Номер 609, страница 143 - гдз по алгебре 8 класс учебник Макарычев, Миндюк

Авторы: Макарычев Ю. Н., Миндюк Н. Г., Нешков К. И., Суворова С. Б.
Тип: Учебник
Издательство: Просвещение
Год издания: 2019 - 2022
Цвет обложки: белый, голубой, фиолетовый
ISBN: 978-5-09-087569-1
Допущено Министерством просвещения Российской Федерации
Популярные ГДЗ в 8 классе
25. Решение дробных рациональных уравнений. § 9. Дробные рациональные уравнения. Глава 3. Квадратные уравнения - номер 609, страница 143.
№609 (с. 143)
Условие. №609 (с. 143)
скриншот условия

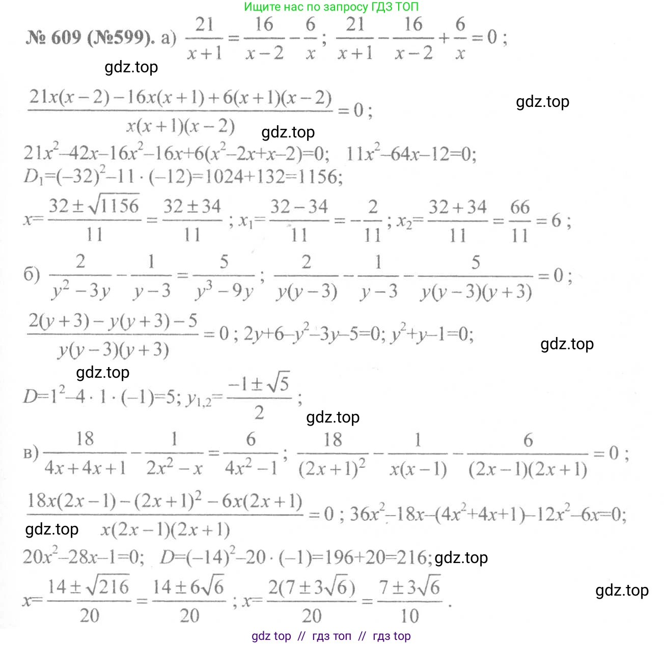
609. Найдите корни уравнения:
а) $\frac{21}{x+1} = \frac{16}{x-2} - \frac{6}{x};$
б) $\frac{2}{y^2-3y} - \frac{1}{y-3} = \frac{5}{y^3-9y};$
в) $\frac{18}{4x^2+4x+1} - \frac{1}{2x^2-x} = \frac{6}{4x^2-1};$
г) $\frac{3(4y^2+10y-7)}{16y^2-9} = \frac{3y-7}{3-4y} + \frac{6y+5}{3+4y}.$
Решение 1. №609 (с. 143)




Решение 2. №609 (с. 143)


Решение 3. №609 (с. 143)

Решение 4. №609 (с. 143)

Решение 5. №609 (с. 143)

Решение 6. №609 (с. 143)




