Номер 333, страница 99 - гдз по алгебре 9 класс учебник Солтан, Солтан

Авторы: Солтан Г. Н., Солтан А. Е., Жумадилова А. Ж.
Тип: Учебник
Издательство: Кокшетау
Год издания: 2019 - 2025
Цвет обложки:
ISBN: 978-601-317-424-2
Рекомендовано Министерством образования и науки Республики Казахстан
Популярные ГДЗ в 9 классе
13. Числовая последовательность, способы ее задания и свойства. III. Последовательности - номер 333, страница 99.
№333 (с. 99)
Условие. №333 (с. 99)
скриншот условия

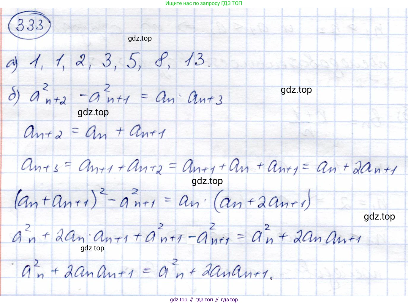
333. Последовательность чисел, заданная рекуррентной формулой $a_{n+2} = a_n + a_{n+1}$ и условиями $a_1 = a_2 = 1$, называется последовательностью Фибоначчи (итальянского математика Леонардо Пизанского (1180-1250), более известного под фамилией Фибоначчи).
а) Запишите семь первых членов последовательности Фибоначчи.
б) Докажите, что для членов последовательности Фибоначчи верно равенство $a_{n+2}^2 - a_{n+1}^2 = a_n \cdot a_{n+3}$.
Решение. №333 (с. 99)

Решение 2 (rus). №333 (с. 99)
а)
Последовательность Фибоначчи задана рекуррентной формулой $a_{n+2} = a_n + a_{n+1}$ и начальными условиями $a_1 = 1$ и $a_2 = 1$.
Найдем первые семь членов последовательности, последовательно вычисляя каждый следующий член как сумму двух предыдущих:
$a_1 = 1$
$a_2 = 1$
$a_3 = a_1 + a_2 = 1 + 1 = 2$
$a_4 = a_2 + a_3 = 1 + 2 = 3$
$a_5 = a_3 + a_4 = 2 + 3 = 5$
$a_6 = a_4 + a_5 = 3 + 5 = 8$
$a_7 = a_5 + a_6 = 5 + 8 = 13$
Таким образом, первые семь членов последовательности: 1, 1, 2, 3, 5, 8, 13.
Ответ: 1, 1, 2, 3, 5, 8, 13.
б)
Необходимо доказать, что для членов последовательности Фибоначчи верно равенство $a_{n+2}^2 - a_{n+1}^2 = a_n \cdot a_{n+3}$.
Для доказательства преобразуем левую часть равенства, используя определение последовательности Фибоначчи $a_{k+2} = a_k + a_{k+1}$.
Рассмотрим левую часть равенства: $a_{n+2}^2 - a_{n+1}^2$.
Применим формулу разности квадратов $x^2 - y^2 = (x - y)(x + y)$:
$a_{n+2}^2 - a_{n+1}^2 = (a_{n+2} - a_{n+1})(a_{n+2} + a_{n+1})$
Теперь воспользуемся рекуррентной формулой.
1. Из формулы $a_{n+2} = a_n + a_{n+1}$ следует, что $a_n = a_{n+2} - a_{n+1}$. Подставим это выражение в первый множитель.
2. По определению, следующий член последовательности $a_{n+3}$ равен сумме двух предыдущих: $a_{n+3} = a_{n+1} + a_{n+2}$. Подставим это во второй множитель.
После подстановки получаем:
$(a_{n+2} - a_{n+1})(a_{n+2} + a_{n+1}) = a_n \cdot a_{n+3}$
Таким образом, мы преобразовали левую часть равенства к виду правой части: $a_{n+2}^2 - a_{n+1}^2 = a_n \cdot a_{n+3}$. Равенство доказано.
Ответ: Равенство доказано.
Другие задания:
Помогло решение? Оставьте отзыв в комментариях ниже.
Присоединяйтесь к Телеграм-группе @top_gdz
ПрисоединитьсяМы подготовили для вас ответ c подробным объяснением домашего задания по алгебре за 9 класс, для упражнения номер 333 расположенного на странице 99 к учебнику 2019 года издания для учащихся школ и гимназий.
Теперь на нашем сайте ГДЗ.ТОП вы всегда легко и бесплатно найдёте условие с правильным ответом на вопрос «Как решить ДЗ» и «Как сделать» задание по алгебре к упражнению №333 (с. 99), авторов: Солтан (Генадий Николаевич), Солтан (Алла Евгеньевна), Жумадилова (Аманбала Жумадиловна), учебного пособия издательства Кокшетау.