Номер 93, страница 25 - гдз по алгебре 8 класс учебник Макарычев, Миндюк

Авторы: Макарычев Ю. Н., Миндюк Н. Г., Нешков К. И., Суворова С. Б.
Тип: Учебник
Издательство: Просвещение
Год издания: 2019 - 2022
Цвет обложки: белый, голубой, фиолетовый
ISBN: 978-5-09-087569-1
Допущено Министерством просвещения Российской Федерации
Популярные ГДЗ в 8 классе
4. Сложение и вычитание дробей с разными знаменателями. § 2. Сумма и разность дробей. Глава 1. Рациональные дроби - номер 93, страница 25.
№93 (с. 25)
Условие. №93 (с. 25)
скриншот условия

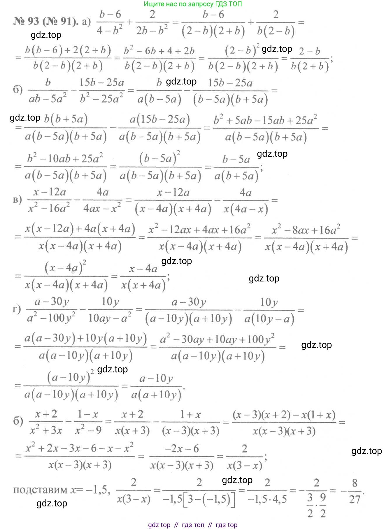
93. Преобразуйте в дробь выражение:
а) $\frac{b-6}{4-b^2} + \frac{2}{2b-b^2}$;
В) $\frac{x-12a}{x^2-16a^2} - \frac{4a}{4ax-x^2}$;
б) $\frac{b}{ab-5a^2} - \frac{15b-25a}{b^2-25a^2}$;
Г) $\frac{a-30y}{a^2-100y^2} - \frac{10y}{10ay-a^2}$.
Решение 1. №93 (с. 25)




Решение 2. №93 (с. 25)

Решение 3. №93 (с. 25)

Решение 4. №93 (с. 25)

Решение 5. №93 (с. 25)

Решение 6. №93 (с. 25)



