Занимательные задачи 4, страница 77 - гдз по алгебре 9 класс учебник Солтан, Солтан

Авторы: Солтан Г. Н., Солтан А. Е., Жумадилова А. Ж.
Тип: Учебник
Издательство: Кокшетау
Год издания: 2019 - 2025
Цвет обложки:
ISBN: 978-601-317-424-2
Рекомендовано Министерством образования и науки Республики Казахстан
Популярные ГДЗ в 9 классе
9. Размещения без повторений. II. Элементы комбинаторики - страница 77.
Занимательные задачи 4 (с. 77)
Условие. Занимательные задачи 4 (с. 77)
скриншот условия

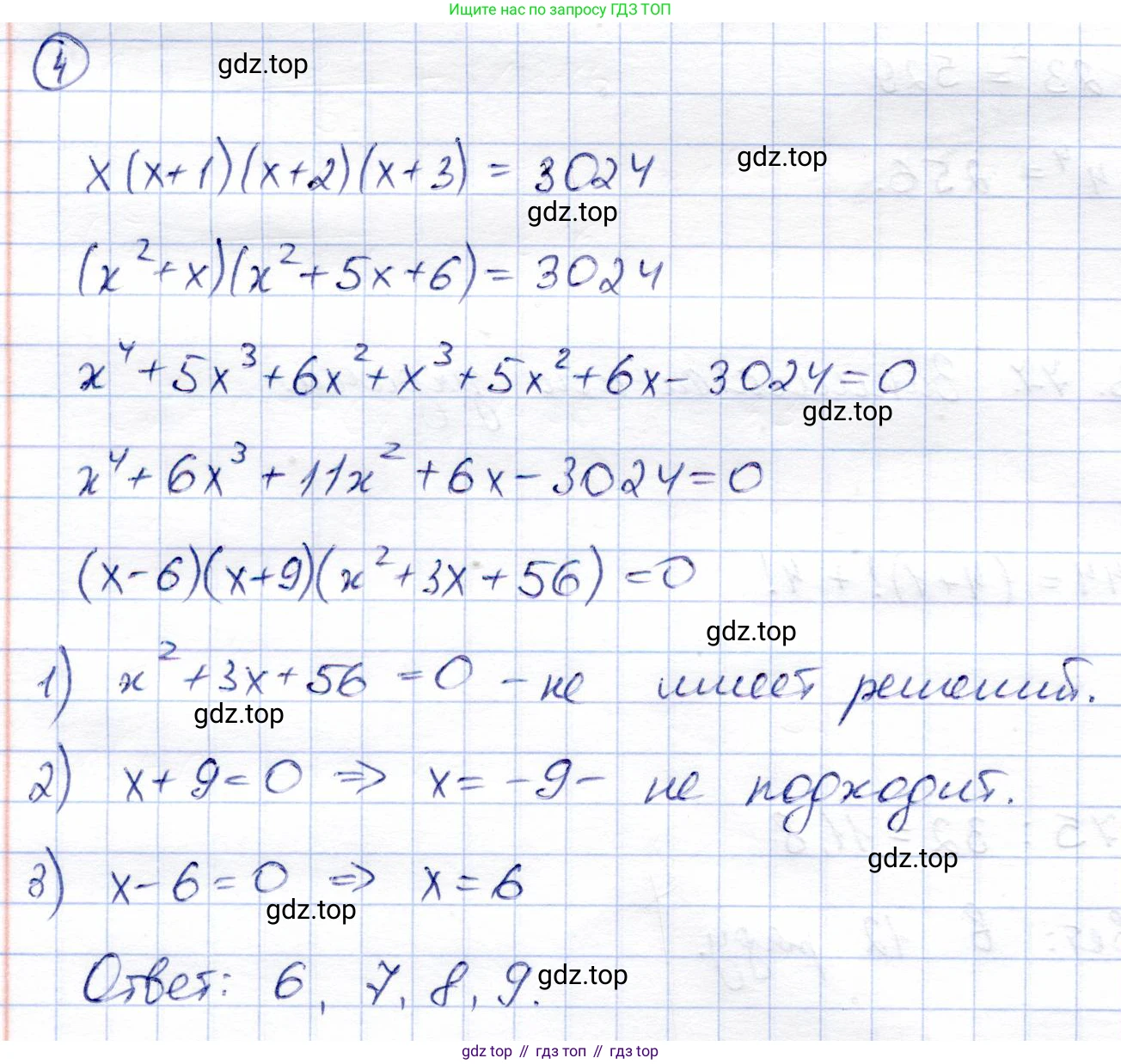
4)
Произведение каких четырех последовательных натуральных чисел равно 3024?
Решение. Занимательные задачи 4 (с. 77)

