Номер 187, страница 56 - гдз по алгебре 9 класс учебник Солтан, Солтан

Авторы: Солтан Г. Н., Солтан А. Е., Жумадилова А. Ж.
Тип: Учебник
Издательство: Кокшетау
Год издания: 2019 - 2025
Цвет обложки:
ISBN: 978-601-317-424-2
Рекомендовано Министерством образования и науки Республики Казахстан
Популярные ГДЗ в 9 классе
6. Упражнения на повторение раздела «Уравнения, неравенства с двумя переменными и их системы». I. Уравнения, неравенства с двумя переменными и их системы - номер 187, страница 56.
№187 (с. 56)
Условие. №187 (с. 56)
скриншот условия

187. Дорога от лагеря до поселка длиной 10 км идет сначала с горы, а затем в гору. Туристы на спуске шли со скоростью на 2 км/ч больше, чем на подъеме. Найдите их скорости на спуске и подъеме, если путь от лагеря до поселка занял 2 часа 48 минут, а обратный путь – 2 часа 32 минуты.
Решение. №187 (с. 56)

Решение 2 (rus). №187 (с. 56)
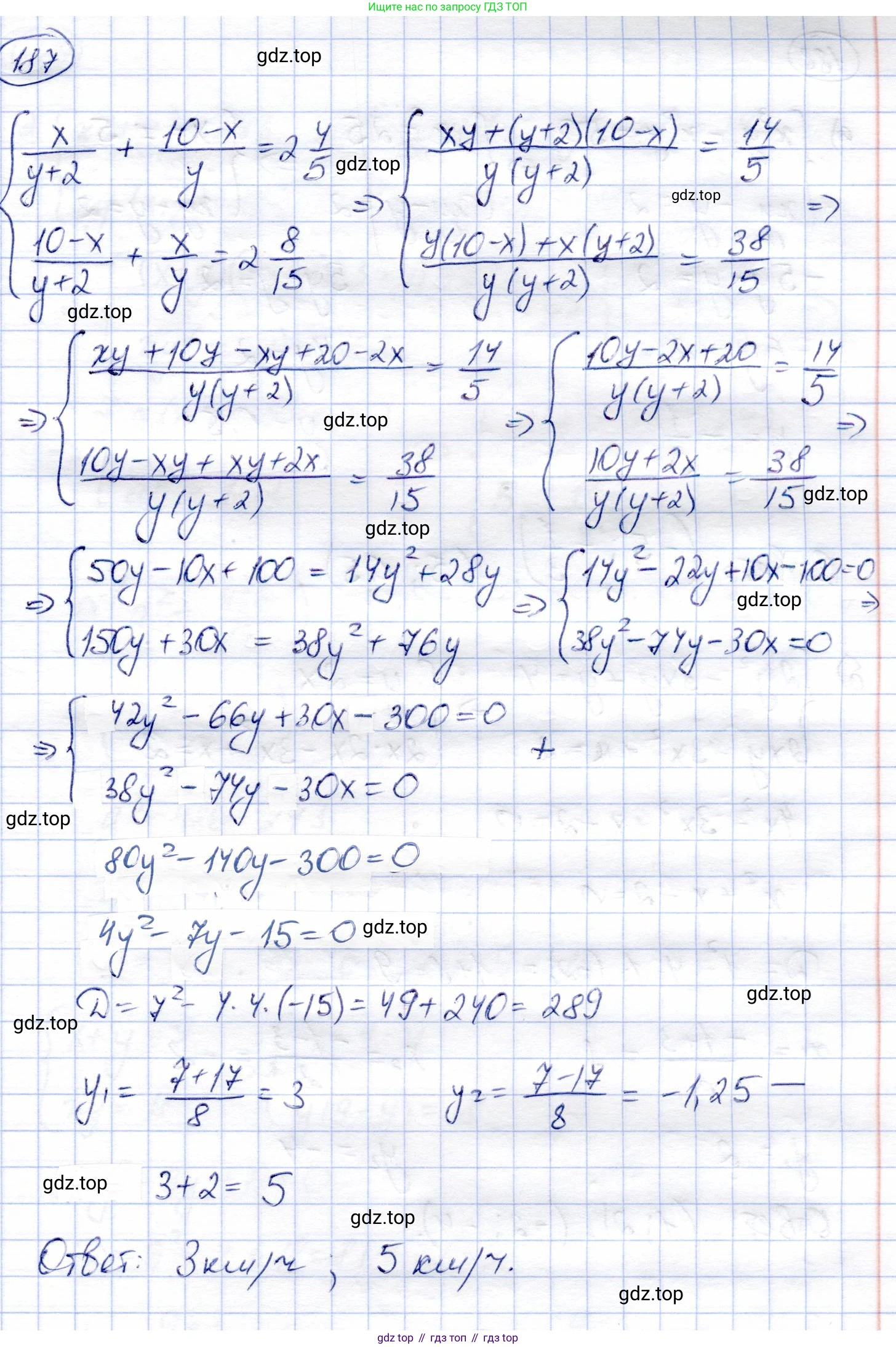
Пусть $x$ км — это длина участка спуска от лагеря до поселка, а $y$ км — длина участка подъема. Общая длина дороги составляет 10 км, следовательно, $x + y = 10$.
Пусть $v_п$ км/ч — скорость туристов на подъеме. По условию, скорость на спуске на 2 км/ч больше, значит, скорость на спуске $v_с = v_п + 2$ км/ч.
Переведем время в пути в часы для удобства расчетов.
Время от лагеря до поселка: $T_1 = 2 \text{ часа } 48 \text{ минут} = 2 + \frac{48}{60} \text{ часа} = 2 + \frac{4}{5} \text{ часа} = \frac{14}{5} \text{ часа}$.
Время обратного пути: $T_2 = 2 \text{ часа } 32 \text{ минуты} = 2 + \frac{32}{60} \text{ часа} = 2 + \frac{8}{15} \text{ часа} = \frac{38}{15} \text{ часа}$.
Составим уравнения, используя формулу времени $t = \frac{S}{v}$.
На пути от лагеря до поселка туристы сначала шли с горы (участок $x$), а затем в гору (участок $y$). Уравнение времени:
$\frac{x}{v_с} + \frac{y}{v_п} = \frac{14}{5}$
Подставим $v_с = v_п + 2$:
$\frac{x}{v_п + 2} + \frac{y}{v_п} = \frac{14}{5}$ (1)
На обратном пути участок, который был подъемом ($y$), стал спуском, а участок, который был спуском ($x$), стал подъемом. Уравнение времени для обратного пути:
$\frac{y}{v_с} + \frac{x}{v_п} = \frac{38}{15}$
Подставим $v_с = v_п + 2$:
$\frac{y}{v_п + 2} + \frac{x}{v_п} = \frac{38}{15}$ (2)
Мы получили систему из двух уравнений с тремя неизвестными ($x$, $y$, $v_п$). Однако, если сложить эти два уравнения, можно упростить задачу:
