Номер 602, страница 142 - гдз по алгебре 8 класс учебник Макарычев, Миндюк

Авторы: Макарычев Ю. Н., Миндюк Н. Г., Нешков К. И., Суворова С. Б.
Тип: Учебник
Издательство: Просвещение
Год издания: 2019 - 2022
Цвет обложки: белый, голубой, фиолетовый
ISBN: 978-5-09-087569-1
Допущено Министерством просвещения Российской Федерации
Популярные ГДЗ в 8 классе
25. Решение дробных рациональных уравнений. § 9. Дробные рациональные уравнения. Глава 3. Квадратные уравнения - номер 602, страница 142.
№602 (с. 142)
Условие. №602 (с. 142)
скриншот условия

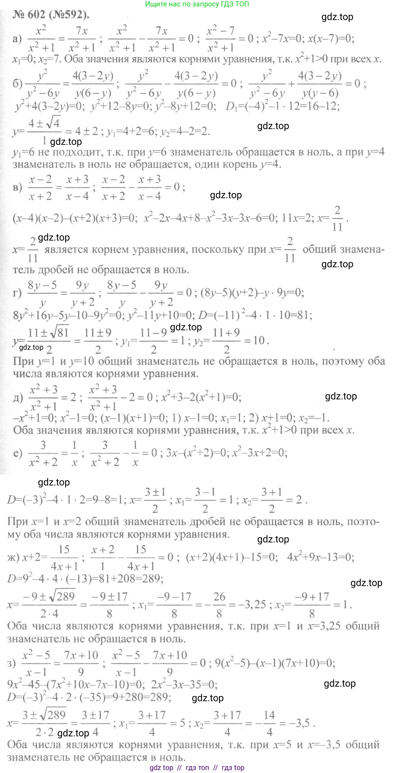
602. Найдите корни уравнения:
а) $ \frac{x^2}{x^2 + 1} = \frac{7x}{x^2 + 1} $
б) $ \frac{y^2}{y^2 - 6y} = \frac{4(3 - 2y)}{y(6 - y)} $
в) $ \frac{x - 2}{x + 2} = \frac{x + 3}{x - 4} $
г) $ \frac{8y - 5}{y} = \frac{9y}{y + 2} $
д) $ \frac{x^2 + 3}{x^2 + 1} = 2 $
е) $ \frac{3}{x^2 + 2} = \frac{1}{x} $
ж) $ x + 2 = \frac{15}{4x + 1} $
з) $ \frac{x^2 - 5}{x - 1} = \frac{7x + 10}{9} $
Решение 1. №602 (с. 142)








Решение 2. №602 (с. 142)


Решение 3. №602 (с. 142)

Решение 4. №602 (с. 142)

Решение 5. №602 (с. 142)

Решение 6. №602 (с. 142)




