Номер 84, страница 24 - гдз по алгебре 8 класс учебник Макарычев, Миндюк

Авторы: Макарычев Ю. Н., Миндюк Н. Г., Нешков К. И., Суворова С. Б.
Тип: Учебник
Издательство: Просвещение
Год издания: 2019 - 2022
Цвет обложки: белый, голубой, фиолетовый
ISBN: 978-5-09-087569-1
Допущено Министерством просвещения Российской Федерации
Популярные ГДЗ в 8 классе
4. Сложение и вычитание дробей с разными знаменателями. § 2. Сумма и разность дробей. Глава 1. Рациональные дроби - номер 84, страница 24.
№84 (с. 24)
Условие. №84 (с. 24)
скриншот условия

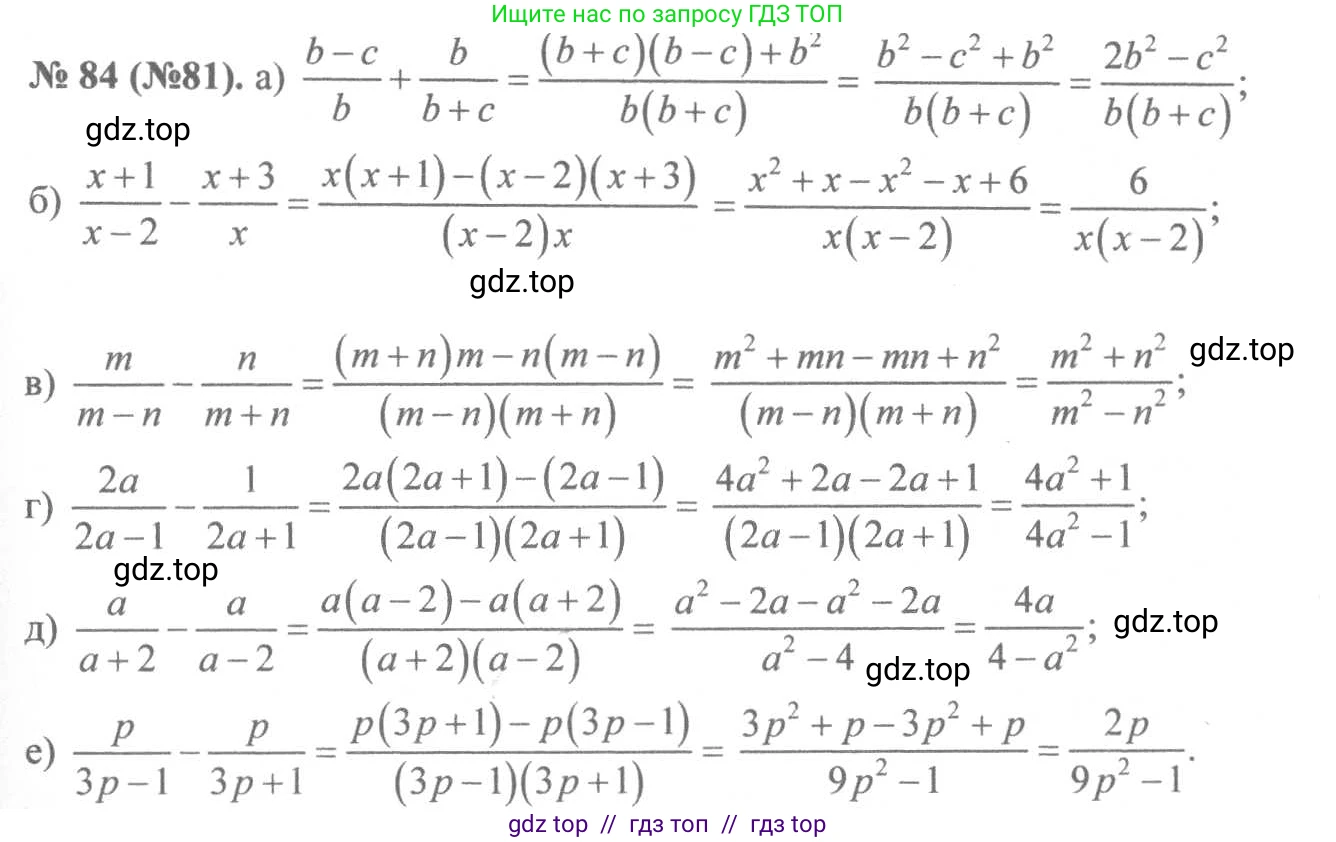
84. Представьте в виде дроби:
а) $\frac{b-c}{b} + \frac{b}{b+c}$;
б) $\frac{x+1}{x-2} - \frac{x+3}{x}$;
в) $\frac{m}{m-n} - \frac{n}{m+n}$;
г) $\frac{2a}{2a-1} - \frac{1}{2a+1}$;
д) $\frac{a}{a+2} - \frac{a}{a-2}$;
е) $\frac{p}{3p-1} - \frac{p}{1+3p}$.
Решение 1. №84 (с. 24)






Решение 2. №84 (с. 24)

Решение 3. №84 (с. 24)

Решение 4. №84 (с. 24)

Решение 5. №84 (с. 24)

Решение 6. №84 (с. 24)


