Номер 256, страница 80 - гдз по алгебре 9 класс учебник Солтан, Солтан

Авторы: Солтан Г. Н., Солтан А. Е., Жумадилова А. Ж.
Тип: Учебник
Издательство: Кокшетау
Год издания: 2019 - 2025
Цвет обложки:
ISBN: 978-601-317-424-2
Рекомендовано Министерством образования и науки Республики Казахстан
Популярные ГДЗ в 9 классе
10. Сочетания без повторений. II. Элементы комбинаторики - номер 256, страница 80.
№256 (с. 80)
Условие. №256 (с. 80)
скриншот условия

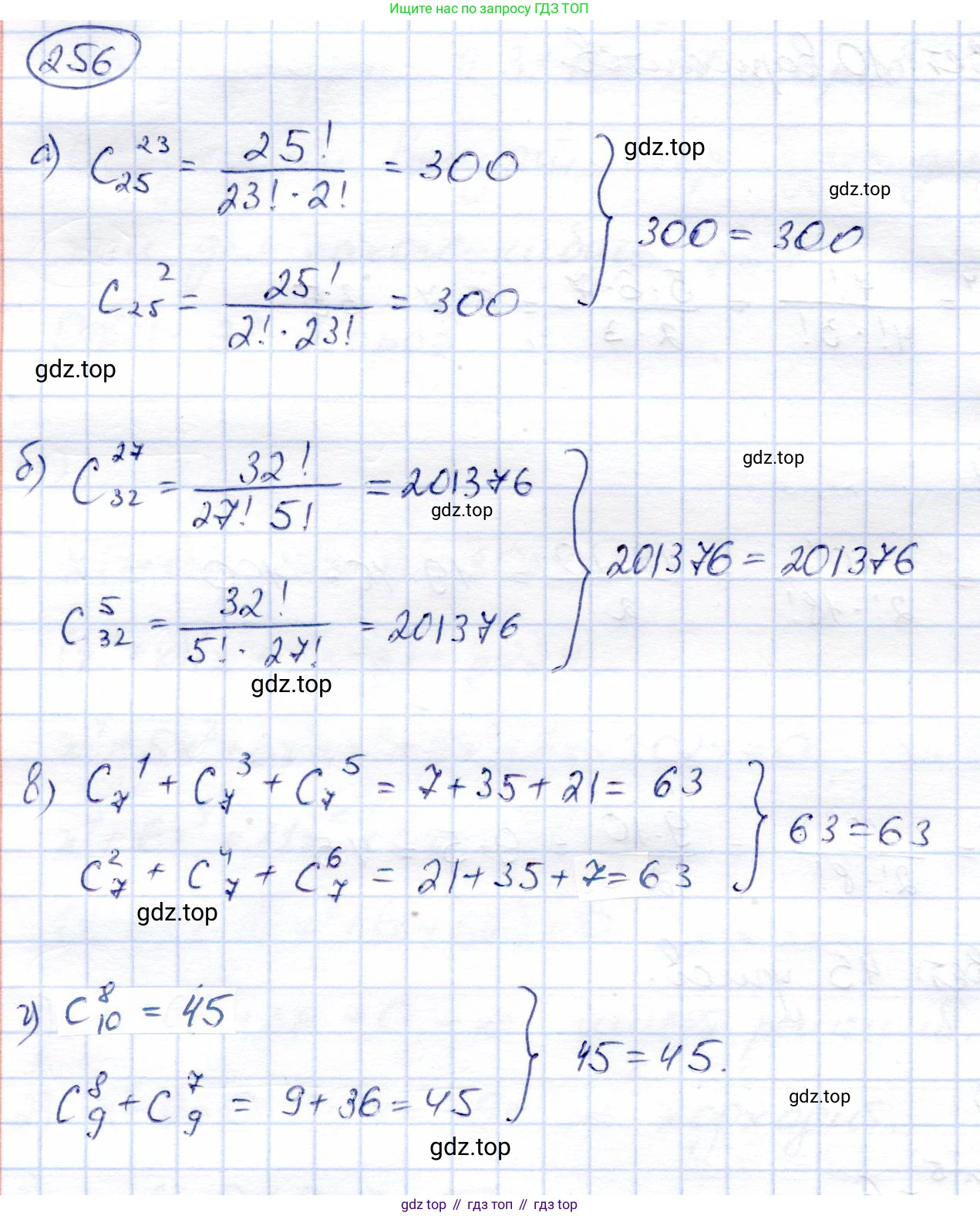
256. Докажите, что верно равенство:
а) $C_{25}^{23} = C_{25}^2$;
б) $C_{32}^{27} = C_{32}^5$;
в) $C_7^1 + C_7^3 + C_7^5 = C_7^2 + C_7^4 + C_7^6$;
г) $C_{10}^8 = C_9^8 + C_9^7$.
Решение. №256 (с. 80)

