Номер 98, страница 26 - гдз по алгебре 8 класс учебник Макарычев, Миндюк

Авторы: Макарычев Ю. Н., Миндюк Н. Г., Нешков К. И., Суворова С. Б.
Тип: Учебник
Издательство: Просвещение
Год издания: 2019 - 2022
Цвет обложки: белый, голубой, фиолетовый
ISBN: 978-5-09-087569-1
Допущено Министерством просвещения Российской Федерации
Популярные ГДЗ в 8 классе
4. Сложение и вычитание дробей с разными знаменателями. § 2. Сумма и разность дробей. Глава 1. Рациональные дроби - номер 98, страница 26.
№98 (с. 26)
Условие. №98 (с. 26)
скриншот условия

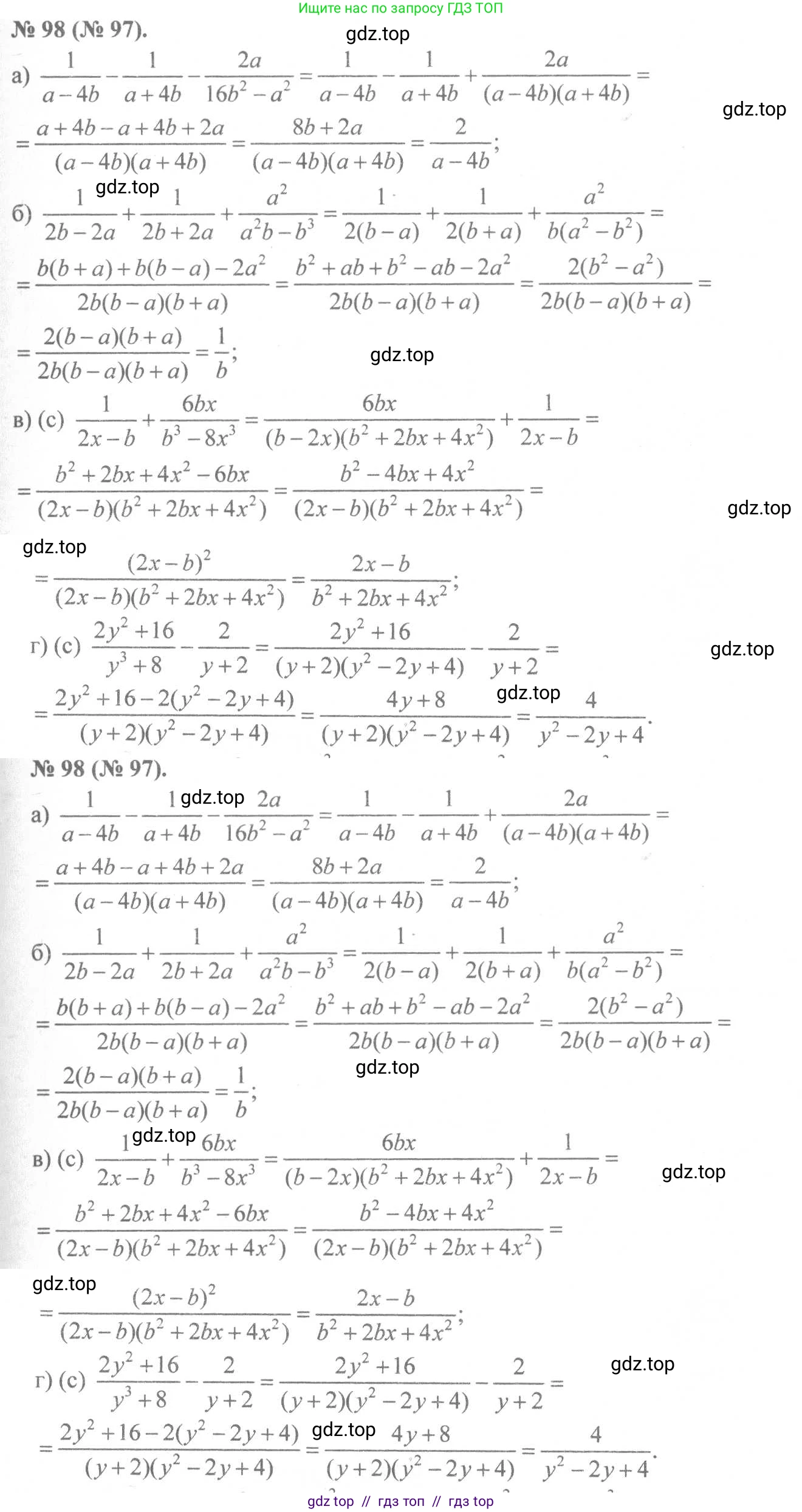
98. Упростите выражение:
a) $\frac{1}{a-4b} - \frac{1}{a+4b} - \frac{2a}{16b^2 - a^2}$;
б) $\frac{1}{2b-2a} + \frac{1}{2b+2a} + \frac{a^2}{a^2b - b^3}$.
Решение 1. №98 (с. 26)


Решение 2. №98 (с. 26)

Решение 3. №98 (с. 26)

Решение 4. №98 (с. 26)

Решение 5. №98 (с. 26)

Решение 6. №98 (с. 26)


