Номер 186, страница 56 - гдз по алгебре 9 класс учебник Солтан, Солтан

Авторы: Солтан Г. Н., Солтан А. Е., Жумадилова А. Ж.
Тип: Учебник
Издательство: Кокшетау
Год издания: 2019 - 2025
Цвет обложки:
ISBN: 978-601-317-424-2
Рекомендовано Министерством образования и науки Республики Казахстан
Популярные ГДЗ в 9 классе
6. Упражнения на повторение раздела «Уравнения, неравенства с двумя переменными и их системы». I. Уравнения, неравенства с двумя переменными и их системы - номер 186, страница 56.
№186 (с. 56)
Условие. №186 (с. 56)
скриншот условия

186. Общее сопротивление двух проводников при их последовательном соединении равно 12 Ом, а при параллельном – $2 \frac{2}{3}$ Ом. Найдите сопротивление каждого проводника.
Решение. №186 (с. 56)

Решение 2 (rus). №186 (с. 56)
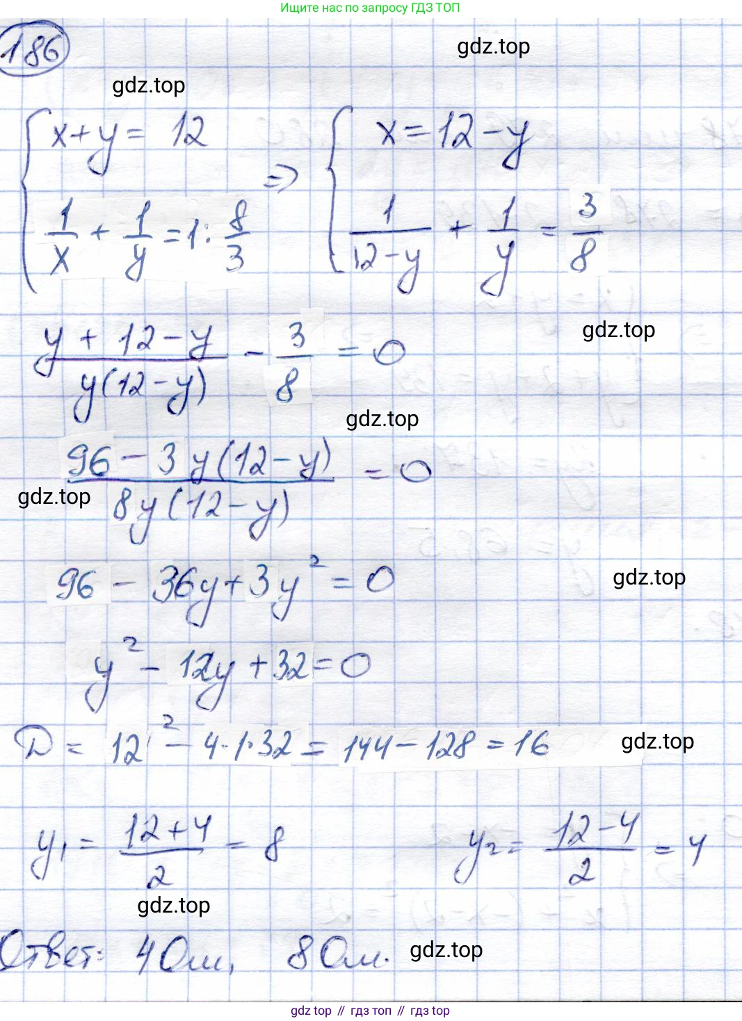
Обозначим сопротивления двух проводников как $R_1$ и $R_2$.
При последовательном соединении общее сопротивление $R_{посл}$ является суммой сопротивлений отдельных проводников. Согласно условию, $R_{посл} = 12$ Ом. Таким образом, мы можем записать первое уравнение:
$R_1 + R_2 = 12$
При параллельном соединении общее сопротивление $R_{пар}$ определяется по формуле $\frac{1}{R_{пар}} = \frac{1}{R_1} + \frac{1}{R_2}$, что для двух проводников эквивалентно $R_{пар} = \frac{R_1 \cdot R_2}{R_1 + R_2}$. По условию, $R_{пар} = 2\frac{2}{3}$ Ом. Переведем смешанную дробь в неправильную:
$2\frac{2}{3} = \frac{2 \cdot 3 + 2}{3} = \frac{8}{3}$ Ом
Теперь запишем второе уравнение:
$\frac{R_1 \cdot R_2}{R_1 + R_2} = \frac{8}{3}$
Мы получили систему из двух уравнений:
$\begin{cases} R_1 + R_2 = 12 \\ \frac{R_1 \cdot R_2}{R_1 + R_2} = \frac{8}{3} \end{cases}$
Подставим значение $R_1 + R_2$ из первого уравнения во второе:
$\frac{R_1 \cdot R_2}{12} = \frac{8}{3}$
Отсюда найдем произведение сопротивлений $R_1 \cdot R_2$:
$R_1 \cdot R_2 = 12 \cdot \frac{8}{3} = 4 \cdot 8 = 32$
Теперь наша система уравнений упростилась:
$\begin{cases} R_1 + R_2 = 12 \\ R_1 \cdot R_2 = 32 \end{cases}$
Эту систему можно решить, например, методом подстановки. Выразим $R_2$ из первого уравнения: $R_2 = 12 - R_1$. Подставим это выражение во второе уравнение:
$R_1 \cdot (12 - R_1) = 32$
$12R_1 - R_1^2 = 32$
Перенесем все члены в одну сторону, чтобы получить стандартное квадратное уравнение:
$R_1^2 - 12R_1 + 32 = 0$
Это уравнение можно решить по теореме Виета (сумма корней равна 12, произведение равно 32, корни — 4 и 8) или через дискриминант.
Найдем дискриминант $D$:
$D = b^2 - 4ac = (-12)^2 - 4 \cdot 1 \cdot 32 = 144 - 128 = 16$
Найдем корни уравнения, которые и будут нашими искомыми сопротивлениями:
$R = \frac{-b \pm \sqrt{D}}{2a} = \frac{12 \pm \sqrt{16}}{2} = \frac{12 \pm 4}{2}$
Один корень: $R_1 = \frac{12 + 4}{2} = \frac{16}{2} = 8$ Ом.
Второй корень: $R_2 = \frac{12 - 4}{2} = \frac{8}{2} = 4$ Ом.
Таким образом, сопротивления проводников равны 4 Ом и 8 Ом.
Ответ: Сопротивления проводников равны 4 Ом и 8 Ом.
Другие задания:
Помогло решение? Оставьте отзыв в комментариях ниже.
Присоединяйтесь к Телеграм-группе @top_gdz
ПрисоединитьсяМы подготовили для вас ответ c подробным объяснением домашего задания по алгебре за 9 класс, для упражнения номер 186 расположенного на странице 56 к учебнику 2019 года издания для учащихся школ и гимназий.
Теперь на нашем сайте ГДЗ.ТОП вы всегда легко и бесплатно найдёте условие с правильным ответом на вопрос «Как решить ДЗ» и «Как сделать» задание по алгебре к упражнению №186 (с. 56), авторов: Солтан (Генадий Николаевич), Солтан (Алла Евгеньевна), Жумадилова (Аманбала Жумадиловна), учебного пособия издательства Кокшетау.