Номер 89, страница 25 - гдз по алгебре 8 класс учебник Макарычев, Миндюк

Авторы: Макарычев Ю. Н., Миндюк Н. Г., Нешков К. И., Суворова С. Б.
Тип: Учебник
Издательство: Просвещение
Год издания: 2019 - 2022
Цвет обложки: белый, голубой, фиолетовый
ISBN: 978-5-09-087569-1
Допущено Министерством просвещения Российской Федерации
Популярные ГДЗ в 8 классе
4. Сложение и вычитание дробей с разными знаменателями. § 2. Сумма и разность дробей. Глава 1. Рациональные дроби - номер 89, страница 25.
№89 (с. 25)
Условие. №89 (с. 25)
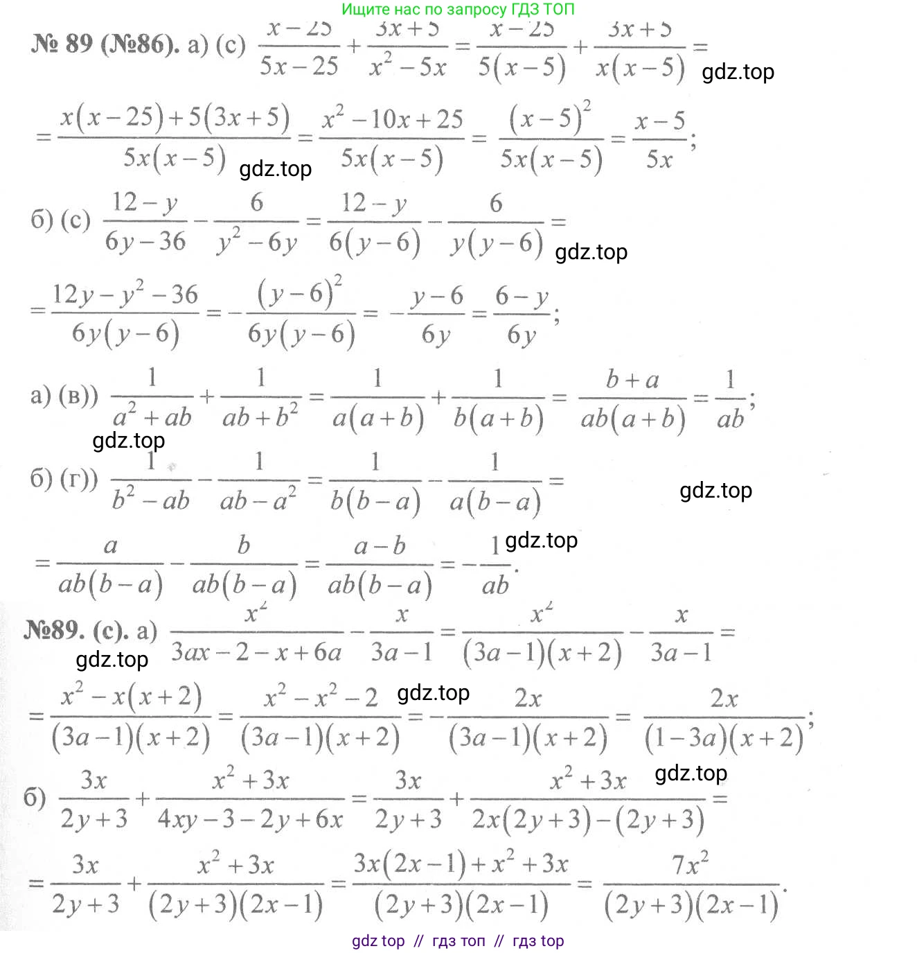
скриншот условия

89. Упростите выражение:
а) $\frac{1}{a^2 + ab} + \frac{1}{ab + b^2};$
б) $\frac{1}{b^2 - ab} - \frac{1}{ab - a^2}.$
Решение 1. №89 (с. 25)


Решение 2. №89 (с. 25)

Решение 3. №89 (с. 25)

Решение 4. №89 (с. 25)

Решение 5. №89 (с. 25)

Решение 6. №89 (с. 25)


Решение 8. №89 (с. 25)
а)
Исходное выражение: $\frac{1}{a^2 + ab} + \frac{1}{ab + b^2}$
1. Разложим знаменатели дробей на множители. В первом знаменателе вынесем за скобки общий множитель $a$, а во втором — $b$.
$a^2 + ab = a(a+b)$
$ab + b^2 = b(a+b)$
Теперь выражение выглядит так:
$\frac{1}{a(a+b)} + \frac{1}{b(a+b)}$
2. Приведем дроби к общему знаменателю. Наименьший общий знаменатель для дробей с такими знаменателями будет $ab(a+b)$.
3. Домножим числитель и знаменатель первой дроби на недостающий множитель $b$, а второй дроби — на множитель $a$.
$\frac{1 \cdot b}{a(a+b) \cdot b} + \frac{1 \cdot a}{b(a+b) \cdot a} = \frac{b}{ab(a+b)} + \frac{a}{ab(a+b)}$
4. Сложим дроби с одинаковыми знаменателями.
$\frac{b+a}{ab(a+b)}$
5. В числителе получилось выражение $(b+a)$, которое равно $(a+b)$. Сократим дробь на общий множитель $(a+b)$.
$\frac{a+b}{ab(a+b)} = \frac{1}{ab}$
Ответ: $\frac{1}{ab}$
б)
Исходное выражение: $\frac{1}{b^2 - ab} - \frac{1}{ab - a^2}$
1. Разложим знаменатели на множители. В первом знаменателе вынесем за скобки $b$, во втором — $a$.
$b^2 - ab = b(b-a)$
$ab - a^2 = a(b-a)$
Выражение принимает вид:
$\frac{1}{b(b-a)} - \frac{1}{a(b-a)}$
2. Общий знаменатель для этих дробей равен $ab(b-a)$.
3. Приведем дроби к общему знаменателю. Дополнительный множитель для первой дроби — $a$, а для второй — $b$.
$\frac{1 \cdot a}{b(b-a) \cdot a} - \frac{1 \cdot b}{a(b-a) \cdot b} = \frac{a}{ab(b-a)} - \frac{b}{ab(b-a)}$
4. Вычтем дроби с одинаковыми знаменателями.
$\frac{a-b}{ab(b-a)}$
5. Заметим, что числитель $a-b$ и множитель в знаменателе $b-a$ отличаются только знаком. Вынесем в числителе $-1$ за скобки: $a-b = -(b-a)$.
$\frac{-(b-a)}{ab(b-a)}$
6. Сократим дробь на общий множитель $(b-a)$.
$\frac{-1}{ab} = -\frac{1}{ab}$
Ответ: $-\frac{1}{ab}$
Другие задания:
Помогло решение? Оставьте отзыв в комментариях ниже.
Мы подготовили для вас ответ c подробным объяснением домашего задания по алгебре за 8 класс, для упражнения номер 89 расположенного на странице 25 к учебнику 2019 - 2022 года издания для учащихся школ и гимназий.
Теперь на нашем сайте ГДЗ.ТОП вы всегда легко и бесплатно найдёте условие с правильным ответом на вопрос «Как решить ДЗ» и «Как сделать» задание по алгебре к упражнению №89 (с. 25), авторов: Макарычев (Юрий Николаевич), Миндюк (Нора Григорьевна), Нешков (Константин Иванович), Суворова (Светлана Борисовна), ФГОС (старый) учебного пособия издательства Просвещение.