Решение 8. №609 (с. 143)
а)
Исходное уравнение: $ \frac{21}{x+1} = \frac{16}{x-2} - \frac{6}{x} $
Область допустимых значений (ОДЗ): знаменатели не должны быть равны нулю, поэтому $ x \neq -1 $, $ x \neq 2 $ и $ x \neq 0 $.
Приведем правую часть к общему знаменателю $ x(x-2) $:
$ \frac{16}{x-2} - \frac{6}{x} = \frac{16x - 6(x-2)}{x(x-2)} = \frac{16x - 6x + 12}{x(x-2)} = \frac{10x + 12}{x(x-2)} $
Теперь уравнение имеет вид:
$ \frac{21}{x+1} = \frac{10x+12}{x(x-2)} $
Воспользуемся свойством пропорции (умножим крест-накрест):
$ 21 \cdot x(x-2) = (10x+12)(x+1) $
Раскроем скобки:
$ 21(x^2 - 2x) = 10x^2 + 10x + 12x + 12 $
$ 21x^2 - 42x = 10x^2 + 22x + 12 $
Перенесем все члены в левую часть и приведем подобные слагаемые:
$ 21x^2 - 10x^2 - 42x - 22x - 12 = 0 $
$ 11x^2 - 64x - 12 = 0 $
Решим полученное квадратное уравнение с помощью дискриминанта:
$ D = b^2 - 4ac = (-64)^2 - 4 \cdot 11 \cdot (-12) = 4096 + 528 = 4624 = 68^2 $
Найдем корни:
$ x_1 = \frac{-b + \sqrt{D}}{2a} = \frac{64 + 68}{2 \cdot 11} = \frac{132}{22} = 6 $
$ x_2 = \frac{-b - \sqrt{D}}{2a} = \frac{64 - 68}{2 \cdot 11} = \frac{-4}{22} = -\frac{2}{11} $
Оба корня удовлетворяют ОДЗ.
Ответ: $6; -\frac{2}{11}$.
б)
Исходное уравнение: $ \frac{2}{y^2-3y} - \frac{1}{y-3} = \frac{5}{y^3-9y} $
Разложим знаменатели на множители:
$ y^2-3y = y(y-3) $
$ y^3-9y = y(y^2-9) = y(y-3)(y+3) $
Уравнение принимает вид:
$ \frac{2}{y(y-3)} - \frac{1}{y-3} = \frac{5}{y(y-3)(y+3)} $
ОДЗ: $ y \neq 0 $, $ y \neq 3 $, $ y \neq -3 $.
Умножим обе части уравнения на общий знаменатель $ y(y-3)(y+3) $:
$ 2(y+3) - 1 \cdot y(y+3) = 5 $
Раскроем скобки и упростим:
$ 2y + 6 - (y^2 + 3y) = 5 $
$ 2y + 6 - y^2 - 3y = 5 $
$ -y^2 - y + 1 = 0 $
$ y^2 + y - 1 = 0 $
Решим квадратное уравнение:
$ D = b^2 - 4ac = 1^2 - 4 \cdot 1 \cdot (-1) = 1 + 4 = 5 $
Корни уравнения:
$ y_1 = \frac{-1 + \sqrt{5}}{2} $
$ y_2 = \frac{-1 - \sqrt{5}}{2} $
Оба корня удовлетворяют ОДЗ.
Ответ: $\frac{-1 + \sqrt{5}}{2}; \frac{-1 - \sqrt{5}}{2}$.
в)
Исходное уравнение: $ \frac{18}{4x^2+4x+1} - \frac{1}{2x^2-x} = \frac{6}{4x^2-1} $
Разложим знаменатели на множители, используя формулы сокращенного умножения:
$ 4x^2+4x+1 = (2x+1)^2 $
$ 2x^2-x = x(2x-1) $
$ 4x^2-1 = (2x-1)(2x+1) $
Уравнение принимает вид:
$ \frac{18}{(2x+1)^2} - \frac{1}{x(2x-1)} = \frac{6}{(2x-1)(2x+1)} $
ОДЗ: $ x \neq -\frac{1}{2} $, $ x \neq 0 $, $ x \neq \frac{1}{2} $.
Умножим обе части уравнения на общий знаменатель $ x(2x-1)(2x+1)^2 $:
$ 18 \cdot x(2x-1) - 1 \cdot (2x+1)^2 = 6 \cdot x(2x+1) $
Раскроем скобки:
$ 18(2x^2 - x) - (4x^2 + 4x + 1) = 6(2x^2 + x) $
$ 36x^2 - 18x - 4x^2 - 4x - 1 = 12x^2 + 6x $
Приведем подобные слагаемые:
$ 32x^2 - 22x - 1 = 12x^2 + 6x $
$ 32x^2 - 12x^2 - 22x - 6x - 1 = 0 $
$ 20x^2 - 28x - 1 = 0 $
Решим квадратное уравнение:
$ D = b^2 - 4ac = (-28)^2 - 4 \cdot 20 \cdot (-1) = 784 + 80 = 864 $
$ \sqrt{D} = \sqrt{864} = \sqrt{144 \cdot 6} = 12\sqrt{6} $
Корни уравнения:
$ x_1 = \frac{28 + 12\sqrt{6}}{2 \cdot 20} = \frac{28 + 12\sqrt{6}}{40} = \frac{4(7 + 3\sqrt{6})}{40} = \frac{7 + 3\sqrt{6}}{10} $
$ x_2 = \frac{28 - 12\sqrt{6}}{40} = \frac{4(7 - 3\sqrt{6})}{40} = \frac{7 - 3\sqrt{6}}{10} $
Оба корня удовлетворяют ОДЗ.
Ответ: $\frac{7 + 3\sqrt{6}}{10}; \frac{7 - 3\sqrt{6}}{10}$.
г)
Исходное уравнение: $ \frac{3(4y^2+10y-7)}{16y^2-9} = \frac{3y-7}{3-4y} + \frac{6y+5}{3+4y} $
Преобразуем знаменатели:
$ 16y^2-9 = (4y-3)(4y+3) $
$ 3-4y = -(4y-3) $
Уравнение принимает вид:
$ \frac{3(4y^2+10y-7)}{(4y-3)(4y+3)} = -\frac{3y-7}{4y-3} + \frac{6y+5}{4y+3} $
$ \frac{3(4y^2+10y-7)}{(4y-3)(4y+3)} = \frac{7-3y}{4y-3} + \frac{6y+5}{4y+3} $
ОДЗ: $ 4y-3 \neq 0 \implies y \neq \frac{3}{4} $ и $ 4y+3 \neq 0 \implies y \neq -\frac{3}{4} $.
Приведем правую часть к общему знаменателю $ (4y-3)(4y+3) $:
$ \frac{(7-3y)(4y+3) + (6y+5)(4y-3)}{(4y-3)(4y+3)} $
Так как знаменатели левой и правой частей равны, можем приравнять числители:
$ 3(4y^2+10y-7) = (7-3y)(4y+3) + (6y+5)(4y-3) $
Раскроем скобки в обеих частях:
Левая часть: $ 12y^2 + 30y - 21 $
Правая часть:
$ (28y+21-12y^2-9y) + (24y^2-18y+20y-15) $
$ (-12y^2+19y+21) + (24y^2+2y-15) $
$ 12y^2+21y+6 $
Приравняем левую и правую части:
$ 12y^2 + 30y - 21 = 12y^2 + 21y + 6 $
Сократим $ 12y^2 $:
$ 30y - 21 = 21y + 6 $
$ 30y - 21y = 6 + 21 $
$ 9y = 27 $
$ y = 3 $
Корень $ y=3 $ удовлетворяет ОДЗ.
Ответ: $3$.
Другие задания:
Помогло решение? Оставьте отзыв в комментариях ниже.
Мы подготовили для вас ответ c подробным объяснением домашего задания по алгебре за 8 класс, для упражнения номер 609 расположенного на странице 143 к учебнику 2019 - 2022 года издания для учащихся школ и гимназий.
Теперь на нашем сайте ГДЗ.ТОП вы всегда легко и бесплатно найдёте условие с правильным ответом на вопрос «Как решить ДЗ» и «Как сделать» задание по алгебре к упражнению №609 (с. 143), авторов: Макарычев (Юрий Николаевич), Миндюк (Нора Григорьевна), Нешков (Константин Иванович), Суворова (Светлана Борисовна), ФГОС (старый) учебного пособия издательства Просвещение.