Номер 189, страница 57 - гдз по алгебре 9 класс учебник Солтан, Солтан

Авторы: Солтан Г. Н., Солтан А. Е., Жумадилова А. Ж.
Тип: Учебник
Издательство: Кокшетау
Год издания: 2019 - 2025
Цвет обложки:
ISBN: 978-601-317-424-2
Рекомендовано Министерством образования и науки Республики Казахстан
Популярные ГДЗ в 9 классе
6. Упражнения на повторение раздела «Уравнения, неравенства с двумя переменными и их системы». I. Уравнения, неравенства с двумя переменными и их системы - номер 189, страница 57.
№189 (с. 57)
Условие. №189 (с. 57)
скриншот условия

189. Используя способ введения новых переменных, найдите все решения системы уравнений, состоящие из пар рациональных чисел:
a) $ \begin{cases} x^3 + y^3 = 243, \\ xy(x + y) = 162; \end{cases} $
б) $ \begin{cases} 8(x^3 + y^3) = 65xy, \\ 2(x + y) = 5xy. \end{cases} $
Решение. №189 (с. 57)



Решение 2 (rus). №189 (с. 57)
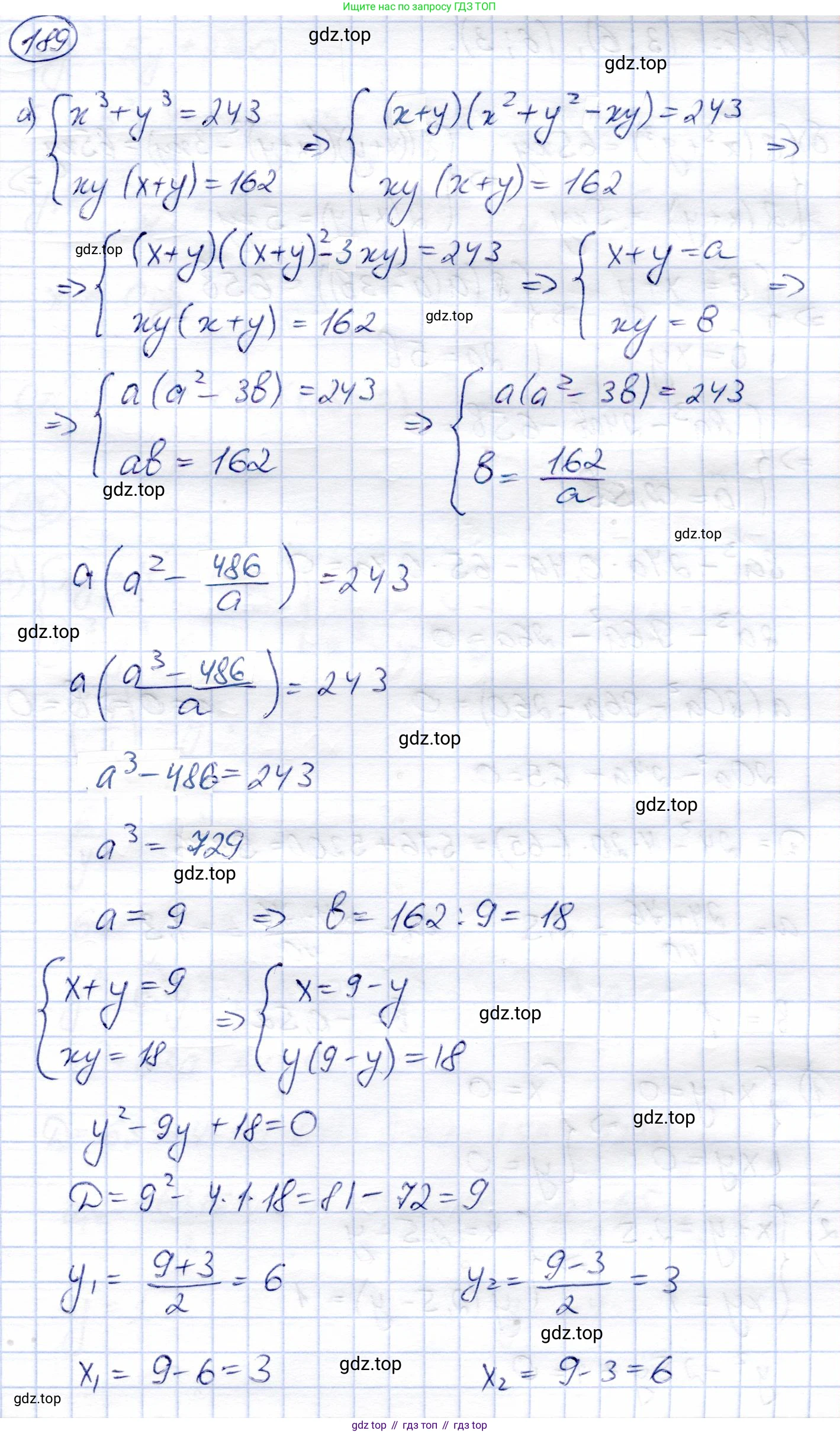
а) Исходная система уравнений:
$ \begin{cases} x^3 + y^3 = 243, \\ xy(x + y) = 162 \end{cases} $
Данная система является симметрической. Для ее решения введем новые переменные, основанные на элементарных симметрических многочленах:
Пусть $u = x + y$ и $v = xy$.