Решение 2 (rus). №256 (с. 80)
а) Для доказательства равенства $C_{25}^{23} = C_{25}^2$ воспользуемся свойством симметричности биномиальных коэффициентов, которое гласит: $C_n^k = C_n^{n-k}$.
В данном случае $n=25$ и $k=23$. Применим это свойство к левой части равенства:
$C_{25}^{23} = C_{25}^{25-23} = C_{25}^2$
Таким образом, мы показали, что левая часть равна правой. Равенство доказано.
Ответ: Равенство $C_{25}^{23} = C_{25}^2$ верно, что и требовалось доказать.
б) Для доказательства равенства $C_{32}^{27} = C_{32}^5$ также воспользуемся свойством симметричности биномиальных коэффициентов: $C_n^k = C_n^{n-k}$.
Здесь $n=32$ и $k=27$. Применяя свойство к левой части, получаем:
$C_{32}^{27} = C_{32}^{32-27} = C_{32}^5$
Левая часть тождественно равна правой. Равенство доказано.
Ответ: Равенство $C_{32}^{27} = C_{32}^5$ верно, что и требовалось доказать.
в) Докажем равенство $C_7^1 + C_7^3 + C_7^5 = C_7^2 + C_7^4 + C_7^6$, используя свойство симметричности $C_n^k = C_n^{n-k}$ для преобразования слагаемых в левой части.
Применим свойство к каждому слагаемому:
$C_7^1 = C_7^{7-1} = C_7^6$
$C_7^3 = C_7^{7-3} = C_7^4$
$C_7^5 = C_7^{7-5} = C_7^2$
Теперь подставим полученные выражения в левую часть исходного равенства:
$C_7^1 + C_7^3 + C_7^5 = C_7^6 + C_7^4 + C_7^2$
Поскольку сложение коммутативно (от перемены мест слагаемых сумма не меняется), мы можем записать сумму в другом порядке:
$C_7^6 + C_7^4 + C_7^2 = C_7^2 + C_7^4 + C_7^6$
Это выражение в точности совпадает с правой частью исходного равенства. Равенство доказано.
Ответ: Равенство $C_7^1 + C_7^3 + C_7^5 = C_7^2 + C_7^4 + C_7^6$ верно, что и требовалось доказать.
г) Для доказательства равенства $C_{10}^8 = C_9^8 + C_9^7$ воспользуемся тождеством Паскаля (или правилом сложения для биномиальных коэффициентов), которое имеет вид: $C_n^k = C_{n-1}^{k} + C_{n-1}^{k-1}$.
Применим это тождество для левой части равенства, где $n=10$ и $k=8$:
$C_{10}^8 = C_{10-1}^{8} + C_{10-1}^{8-1} = C_9^8 + C_9^7$
Полученное выражение полностью совпадает с правой частью исходного равенства, что доказывает его верность.
Ответ: Равенство $C_{10}^8 = C_9^8 + C_9^7$ верно, что и требовалось доказать.
Другие задания:
Помогло решение? Оставьте отзыв в комментариях ниже.
Присоединяйтесь к Телеграм-группе @top_gdz
ПрисоединитьсяМы подготовили для вас ответ c подробным объяснением домашего задания по алгебре за 9 класс, для упражнения номер 256 расположенного на странице 80 к учебнику 2019 года издания для учащихся школ и гимназий.
Теперь на нашем сайте ГДЗ.ТОП вы всегда легко и бесплатно найдёте условие с правильным ответом на вопрос «Как решить ДЗ» и «Как сделать» задание по алгебре к упражнению №256 (с. 80), авторов: Солтан (Генадий Николаевич), Солтан (Алла Евгеньевна), Жумадилова (Аманбала Жумадиловна), учебного пособия издательства Кокшетау.