Решение 8. №84 (с. 24)
а) Чтобы сложить дроби $\frac{b-c}{b}$ и $\frac{b}{b+c}$, приведем их к общему знаменателю. Общим знаменателем является произведение знаменателей $b(b+c)$.
Домножим числитель и знаменатель первой дроби на $(b+c)$, а второй дроби — на $b$:
$\frac{b-c}{b} + \frac{b}{b+c} = \frac{(b-c)(b+c)}{b(b+c)} + \frac{b \cdot b}{b(b+c)}$
Складываем числители, оставляя общий знаменатель без изменений:
$\frac{(b-c)(b+c) + b^2}{b(b+c)}$
Раскроем скобки в числителе, используя формулу разности квадратов $(b-c)(b+c) = b^2 - c^2$:
$\frac{b^2 - c^2 + b^2}{b(b+c)} = \frac{2b^2 - c^2}{b(b+c)}$
Ответ: $\frac{2b^2 - c^2}{b(b+c)}$.
б) Чтобы вычесть дроби $\frac{x+1}{x-2}$ и $\frac{x+3}{x}$, приведем их к общему знаменателю $x(x-2)$.
Домножим первую дробь на $x$, а вторую — на $(x-2)$:
$\frac{x+1}{x-2} - \frac{x+3}{x} = \frac{(x+1)x}{x(x-2)} - \frac{(x+3)(x-2)}{x(x-2)}$
Выполним вычитание числителей:
$\frac{x(x+1) - (x+3)(x-2)}{x(x-2)}$
Раскроем скобки и упростим выражение в числителе:
$x(x+1) = x^2 + x$
$(x+3)(x-2) = x^2 - 2x + 3x - 6 = x^2 + x - 6$
$(x^2 + x) - (x^2 + x - 6) = x^2 + x - x^2 - x + 6 = 6$
Итоговая дробь:
$\frac{6}{x(x-2)}$
Ответ: $\frac{6}{x(x-2)}$.
в) Выполним вычитание дробей $\frac{m}{m-n} - \frac{n}{m+n}$. Общий знаменатель — $(m-n)(m+n)$.
Приведем дроби к общему знаменателю:
$\frac{m(m+n)}{(m-n)(m+n)} - \frac{n(m-n)}{(m-n)(m+n)} = \frac{m(m+n) - n(m-n)}{(m-n)(m+n)}$
Упростим числитель:
$m(m+n) - n(m-n) = m^2 + mn - (mn - n^2) = m^2 + mn - mn + n^2 = m^2 + n^2$
Знаменатель можно записать как разность квадратов $m^2 - n^2$.
Результат:
$\frac{m^2+n^2}{m^2-n^2}$
Ответ: $\frac{m^2+n^2}{m^2-n^2}$.
г) Выполним вычитание дробей $\frac{2a}{2a-1} - \frac{1}{2a+1}$. Общий знаменатель — $(2a-1)(2a+1)$.
Приведем дроби к общему знаменателю:
$\frac{2a(2a+1)}{(2a-1)(2a+1)} - \frac{1(2a-1)}{(2a-1)(2a+1)} = \frac{2a(2a+1) - (2a-1)}{(2a-1)(2a+1)}$
Упростим числитель:
$2a(2a+1) - (2a-1) = 4a^2 + 2a - 2a + 1 = 4a^2 + 1$
Знаменатель является разностью квадратов: $(2a)^2 - 1^2 = 4a^2 - 1$.
Результат:
$\frac{4a^2+1}{4a^2-1}$
Ответ: $\frac{4a^2+1}{4a^2-1}$.
д) Выполним вычитание дробей $\frac{a}{a+2} - \frac{a}{a-2}$. Общий знаменатель — $(a+2)(a-2)$.
Приведем дроби к общему знаменателю:
$\frac{a(a-2)}{(a+2)(a-2)} - \frac{a(a+2)}{(a+2)(a-2)} = \frac{a(a-2) - a(a+2)}{(a+2)(a-2)}$
Упростим числитель:
$a(a-2) - a(a+2) = (a^2 - 2a) - (a^2 + 2a) = a^2 - 2a - a^2 - 2a = -4a$
Знаменатель является разностью квадратов: $a^2 - 4$.
Результат:
$\frac{-4a}{a^2-4}$
Ответ: $\frac{-4a}{a^2-4}$.
е) Выполним вычитание дробей $\frac{p}{3p-1} - \frac{p}{1+3p}$. Заметим, что $1+3p = 3p+1$. Общий знаменатель — $(3p-1)(3p+1)$.
Приведем дроби к общему знаменателю:
$\frac{p(3p+1)}{(3p-1)(3p+1)} - \frac{p(3p-1)}{(3p-1)(3p+1)} = \frac{p(3p+1) - p(3p-1)}{(3p-1)(3p+1)}$
Упростим числитель:
$p(3p+1) - p(3p-1) = (3p^2 + p) - (3p^2 - p) = 3p^2 + p - 3p^2 + p = 2p$
Знаменатель является разностью квадратов: $(3p)^2 - 1^2 = 9p^2 - 1$.
Результат:
$\frac{2p}{9p^2-1}$
Ответ: $\frac{2p}{9p^2-1}$.
Другие задания:
Помогло решение? Оставьте отзыв в комментариях ниже.
Мы подготовили для вас ответ c подробным объяснением домашего задания по алгебре за 8 класс, для упражнения номер 84 расположенного на странице 24 к учебнику 2019 - 2022 года издания для учащихся школ и гимназий.
Теперь на нашем сайте ГДЗ.ТОП вы всегда легко и бесплатно найдёте условие с правильным ответом на вопрос «Как решить ДЗ» и «Как сделать» задание по алгебре к упражнению №84 (с. 24), авторов: Макарычев (Юрий Николаевич), Миндюк (Нора Григорьевна), Нешков (Константин Иванович), Суворова (Светлана Борисовна), ФГОС (старый) учебного пособия издательства Просвещение.