Решение 8. №602 (с. 142)
а) $\frac{x^2}{x^2 + 1} = \frac{7x}{x^2 + 1}$
Область допустимых значений (ОДЗ): знаменатель $x^2 + 1$ не должен быть равен нулю. Так как $x^2 \geq 0$ для любого действительного $x$, то $x^2 + 1 \geq 1$, следовательно, знаменатель никогда не равен нулю. ОДЗ: $x \in \mathbb{R}$.
Так как знаменатели равны, приравниваем числители:
$x^2 = 7x$
$x^2 - 7x = 0$
$x(x - 7) = 0$
Отсюда получаем два корня:
$x_1 = 0$
$x_2 = 7$
Оба корня входят в ОДЗ.
Ответ: $0; 7$.
б) $\frac{y^2}{y^2 - 6y} = \frac{4(3 - 2y)}{y(6 - y)}$
Найдем ОДЗ. Знаменатели не должны быть равны нулю:
$y^2 - 6y \neq 0 \Rightarrow y(y - 6) \neq 0 \Rightarrow y \neq 0$ и $y \neq 6$.
$y(6 - y) \neq 0 \Rightarrow y \neq 0$ и $y \neq 6$.
ОДЗ: $y \neq 0$, $y \neq 6$.
Преобразуем знаменатель правой части: $y(6 - y) = -y(y - 6)$. Уравнение примет вид:
$\frac{y^2}{y(y - 6)} = \frac{4(3 - 2y)}{-y(y - 6)}$
$\frac{y^2}{y(y - 6)} = -\frac{12 - 8y}{y(y - 6)}$
Приравниваем числители:
$y^2 = -(12 - 8y)$
$y^2 = -12 + 8y$
$y^2 - 8y + 12 = 0$
Решим квадратное уравнение. По теореме Виета: $y_1 + y_2 = 8$, $y_1 \cdot y_2 = 12$. Корни: $y_1 = 2$, $y_2 = 6$.
Проверим корни по ОДЗ. Корень $y_1 = 2$ удовлетворяет условиям. Корень $y_2 = 6$ не удовлетворяет условию $y \neq 6$, поэтому является посторонним.
Ответ: $2$.
в) $\frac{x - 2}{x + 2} = \frac{x + 3}{x - 4}$
ОДЗ: $x + 2 \neq 0 \Rightarrow x \neq -2$ и $x - 4 \neq 0 \Rightarrow x \neq 4$.
Воспользуемся свойством пропорции (перекрестное умножение):
$(x - 2)(x - 4) = (x + 3)(x + 2)$
Раскроем скобки:
$x^2 - 4x - 2x + 8 = x^2 + 2x + 3x + 6$
$x^2 - 6x + 8 = x^2 + 5x + 6$
Перенесем члены с $x$ в одну сторону, а свободные члены в другую:
$-6x - 5x = 6 - 8$
$-11x = -2$
$x = \frac{2}{11}$
Корень $x = \frac{2}{11}$ удовлетворяет ОДЗ.
Ответ: $\frac{2}{11}$.
г) $\frac{8y - 5}{y} = \frac{9y}{y + 2}$
ОДЗ: $y \neq 0$ и $y + 2 \neq 0 \Rightarrow y \neq -2$.
Применим перекрестное умножение:
$(8y - 5)(y + 2) = y \cdot 9y$
$8y^2 + 16y - 5y - 10 = 9y^2$
$8y^2 + 11y - 10 = 9y^2$
$y^2 - 11y + 10 = 0$
По теореме Виета: $y_1 + y_2 = 11$, $y_1 \cdot y_2 = 10$. Корни: $y_1 = 1$, $y_2 = 10$.
Оба корня удовлетворяют ОДЗ.
Ответ: $1; 10$.
д) $\frac{x^2 + 3}{x^2 + 1} = 2$
ОДЗ: $x^2 + 1 \neq 0$, что верно для любых действительных $x$. ОДЗ: $x \in \mathbb{R}$.
Умножим обе части уравнения на $x^2 + 1$:
$x^2 + 3 = 2(x^2 + 1)$
$x^2 + 3 = 2x^2 + 2$
$2x^2 - x^2 = 3 - 2$
$x^2 = 1$
$x_1 = 1$, $x_2 = -1$
Оба корня входят в ОДЗ.
Ответ: $-1; 1$.
е) $\frac{3}{x^2 + 2} = \frac{1}{x}$
ОДЗ: $x^2 + 2 \neq 0$ (верно для всех $x$) и $x \neq 0$.
Применим перекрестное умножение:
$3x = 1(x^2 + 2)$
$x^2 - 3x + 2 = 0$
По теореме Виета: $x_1 + x_2 = 3$, $x_1 \cdot x_2 = 2$. Корни: $x_1 = 1$, $x_2 = 2$.
Оба корня удовлетворяют ОДЗ.
Ответ: $1; 2$.
ж) $x + 2 = \frac{15}{4x + 1}$
ОДЗ: $4x + 1 \neq 0 \Rightarrow 4x \neq -1 \Rightarrow x \neq -\frac{1}{4}$.
Умножим обе части уравнения на $4x+1$:
$(x + 2)(4x + 1) = 15$
$4x^2 + x + 8x + 2 = 15$
$4x^2 + 9x - 13 = 0$
Решим квадратное уравнение через дискриминант:
$D = b^2 - 4ac = 9^2 - 4 \cdot 4 \cdot (-13) = 81 + 208 = 289 = 17^2$
$x_{1,2} = \frac{-b \pm \sqrt{D}}{2a} = \frac{-9 \pm 17}{8}$
$x_1 = \frac{-9 - 17}{8} = \frac{-26}{8} = -\frac{13}{4}$
$x_2 = \frac{-9 + 17}{8} = \frac{8}{8} = 1$
Оба корня удовлетворяют ОДЗ.
Ответ: $-\frac{13}{4}; 1$.
з) $\frac{x^2 - 5}{x - 1} = \frac{7x + 10}{9}$
ОДЗ: $x - 1 \neq 0 \Rightarrow x \neq 1$.
Применим перекрестное умножение:
$9(x^2 - 5) = (x - 1)(7x + 10)$
$9x^2 - 45 = 7x^2 + 10x - 7x - 10$
$9x^2 - 45 = 7x^2 + 3x - 10$
$2x^2 - 3x - 35 = 0$
Решим квадратное уравнение через дискриминант:
$D = b^2 - 4ac = (-3)^2 - 4 \cdot 2 \cdot (-35) = 9 + 280 = 289 = 17^2$
$x_{1,2} = \frac{-b \pm \sqrt{D}}{2a} = \frac{3 \pm 17}{4}$
$x_1 = \frac{3 - 17}{4} = \frac{-14}{4} = -\frac{7}{2}$
$x_2 = \frac{3 + 17}{4} = \frac{20}{4} = 5$
Оба корня удовлетворяют ОДЗ.
Ответ: $-\frac{7}{2}; 5$.
Другие задания:
Помогло решение? Оставьте отзыв в комментариях ниже.
Мы подготовили для вас ответ c подробным объяснением домашего задания по алгебре за 8 класс, для упражнения номер 602 расположенного на странице 142 к учебнику 2019 - 2022 года издания для учащихся школ и гимназий.
Теперь на нашем сайте ГДЗ.ТОП вы всегда легко и бесплатно найдёте условие с правильным ответом на вопрос «Как решить ДЗ» и «Как сделать» задание по алгебре к упражнению №602 (с. 142), авторов: Макарычев (Юрий Николаевич), Миндюк (Нора Григорьевна), Нешков (Константин Иванович), Суворова (Светлана Борисовна), ФГОС (старый) учебного пособия издательства Просвещение.