Номер 172, страница 54 - гдз по алгебре 9 класс учебник Солтан, Солтан

Авторы: Солтан Г. Н., Солтан А. Е., Жумадилова А. Ж.
Тип: Учебник
Издательство: Кокшетау
Год издания: 2019 - 2025
Цвет обложки:
ISBN: 978-601-317-424-2
Рекомендовано Министерством образования и науки Республики Казахстан
Популярные ГДЗ в 9 классе
6. Упражнения на повторение раздела «Уравнения, неравенства с двумя переменными и их системы». I. Уравнения, неравенства с двумя переменными и их системы - номер 172, страница 54.
№172 (с. 54)
Условие. №172 (с. 54)
скриншот условия

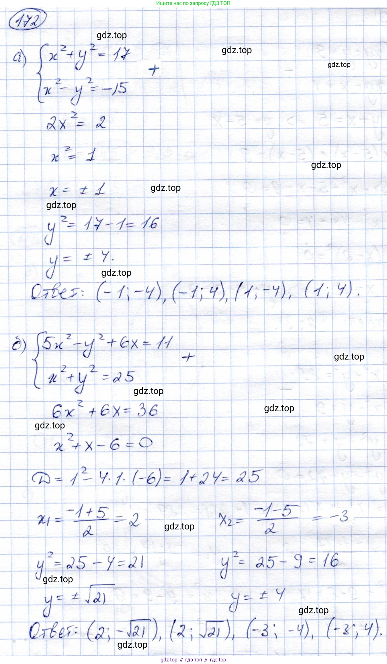
172. Используя способ сложения уравнений, решите систему:
a) $\begin{cases} x^2 + y^2 = 17 \\ x^2 - y^2 = -15 \end{cases}$
б) $\begin{cases} 5x^2 - y^2 + 6x = 11 \\ x^2 + y^2 = 25 \end{cases}$
Решение. №172 (с. 54)

Решение 2 (rus). №172 (с. 54)
а) Дана система уравнений:
$\begin{cases}x^2 + y^2 = 17, \\x^2 - y^2 = -15.\end{cases}$
Сложим два уравнения системы, чтобы избавиться от переменной $y$:
$ (x^2 + y^2) + (x^2 - y^2) = 17 + (-15) $
$ 2x^2 = 2 $
$ x^2 = 1 $
Отсюда получаем два возможных значения для $x$: $x_1 = 1$ и $x_2 = -1$.
Теперь подставим значение $x^2 = 1$ в первое уравнение системы, чтобы найти $y$:
$ 1 + y^2 = 17 $
$ y^2 = 17 - 1 $
$ y^2 = 16 $
Отсюда получаем два возможных значения для $y$: $y_1 = 4$ и $y_2 = -4$.
Так как значение $y^2$ не зависит от знака $x$, решениями системы являются все возможные комбинации найденных значений $x$ и $y$.
Получаем четыре пары решений: $(1; 4)$, $(1; -4)$, $(-1; 4)$ и $(-1; -4)$.
Ответ: $(1; 4), (1; -4), (-1; 4), (-1; -4)$.
б) Дана система уравнений:
$\begin{cases}5x^2 - y^2 + 6x = 11, \\x^2 + y^2 = 25.\end{cases}$
Сложим два уравнения системы, чтобы исключить $y^2$:
$ (5x^2 - y^2 + 6x) + (x^2 + y^2) = 11 + 25 $
$ 6x^2 + 6x = 36 $
Разделим обе части уравнения на 6:
$ x^2 + x = 6 $
Перенесем все члены в левую часть, чтобы получить квадратное уравнение:
$ x^2 + x - 6 = 0 $
Найдем корни этого уравнения, например, разложив на множители:
$ (x+3)(x-2) = 0 $
Корни уравнения: $x_1 = 2$, $x_2 = -3$.
Теперь найдем соответствующие значения $y$ для каждого найденного $x$, подставив их во второе, более простое, уравнение системы $x^2 + y^2 = 25$.
1. Для $x_1 = 2$:
$ 2^2 + y^2 = 25 $
$ 4 + y^2 = 25 $
$ y^2 = 21 $
$ y = \pm\sqrt{21} $
Получаем два решения: $(2; \sqrt{21})$ и $(2; -\sqrt{21})$.
2. Для $x_2 = -3$:
$ (-3)^2 + y^2 = 25 $
$ 9 + y^2 = 25 $
$ y^2 = 16 $
$ y = \pm 4 $
Получаем еще два решения: $(-3; 4)$ и $(-3; -4)$.
Таким образом, система имеет четыре решения.
Ответ: $(2; \sqrt{21}), (2; -\sqrt{21}), (-3; 4), (-3; -4)$.
Другие задания:
Помогло решение? Оставьте отзыв в комментариях ниже.
Присоединяйтесь к Телеграм-группе @top_gdz
ПрисоединитьсяМы подготовили для вас ответ c подробным объяснением домашего задания по алгебре за 9 класс, для упражнения номер 172 расположенного на странице 54 к учебнику 2019 года издания для учащихся школ и гимназий.
Теперь на нашем сайте ГДЗ.ТОП вы всегда легко и бесплатно найдёте условие с правильным ответом на вопрос «Как решить ДЗ» и «Как сделать» задание по алгебре к упражнению №172 (с. 54), авторов: Солтан (Генадий Николаевич), Солтан (Алла Евгеньевна), Жумадилова (Аманбала Жумадиловна), учебного пособия издательства Кокшетау.