y - 2 = 0$
Разделим уравнение на 2:
$2y^2 - y - 1 = 0$
Решаем через дискриминант: $D = (-1)^2 - 4 \cdot 2 \cdot (-1) = 1 + 8 = 9$.
$y_{1,2} = \frac{1 \pm \sqrt{9}}{4} = \frac{1 \pm 3}{4}$
$y_1 = \frac{1+3}{4} = 1$
$y_2 = \frac{1-3}{4} = -\frac{2}{4} = -0.5$
Оба корня удовлетворяют ОДЗ.
Ответ: -0,5; 1.
з) $\frac{1+3x}{1-2x} = \frac{5-3x}{1+2x}$
ОДЗ: $1-2x \neq 0 \implies x \neq 0.5$ и $1+2x \neq 0 \implies x \neq -0.5$.
Применим перекрестное умножение:
$(1+3x)(1+2x) = (5-3x)(1-2x)$
$1 + 2x + 3x + 6x^2 = 5 - 10x - 3x + 6x^2$
$1 + 5x + 6x^2 = 5 - 13x + 6x^2$
Сократим $6x^2$ и решим линейное уравнение:
$5x + 13x = 5 - 1$
$18x = 4$
$x = \frac{4}{18} = \frac{2}{9}$
Корень $x = \frac{2}{9}$ удовлетворяет ОДЗ.
Ответ: $\frac{2}{9}$.
и) $\frac{x-1}{2x+3} - \frac{2x-1}{3-2x} = 0$
ОДЗ: $2x+3 \neq 0 \implies x \neq -1.5$ и $3-2x \neq 0 \implies x \neq 1.5$.
Перенесем вторую дробь в правую часть:
$\frac{x-1}{2x+3} = \frac{2x-1}{3-2x}$
Применим перекрестное умножение:
$(x-1)(3-2x) = (2x-1)(2x+3)$
$3x - 2x^2 - 3 + 2x = 4x^2 + 6x - 2x - 3$
$-2x^2 + 5x - 3 = 4x^2 + 4x - 3$
Сократим $-3$ в обеих частях и перенесем все члены вправо:
$0 = (4x^2 + 2x^2) + (4x - 5x)$
$0 = 6x^2 - x$
Вынесем $x$ за скобки:
$x(6x-1) = 0$
Отсюда корни:
$x_1 = 0$
$6x-1=0 \implies x_2 = \frac{1}{6}$
Оба корня удовлетворяют ОДЗ.
Ответ: 0; $\frac{1}{6}$.
Другие задания:
Помогло решение? Оставьте отзыв в комментариях ниже.
Мы подготовили для вас ответ c подробным объяснением домашего задания по алгебре за 8 класс, для упражнения номер 600 расположенного на странице 141 к учебнику 2019 - 2022 года издания для учащихся школ и гимназий.
Теперь на нашем сайте ГДЗ.ТОП вы всегда легко и бесплатно найдёте условие с правильным ответом на вопрос «Как решить ДЗ» и «Как сделать» задание по алгебре к упражнению №600 (с. 141), авторов: Макарычев (Юрий Николаевич), Миндюк (Нора Григорьевна), Нешков (Константин Иванович), Суворова (Светлана Борисовна), ФГОС (старый) учебного пособия издательства Просвещение.