Решение 2 (rus). Занимательные задачи 4 (с. 77)
Чтобы найти наименьшее количество попыток, которое гарантирует открытие всех дверей, необходимо рассмотреть наихудший из возможных сценариев. Оптимальная стратегия заключается в том, чтобы для каждой двери последовательно пробовать имеющиеся ключи, пока не найдется подходящий.
Возьмем первую дверь. У нас есть 8 ключей. В самом худшем случае мы будем пробовать ключи, которые не подходят. После того как мы попробуем 7 ключей и ни один из них не подойдет, мы можем быть уверены, что оставшийся восьмой ключ — именно тот, который нужен. Проверять его уже не требуется. Таким образом, для определения ключа для первой двери в худшем случае потребуется 7 попыток. После этого у нас останется 7 дверей и 7 ключей.
Для второй двери, применяя ту же логику, из оставшихся 7 ключей в худшем случае потребуется 6 попыток, чтобы найти верный ключ.
Продолжая таким образом, для каждой следующей двери максимальное количество попыток будет на единицу меньше:
Для третьей двери — 5 попыток.
Для четвертой двери — 4 попытки.
Для пятой двери — 3 попытки.
Для шестой двери — 2 попытки.
Для седьмой двери у нас останется 2 ключа и 2 двери. Мы пробуем один из ключей. Если он не подошел (худший случай), то мы точно знаем, что он от восьмой двери, а оставшийся ключ — от седьмой. Таким образом, нужна всего 1 попытка, чтобы определить ключи для обеих последних дверей.
Для последней, восьмой двери, останется всего один ключ, и он гарантированно будет подходить. Никаких попыток для этого не потребуется — 0 попыток.
Чтобы найти общее количество попыток, нужно сложить максимальное количество попыток для каждой двери:
$7 + 6 + 5 + 4 + 3 + 2 + 1 + 0$
Это является суммой арифметической прогрессии. Для вычисления можно использовать формулу суммы первых $n$ натуральных чисел $S_n = \frac{n(n+1)}{2}$, где в нашем случае $n=7$:
$S_7 = \frac{7 \cdot (7+1)}{2} = \frac{7 \cdot 8}{2} = \frac{56}{2} = 28$
Ответ: 28
Другие задания:
Помогло решение? Оставьте отзыв в комментариях ниже.
Присоединяйтесь к Телеграм-группе @top_gdz
ПрисоединитьсяМы подготовили для вас ответ c подробным объяснением домашего задания по алгебре за 9 класс, для упражнения Занимательные задачи 4 расположенного на странице 77 к учебнику 2019 года издания для учащихся школ и гимназий.
Теперь на нашем сайте ГДЗ.ТОП вы всегда легко и бесплатно найдёте условие с правильным ответом на вопрос «Как решить ДЗ» и «Как сделать» задание по алгебре к упражнению Занимательные задачи 4 (с. 77), авторов: Солтан (Генадий Николаевич), Солтан (Алла Евгеньевна), Жумадилова (Аманбала Жумадиловна), учебного пособия издательства Кокшетау.