Решение 8. №93 (с. 25)
а) $\frac{b-6}{4-b^2} + \frac{2}{2b-b^2}$
Для сложения дробей необходимо привести их к общему знаменателю. Для этого разложим знаменатели на множители. Знаменатель первой дроби $4-b^2$ является разностью квадратов: $4-b^2 = (2-b)(2+b)$. В знаменателе второй дроби $2b-b^2$ вынесем общий множитель $b$ за скобки: $2b-b^2 = b(2-b)$.
Выражение принимает вид: $\frac{b-6}{(2-b)(2+b)} + \frac{2}{b(2-b)}$.
Наименьший общий знаменатель равен $b(2-b)(2+b)$. Домножим числитель и знаменатель первой дроби на $b$, а второй дроби на $(2+b)$:
$\frac{(b-6) \cdot b}{b(2-b)(2+b)} + \frac{2 \cdot (2+b)}{b(2-b)(2+b)} = \frac{b(b-6) + 2(2+b)}{b(2-b)(2+b)}$
Раскроем скобки в числителе и приведем подобные слагаемые:
$\frac{b^2-6b+4+2b}{b(2-b)(2+b)} = \frac{b^2-4b+4}{b(2-b)(2+b)}$
Числитель $b^2-4b+4$ является полным квадратом разности $(b-2)^2$. Заметим, что $(b-2)^2 = (-(2-b))^2 = (2-b)^2$. Подставим это в дробь:
$\frac{(2-b)^2}{b(2-b)(2+b)}$
Сократим дробь на общий множитель $(2-b)$:
$\frac{2-b}{b(2+b)}$
Ответ: $\frac{2-b}{b(b+2)}$
б) $\frac{b}{ab-5a^2} - \frac{15b-25a}{b^2-25a^2}$
Разложим знаменатели на множители. В знаменателе $ab-5a^2$ вынесем общий множитель $a$: $a(b-5a)$. Знаменатель $b^2-25a^2$ является разностью квадратов: $(b-5a)(b+5a)$.
Выражение принимает вид: $\frac{b}{a(b-5a)} - \frac{15b-25a}{(b-5a)(b+5a)}$.
Наименьший общий знаменатель равен $a(b-5a)(b+5a)$. Домножим первую дробь на $(b+5a)$, а вторую на $a$:
$\frac{b(b+5a)}{a(b-5a)(b+5a)} - \frac{a(15b-25a)}{a(b-5a)(b+5a)} = \frac{b(b+5a) - a(15b-25a)}{a(b-5a)(b+5a)}$
Раскроем скобки в числителе и упростим:
$\frac{b^2+5ab - 15ab+25a^2}{a(b-5a)(b+5a)} = \frac{b^2-10ab+25a^2}{a(b-5a)(b+5a)}$
Числитель $b^2-10ab+25a^2$ является полным квадратом разности $(b-5a)^2$.
$\frac{(b-5a)^2}{a(b-5a)(b+5a)}$
Сократим дробь на общий множитель $(b-5a)$:
$\frac{b-5a}{a(b+5a)}$
Ответ: $\frac{b-5a}{a(b+5a)}$
в) $\frac{x-12a}{x^2-16a^2} - \frac{4a}{4ax-x^2}$
Разложим знаменатели на множители. $x^2-16a^2 = (x-4a)(x+4a)$ (разность квадратов). $4ax-x^2 = x(4a-x)$. Чтобы получить общий множитель, вынесем $-1$: $x(4a-x) = -x(x-4a)$.
Выражение принимает вид: $\frac{x-12a}{(x-4a)(x+4a)} - \frac{4a}{-x(x-4a)}$.
Знак "минус" перед второй дробью и в ее знаменателе взаимно уничтожаются, заменяя вычитание на сложение:
$\frac{x-12a}{(x-4a)(x+4a)} + \frac{4a}{x(x-4a)}$
Наименьший общий знаменатель $x(x-4a)(x+4a)$. Домножим первую дробь на $x$, а вторую на $(x+4a)$:
$\frac{x(x-12a)}{x(x-4a)(x+4a)} + \frac{4a(x+4a)}{x(x-4a)(x+4a)} = \frac{x(x-12a) + 4a(x+4a)}{x(x-4a)(x+4a)}$
Раскроем скобки в числителе и упростим:
$\frac{x^2-12ax + 4ax+16a^2}{x(x-4a)(x+4a)} = \frac{x^2-8ax+16a^2}{x(x-4a)(x+4a)}$
Числитель $x^2-8ax+16a^2$ является полным квадратом разности $(x-4a)^2$.
$\frac{(x-4a)^2}{x(x-4a)(x+4a)}$
Сократим дробь на общий множитель $(x-4a)$:
$\frac{x-4a}{x(x+4a)}$
Ответ: $\frac{x-4a}{x(x+4a)}$
г) $\frac{a-30y}{a^2-100y^2} - \frac{10y}{10ay-a^2}$
Разложим знаменатели на множители. $a^2-100y^2 = (a-10y)(a+10y)$ (разность квадратов). $10ay-a^2 = a(10y-a) = -a(a-10y)$.
Выражение принимает вид: $\frac{a-30y}{(a-10y)(a+10y)} - \frac{10y}{-a(a-10y)}$.
Заменим знак вычитания на сложение, изменив знак в знаменателе второй дроби:
$\frac{a-30y}{(a-10y)(a+10y)} + \frac{10y}{a(a-10y)}$
Наименьший общий знаменатель $a(a-10y)(a+10y)$. Домножим первую дробь на $a$, а вторую на $(a+10y)$:
$\frac{a(a-30y)}{a(a-10y)(a+10y)} + \frac{10y(a+10y)}{a(a-10y)(a+10y)} = \frac{a(a-30y) + 10y(a+10y)}{a(a-10y)(a+10y)}$
Раскроем скобки в числителе и упростим:
$\frac{a^2-30ay + 10ay+100y^2}{a(a-10y)(a+10y)} = \frac{a^2-20ay+100y^2}{a(a-10y)(a+10y)}$
Числитель $a^2-20ay+100y^2$ является полным квадратом разности $(a-10y)^2$.
$\frac{(a-10y)^2}{a(a-10y)(a+10y)}$
Сократим дробь на общий множитель $(a-10y)$:
$\frac{a-10y}{a(a+10y)}$
Ответ: $\frac{a-10y}{a(a+10y)}$
Другие задания:
Помогло решение? Оставьте отзыв в комментариях ниже.
Мы подготовили для вас ответ c подробным объяснением домашего задания по алгебре за 8 класс, для упражнения номер 93 расположенного на странице 25 к учебнику 2019 - 2022 года издания для учащихся школ и гимназий.
Теперь на нашем сайте ГДЗ.ТОП вы всегда легко и бесплатно найдёте условие с правильным ответом на вопрос «Как решить ДЗ» и «Как сделать» задание по алгебре к упражнению №93 (с. 25), авторов: Макарычев (Юрий Николаевич), Миндюк (Нора Григорьевна), Нешков (Константин Иванович), Суворова (Светлана Борисовна), ФГОС (старый) учебного пособия издательства Просвещение.