Выразим левые части уравнений системы через $u$ и $v$.
Для первого уравнения используем тождество суммы кубов: $x^3 + y^3 = (x+y)(x^2-xy+y^2) = (x+y)((x+y)^2 - 2xy - xy) = u(u^2 - 3v) = u^3 - 3uv$.
Второе уравнение принимает вид: $v \cdot u = 162$, или $uv = 162$.
Таким образом, получаем новую систему уравнений относительно переменных $u$ и $v$:
$ \begin{cases} u^3 - 3uv = 243, \\ uv = 162 \end{cases} $
Подставим значение $uv$ из второго уравнения в первое:
$u^3 - 3(162) = 243$
$u^3 - 486 = 243$
$u^3 = 243 + 486$
$u^3 = 729$
Отсюда находим $u$: $u = \sqrt[3]{729} = 9$.
Теперь найдем $v$ из уравнения $uv = 162$:
$9v = 162$
$v = \frac{162}{9} = 18$.
Мы нашли значения для новых переменных: $u=9$ и $v=18$. Вернемся к исходным переменным $x$ и $y$:
$ \begin{cases} x + y = 9, \\ xy = 18 \end{cases} $
Согласно обратной теореме Виета, $x$ и $y$ являются корнями квадратного уравнения $t^2 - (x+y)t + xy = 0$.
$t^2 - 9t + 18 = 0$
Решим это уравнение. Дискриминант $D = (-9)^2 - 4 \cdot 1 \cdot 18 = 81 - 72 = 9$.
Корни уравнения:
$t_1 = \frac{9 - \sqrt{9}}{2} = \frac{9-3}{2} = 3$
$t_2 = \frac{9 + \sqrt{9}}{2} = \frac{9+3}{2} = 6$
Таким образом, решениями исходной системы являются пары чисел $(3, 6)$ и $(6, 3)$.
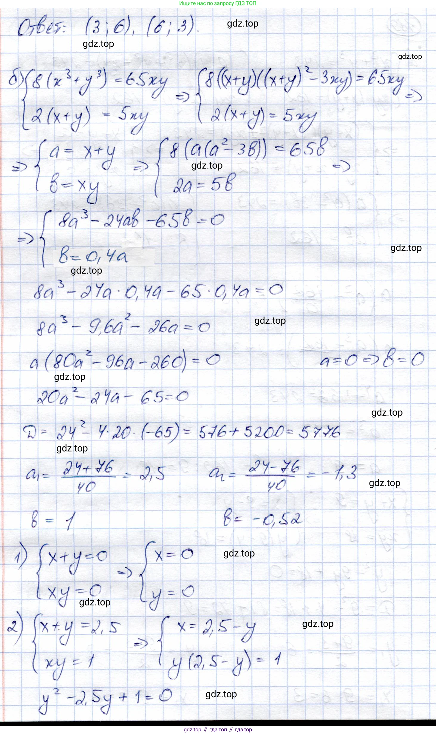
Ответ: $(3, 6), (6, 3)$.
б) Исходная система уравнений:
$ \begin{cases} 8(x^3 + y^3) = 65xy, \\ 2(x + y) = 5xy \end{cases} $
Проверим, является ли пара $(0,0)$ решением. Подставив $x=0$ и $y=0$ в оба уравнения, получим верные равенства:
$8(0^3+0^3) = 65 \cdot 0 \cdot 0 \Rightarrow 0 = 0$.
$2(0+0) = 5 \cdot 0 \cdot 0 \Rightarrow 0 = 0$.
Следовательно, пара $(0,0)$ является решением системы.