$(\frac{x}{v_п + 2} + \frac{y}{v_п}) + (\frac{y}{v_п + 2} + \frac{x}{v_п}) = \frac{14}{5} + \frac{38}{15}$
Сгруппируем слагаемые с одинаковыми знаменателями:
$(\frac{x}{v_п + 2} + \frac{y}{v_п + 2}) + (\frac{y}{v_п} + \frac{x}{v_п}) = \frac{14 \cdot 3}{15} + \frac{38}{15}$
$\frac{x+y}{v_п + 2} + \frac{x+y}{v_п} = \frac{42 + 38}{15}$
$\frac{x+y}{v_п + 2} + \frac{x+y}{v_п} = \frac{80}{15} = \frac{16}{3}$
Теперь подставим известное значение $x+y=10$ в полученное уравнение:
$\frac{10}{v_п + 2} + \frac{10}{v_п} = \frac{16}{3}$
Разделим все уравнение на 2 для упрощения:
$\frac{5}{v_п + 2} + \frac{5}{v_п} = \frac{8}{3}$
Решим это уравнение относительно $v_п$. Приведем левую часть к общему знаменателю:
$\frac{5v_п + 5(v_п+2)}{v_п(v_п+2)} = \frac{8}{3}$
$\frac{5v_п + 5v_п + 10}{v_п^2 + 2v_п} = \frac{8}{3}$
$\frac{10v_п + 10}{v_п^2 + 2v_п} = \frac{8}{3}$
Используем свойство пропорции (перекрестное умножение):
$3(10v_п + 10) = 8(v_п^2 + 2v_п)$
$30v_п + 30 = 8v_п^2 + 16v_п$
$8v_п^2 - 14v_п - 30 = 0$
Разделим на 2:
$4v_п^2 - 7v_п - 15 = 0$
Решим полученное квадратное уравнение. Найдем дискриминант:
$D = b^2 - 4ac = (-7)^2 - 4 \cdot 4 \cdot (-15) = 49 + 240 = 289$
Найдем корни уравнения:
$v_п = \frac{-b \pm \sqrt{D}}{2a} = \frac{7 \pm \sqrt{289}}{2 \cdot 4} = \frac{7 \pm 17}{8}$
$v_{п1} = \frac{7 + 17}{8} = \frac{24}{8} = 3$
$v_{п2} = \frac{7 - 17}{8} = \frac{-10}{8} = -1.25$
Скорость не может быть отрицательной, поэтому единственное подходящее решение $v_п = 3$ км/ч. Это скорость на подъеме.
Теперь найдем скорость на спуске:
$v_с = v_п + 2 = 3 + 2 = 5$ км/ч.
Ответ: скорость туристов на спуске равна 5 км/ч, а на подъеме — 3 км/ч.
Другие задания:
Помогло решение? Оставьте отзыв в комментариях ниже.
Присоединяйтесь к Телеграм-группе @top_gdz
ПрисоединитьсяМы подготовили для вас ответ c подробным объяснением домашего задания по алгебре за 9 класс, для упражнения номер 187 расположенного на странице 56 к учебнику 2019 года издания для учащихся школ и гимназий.
Теперь на нашем сайте ГДЗ.ТОП вы всегда легко и бесплатно найдёте условие с правильным ответом на вопрос «Как решить ДЗ» и «Как сделать» задание по алгебре к упражнению №187 (с. 56), авторов: Солтан (Генадий Николаевич), Солтан (Алла Евгеньевна), Жумадилова (Аманбала Жумадиловна), учебного пособия издательства Кокшетау.