Номер 257, страница 80 - гдз по алгебре 9 класс учебник Солтан, Солтан

Авторы: Солтан Г. Н., Солтан А. Е., Жумадилова А. Ж.
Тип: Учебник
Издательство: Кокшетау
Год издания: 2019 - 2025
Цвет обложки:
ISBN: 978-601-317-424-2
Рекомендовано Министерством образования и науки Республики Казахстан
Популярные ГДЗ в 9 классе
10. Сочетания без повторений. II. Элементы комбинаторики - номер 257, страница 80.
№257 (с. 80)
Условие. №257 (с. 80)
скриншот условия

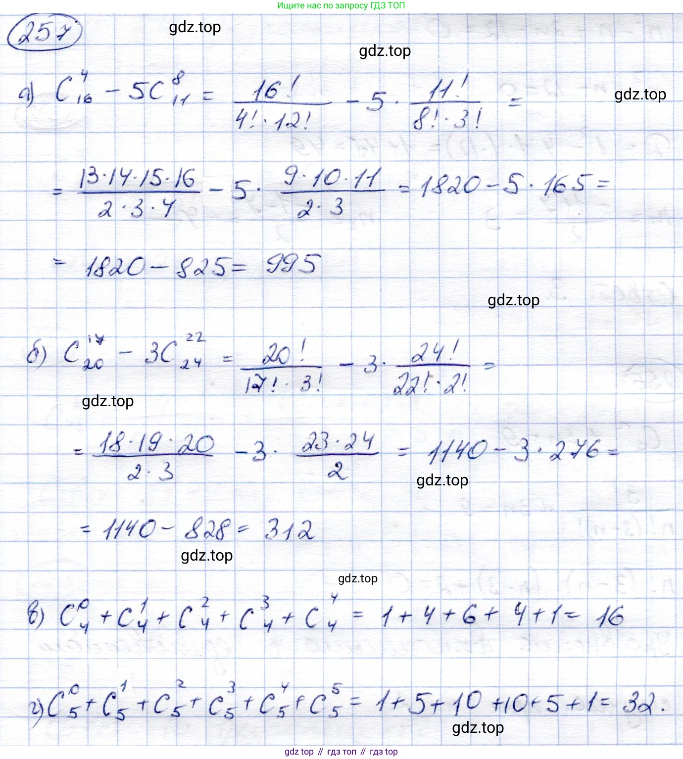
257. Вычислите:
a) $C_{16}^4 - 5C_{11}^8$;
Б) $C_{20}^{17} - 3C_{24}^{22}$;
В) $C_4^0 + C_4^1 + C_4^2 + C_4^3 + C_4^4$;
Г) $C_5^0 + C_5^1 + C_5^2 + C_5^3 + C_5^4 + C_5^5$.
Решение. №257 (с. 80)

Решение 2 (rus). №257 (с. 80)
а) Для вычисления выражения $C_{16}^4 - 5C_{11}^8$ воспользуемся формулой для нахождения числа сочетаний: $C_n^k = \frac{n!}{k!(n-k)!}$.
Сначала вычислим $C_{16}^4$:
$C_{16}^4 = \frac{16!}{4!(16-4)!} = \frac{16!}{4!12!} = \frac{16 \cdot 15 \cdot 14 \cdot 13}{4 \cdot 3 \cdot 2 \cdot 1} = 4 \cdot 5 \cdot 7 \cdot 13 = 1820$.
Далее вычислим $C_{11}^8$. Для упрощения вычислений применим свойство симметричности сочетаний $C_n^k = C_n^{n-k}$:
$C_{11}^8 = C_{11}^{11-8} = C_{11}^3 = \frac{11!}{3!(11-3)!} = \frac{11 \cdot 10 \cdot 9}{3 \cdot 2 \cdot 1} = 11 \cdot 5 \cdot 3 = 165$.
Теперь подставим вычисленные значения в исходное выражение:
$C_{16}^4 - 5C_{11}^8 = 1820 - 5 \cdot 165 = 1820 - 825 = 995$.
Ответ: 995.
б) Для вычисления выражения $C_{20}^{17} - 3C_{24}^{22}$ также воспользуемся формулой для сочетаний и свойством симметричности $C_n^k = C_n^{n-k}$.
Сначала вычислим $C_{20}^{17}$:
$C_{20}^{17} = C_{20}^{20-17} = C_{20}^3 = \frac{20 \cdot 19 \cdot 18}{3 \cdot 2 \cdot 1} = 20 \cdot 19 \cdot 3 = 1140$.
Далее вычислим $C_{24}^{22}$:
$C_{24}^{22} = C_{24}^{24-22} = C_{24}^2 = \frac{24 \cdot 23}{2 \cdot 1} = 12 \cdot 23 = 276$.
Теперь подставим вычисленные значения в исходное выражение:
$C_{20}^{17} - 3C_{24}^{22} = 1140 - 3 \cdot 276 = 1140 - 828 = 312$.
Ответ: 312.
в) Выражение $C_4^0 + C_4^1 + C_4^2 + C_4^3 + C_4^4$ представляет собой сумму всех биномиальных коэффициентов для $n=4$. Существует свойство, согласно которому сумма всех биномиальных коэффициентов для заданного $n$ равна $2^n$:
$\sum_{k=0}^{n} C_n^k = 2^n$.
Применяя это свойство для $n=4$, получаем:
$C_4^0 + C_4^1 + C_4^2 + C_4^3 + C_4^4 = 2^4 = 16$.
Для проверки можно вычислить каждое слагаемое отдельно:
$C_4^0 = 1$, $C_4^1 = 4$, $C_4^2 = \frac{4 \cdot 3}{2} = 6$, $C_4^3 = C_4^1 = 4$, $C_4^4 = 1$.
Суммируя их, получаем: $1 + 4 + 6 + 4 + 1 = 16$.
Ответ: 16.
г) Выражение $C_5^0 + C_5^1 + C_5^2 + C_5^3 + C_5^4 + C_5^5$ аналогично предыдущему пункту является суммой всех биномиальных коэффициентов, но для $n=5$.
Используем то же свойство $\sum_{k=0}^{n} C_n^k = 2^n$:
$C_5^0 + C_5^1 + C_5^2 + C_5^3 + C_5^4 + C_5^5 = 2^5 = 32$.
Проверим результат, вычислив каждое слагаемое:
$C_5^0 = 1$, $C_5^1 = 5$, $C_5^2 = \frac{5 \cdot 4}{2} = 10$, $C_5^3 = C_5^2 = 10$, $C_5^4 = C_5^1 = 5$, $C_5^5 = 1$.
Их сумма: $1 + 5 + 10 + 10 + 5 + 1 = 32$.
Ответ: 32.
Другие задания:
Помогло решение? Оставьте отзыв в комментариях ниже.
Присоединяйтесь к Телеграм-группе @top_gdz
ПрисоединитьсяМы подготовили для вас ответ c подробным объяснением домашего задания по алгебре за 9 класс, для упражнения номер 257 расположенного на странице 80 к учебнику 2019 года издания для учащихся школ и гимназий.
Теперь на нашем сайте ГДЗ.ТОП вы всегда легко и бесплатно найдёте условие с правильным ответом на вопрос «Как решить ДЗ» и «Как сделать» задание по алгебре к упражнению №257 (с. 80), авторов: Солтан (Генадий Николаевич), Солтан (Алла Евгеньевна), Жумадилова (Аманбала Жумадиловна), учебного пособия издательства Кокшетау.