Номер 188, страница 57 - гдз по алгебре 9 класс учебник Солтан, Солтан

Авторы: Солтан Г. Н., Солтан А. Е., Жумадилова А. Ж.
Тип: Учебник
Издательство: Кокшетау
Год издания: 2019 - 2025
Цвет обложки:
ISBN: 978-601-317-424-2
Рекомендовано Министерством образования и науки Республики Казахстан
Популярные ГДЗ в 9 классе
6. Упражнения на повторение раздела «Уравнения, неравенства с двумя переменными и их системы». I. Уравнения, неравенства с двумя переменными и их системы - номер 188, страница 57.
№188 (с. 57)
Условие. №188 (с. 57)
скриншот условия

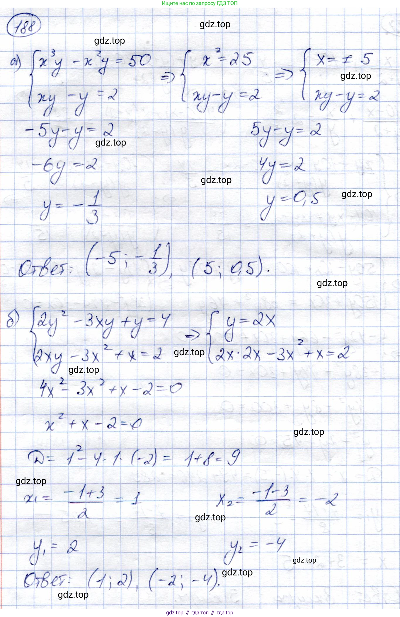
188. Решите систему уравнений, используя способ деления левых и правых частей уравнений системы:
a)
$\begin{cases} x^3y - x^2y = 50, \\ xy - y = 2; \end{cases}$
б)
$\begin{cases} 2y^2 - 3xy + y = 4, \\ 2xy - 3x^2 + x = 2. \end{cases}$
Решение. №188 (с. 57)

Решение 2 (rus). №188 (с. 57)
а)
Дана система уравнений: $ \begin{cases} x^3y - x^2y = 50 \\ xy - y = 2 \end{cases} $.
Преобразуем оба уравнения, вынеся общие множители за скобки.
В первом уравнении: $x^2y(x-1) = 50$.
Во втором уравнении: $y(x-1) = 2$.
Система примет вид:
$ \begin{cases} x^2y(x-1) = 50 \\ y(x-1) = 2 \end{cases} $
Так как правая часть второго уравнения равна 2 (не равна нулю), то и его левая часть $y(x-1)$ не равна нулю. Это значит, что $y \neq 0$ и $x \neq 1$. Это позволяет нам разделить первое уравнение системы на второе почленно.
$ \frac{x^2y(x-1)}{y(x-1)} = \frac{50}{2} $
После сокращения на общий ненулевой множитель $y(x-1)$ получаем:
$ x^2 = 25 $
Отсюда находим два возможных значения для $x$: $x_1 = 5$ и $x_2 = -5$.
Теперь для каждого значения $x$ найдем соответствующее значение $y$, подставив его во второе, более простое уравнение $y(x-1)=2$.
1) При $x_1 = 5$ имеем:
$y(5-1) = 2$
$4y = 2$
$y_1 = \frac{2}{4} = \frac{1}{2}$
Таким образом, первая пара решений: $(5; \frac{1}{2})$.
2) При $x_2 = -5$ имеем:
$y(-5-1) = 2$
$-6y = 2$
$y_2 = \frac{2}{-6} = -\frac{1}{3}$
Таким образом, вторая пара решений: $(-5; -\frac{1}{3})$.
Ответ: $(5; \frac{1}{2}), (-5; -\frac{1}{3})$.
б)
Дана система уравнений: $ \begin{cases} 2y^2 - 3xy + y = 4 \\ 2xy - 3x^2 + x = 2 \end{cases} $.
Вынесем общие множители за скобки в левых частях обоих уравнений:
$ \begin{cases} y(2y - 3x + 1) = 4 \\ x(2y - 3x + 1) = 2 \end{cases} $
Правые части обоих уравнений не равны нулю. Из второго уравнения $x(2y - 3x + 1) = 2$ следует, что ни один из множителей в левой части не равен нулю, то есть $x \neq 0$ и $2y - 3x + 1 \neq 0$. Это позволяет нам разделить первое уравнение на второе.
$ \frac{y(2y - 3x + 1)}{x(2y - 3x + 1)} = \frac{4}{2} $
Сократим общий ненулевой множитель $(2y - 3x + 1)$:
$ \frac{y}{x} = 2 $
Отсюда получаем соотношение между переменными: $y = 2x$.
Подставим это выражение для $y$ во второе уравнение исходной системы $2xy - 3x^2 + x = 2$:
$ 2x(2x) - 3x^2 + x = 2 $
$ 4x^2 - 3x^2 + x - 2 = 0 $
$ x^2 + x - 2 = 0 $
Решим полученное квадратное уравнение относительно $x$. Найдем дискриминант:
$ D = b^2 - 4ac = 1^2 - 4 \cdot 1 \cdot (-2) = 1 + 8 = 9 $
Найдем корни уравнения:
$ x_{1,2} = \frac{-b \pm \sqrt{D}}{2a} = \frac{-1 \pm \sqrt{9}}{2} = \frac{-1 \pm 3}{2} $
$ x_1 = \frac{-1 + 3}{2} = 1 $
$ x_2 = \frac{-1 - 3}{2} = -2 $
Теперь для каждого найденного значения $x$ найдем соответствующее значение $y$ по формуле $y = 2x$.
1) Если $x_1 = 1$, то $y_1 = 2 \cdot 1 = 2$.
Первая пара решений: $(1, 2)$.
2) Если $x_2 = -2$, то $y_2 = 2 \cdot (-2) = -4$.
Вторая пара решений: $(-2, -4)$.
Ответ: $(1, 2), (-2, -4)$.
Другие задания:
Помогло решение? Оставьте отзыв в комментариях ниже.
Присоединяйтесь к Телеграм-группе @top_gdz
ПрисоединитьсяМы подготовили для вас ответ c подробным объяснением домашего задания по алгебре за 9 класс, для упражнения номер 188 расположенного на странице 57 к учебнику 2019 года издания для учащихся школ и гимназий.
Теперь на нашем сайте ГДЗ.ТОП вы всегда легко и бесплатно найдёте условие с правильным ответом на вопрос «Как решить ДЗ» и «Как сделать» задание по алгебре к упражнению №188 (с. 57), авторов: Солтан (Генадий Николаевич), Солтан (Алла Евгеньевна), Жумадилова (Аманбала Жумадиловна), учебного пособия издательства Кокшетау.