Решение 8. №98 (с. 26)
а)
Дано выражение: $ \frac{1}{a - 4b} - \frac{1}{a + 4b} - \frac{2a}{16b^2 - a^2} $.
1. Разложим на множители знаменатель третьей дроби, используя формулу разности квадратов $x^2 - y^2 = (x-y)(x+y)$: $ 16b^2 - a^2 = (4b)^2 - a^2 = (4b - a)(4b + a) $.
2. Заметим, что множитель $ (4b - a) $ связан с множителем $ (a - 4b) $ из первой дроби: $ 4b - a = -(a - 4b) $. Это позволяет нам переписать знаменатель третьей дроби: $ (4b - a)(4b + a) = -(a - 4b)(a + 4b) $.
3. Подставим это в исходное выражение. Чтобы упростить дальнейшие вычисления, изменим знак перед третьей дробью и знак ее знаменателя: $ \frac{1}{a - 4b} - \frac{1}{a + 4b} - \frac{2a}{-(a^2 - 16b^2)} = \frac{1}{a - 4b} - \frac{1}{a + 4b} + \frac{2a}{a^2 - 16b^2} $.
4. Теперь общий знаменатель для всех дробей — это $ a^2 - 16b^2 = (a - 4b)(a + 4b) $. Приведем все дроби к этому знаменателю. Дополнительный множитель для первой дроби — $ (a + 4b) $, для второй — $ (a - 4b) $. Третья дробь уже имеет нужный знаменатель. $ \frac{1 \cdot (a + 4b)}{(a - 4b)(a + 4b)} - \frac{1 \cdot (a - 4b)}{(a + 4b)(a - 4b)} + \frac{2a}{(a - 4b)(a + 4b)} $.
5. Запишем все под общим знаменателем и выполним действия в числителе: $ \frac{(a + 4b) - (a - 4b) + 2a}{(a - 4b)(a + 4b)} = \frac{a + 4b - a + 4b + 2a}{a^2 - 16b^2} $.
6. Приведем подобные слагаемые в числителе: $ \frac{(a - a + 2a) + (4b + 4b)}{a^2 - 16b^2} = \frac{2a + 8b}{a^2 - 16b^2} $.
7. Вынесем общий множитель 2 в числителе: $ 2a + 8b = 2(a + 4b) $. $ \frac{2(a + 4b)}{a^2 - 16b^2} $.
8. Сократим дробь, разложив знаменатель на множители: $ \frac{2(a + 4b)}{(a - 4b)(a + 4b)} = \frac{2}{a - 4b} $.
Ответ: $ \frac{2}{a - 4b} $.
б)
Дано выражение: $ \frac{1}{2b - 2a} + \frac{1}{2b + 2a} + \frac{a^2}{a^2b - b^3} $.
1. Разложим на множители знаменатели всех дробей:
$ 2b - 2a = 2(b - a) $
$ 2b + 2a = 2(b + a) $
$ a^2b - b^3 = b(a^2 - b^2) = b(a - b)(a + b) $
2. Удобно сначала сложить первые две дроби. Их общий знаменатель $ 2(b - a)(b + a) = 2(b^2 - a^2) $: $ \frac{1}{2(b - a)} + \frac{1}{2(b + a)} = \frac{1 \cdot (b + a) + 1 \cdot (b - a)}{2(b - a)(b + a)} = \frac{b + a + b - a}{2(b^2 - a^2)} = \frac{2b}{2(b^2 - a^2)} = \frac{b}{b^2 - a^2} $.
3. Теперь добавим к результату третью дробь: $ \frac{b}{b^2 - a^2} + \frac{a^2}{a^2b - b^3} $.
4. Подставим разложенный на множители знаменатель третьей дроби: $ a^2b - b^3 = b(a^2 - b^2) $. Также заметим, что $ b^2 - a^2 = -(a^2 - b^2) $. Преобразуем первую дробь: $ \frac{b}{-(a^2 - b^2)} + \frac{a^2}{b(a^2 - b^2)} = -\frac{b}{a^2 - b^2} + \frac{a^2}{b(a^2 - b^2)} $.
5. Общий знаменатель теперь $ b(a^2 - b^2) $. Приведем первую дробь к этому знаменателю, домножив числитель и знаменатель на $b$: $ -\frac{b \cdot b}{b(a^2 - b^2)} + \frac{a^2}{b(a^2 - b^2)} = \frac{-b^2 + a^2}{b(a^2 - b^2)} $.
6. Упростим выражение в числителе: $ \frac{a^2 - b^2}{b(a^2 - b^2)} $.
7. Сократим дробь на общий множитель $ (a^2 - b^2) $: $ \frac{1}{b} $.
Ответ: $ \frac{1}{b} $.
Другие задания:
Помогло решение? Оставьте отзыв в комментариях ниже.
Мы подготовили для вас ответ c подробным объяснением домашего задания по алгебре за 8 класс, для упражнения номер 98 расположенного на странице 26 к учебнику 2019 - 2022 года издания для учащихся школ и гимназий.
Теперь на нашем сайте ГДЗ.ТОП вы всегда легко и бесплатно найдёте условие с правильным ответом на вопрос «Как решить ДЗ» и «Как сделать» задание по алгебре к упражнению №98 (с. 26), авторов: Макарычев (Юрий Николаевич), Миндюк (Нора Григорьевна), Нешков (Константин Иванович), Суворова (Светлана Борисовна), ФГОС (старый) учебного пособия издательства Просвещение.