Теперь найдем ненулевые решения. Предположим, что $x \neq 0$ и $y \neq 0$. Введем новые переменные $u = x + y$ и $v = xy$.
Используя тождество $x^3+y^3 = u^3-3uv$, перепишем систему в новых переменных:
$ \begin{cases} 8(u^3 - 3uv) = 65v, \\ 2u = 5v \end{cases} $
Из второго уравнения выразим $u$ через $v$: $u = \frac{5}{2}v$. Подставим это выражение в первое уравнение:
$8\left(\left(\frac{5}{2}v\right)^3 - 3\left(\frac{5}{2}v\right)v\right) = 65v$
$8\left(\frac{125}{8}v^3 - \frac{15}{2}v^2\right) = 65v$
$125v^3 - 4 \cdot 15v^2 = 65v$
$125v^3 - 60v^2 - 65v = 0$
Вынесем $v$ за скобки: $v(125v^2 - 60v - 65) = 0$.
Поскольку мы ищем ненулевые решения, $v = xy \neq 0$. Значит, мы можем разделить на $v$:
$125v^2 - 60v - 65 = 0$
Разделим уравнение на 5 для упрощения:
$25v^2 - 12v - 13 = 0$
Решим это квадратное уравнение относительно $v$. Дискриминант $D = (-12)^2 - 4 \cdot 25 \cdot (-13) = 144 + 1300 = 1444 = 38^2$.
Корни для $v$:
$v_1 = \frac{12 - 38}{2 \cdot 25} = \frac{-26}{50} = -\frac{13}{25}$
$v_2 = \frac{12 + 38}{2 \cdot 25} = \frac{50}{50} = 1$
Рассмотрим два случая.
Случай 1: $v=1$.
Найдем $u$: $u = \frac{5}{2}v = \frac{5}{2} \cdot 1 = \frac{5}{2}$.
Возвращаемся к переменным $x$ и $y$: $x+y = \frac{5}{2}$ и $xy = 1$.
$x$ и $y$ являются корнями уравнения $t^2 - \frac{5}{2}t + 1 = 0$, или $2t^2 - 5t + 2 = 0$.
Дискриминант $D = (-5)^2 - 4 \cdot 2 \cdot 2 = 25 - 16 = 9$.
Корни $t_1 = \frac{5-3}{4} = \frac{1}{2}$ и $t_2 = \frac{5+3}{4} = 2$.
Получаем две пары рациональных решений: $(2, \frac{1}{2})$ и $(\frac{1}{2}, 2)$.
Случай 2: $v = -\frac{13}{25}$.
Найдем $u$: $u = \frac{5}{2}v = \frac{5}{2} \cdot \left(-\frac{13}{25}\right) = -\frac{13}{10}$.
Возвращаемся к переменным $x$ и $y$: $x+y = -\frac{13}{10}$ и $xy = -\frac{13}{25}$.
$x$ и $y$ являются корнями уравнения $t^2 - (-\frac{13}{10})t + (-\frac{13}{25}) = 0$, то есть $t^2 + \frac{13}{10}t - \frac{13}{25} = 0$.
Дискриминант $D = \left(\frac{13}{10}\right)^2 - 4 \cdot 1 \cdot \left(-\frac{13}{25}\right) = \frac{169}{100} + \frac{52}{25} = \frac{169 + 208}{100} = \frac{377}{100}$.
Поскольку число 377 не является полным квадратом, $\sqrt{D} = \frac{\sqrt{377}}{10}$ является иррациональным числом. Следовательно, корни этого уравнения иррациональны, и в этом случае нет решений в рациональных числах.
Объединяя все найденные рациональные решения, получаем итоговый набор.
Ответ: $(0, 0), (2, \frac{1}{2}), (\frac{1}{2}, 2)$.
Другие задания:
Помогло решение? Оставьте отзыв в комментариях ниже.
Присоединяйтесь к Телеграм-группе @top_gdz
ПрисоединитьсяМы подготовили для вас ответ c подробным объяснением домашего задания по алгебре за 9 класс, для упражнения номер 189 расположенного на странице 57 к учебнику 2019 года издания для учащихся школ и гимназий.
Теперь на нашем сайте ГДЗ.ТОП вы всегда легко и бесплатно найдёте условие с правильным ответом на вопрос «Как решить ДЗ» и «Как сделать» задание по алгебре к упражнению №189 (с. 57), авторов: Солтан (Генадий Николаевич), Солтан (Алла Евгеньевна), Жумадилова (Аманбала Жумадиловна), учебного пособия издательства Кокшетау.