Номер 330, страница 98 - гдз по алгебре 9 класс учебник Солтан, Солтан

Авторы: Солтан Г. Н., Солтан А. Е., Жумадилова А. Ж.
Тип: Учебник
Издательство: Кокшетау
Год издания: 2019 - 2025
Цвет обложки:
ISBN: 978-601-317-424-2
Рекомендовано Министерством образования и науки Республики Казахстан
Популярные ГДЗ в 9 классе
13. Числовая последовательность, способы ее задания и свойства. III. Последовательности - номер 330, страница 98.
№330 (с. 98)
Условие. №330 (с. 98)
скриншот условия

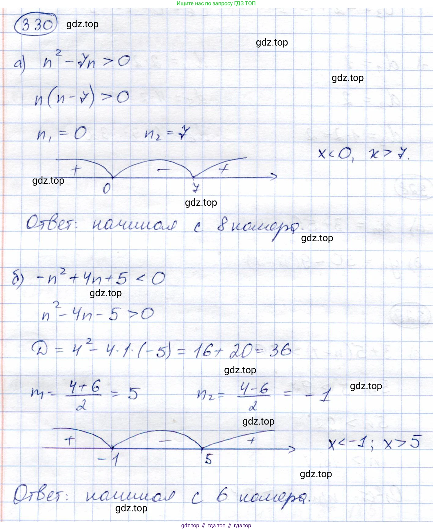
330. Исследуйте, начиная с какого номера, члены последовательности ($a_n$), заданной формулой $n$-го члена:
а) $a_n = n^2 - 7n$, положительные;
б) $a_n = -n^2 + 4n + 5$, отрицательные.
Решение. №330 (с. 98)

Решение 2 (rus). №330 (с. 98)
а) Чтобы найти, с какого номера члены последовательности $a_n = n^2 - 7n$ становятся положительными, необходимо решить неравенство $a_n > 0$ при условии, что $n$ — натуральное число.
Составим и решим неравенство:
$n^2 - 7n > 0$
Вынесем общий множитель $n$ за скобки:
$n(n - 7) > 0$
Рассмотрим соответствующую функцию $f(n) = n(n - 7)$. Ее график — это парабола, ветви которой направлены вверх, так как коэффициент при $n^2$ положителен. Нули функции находятся в точках $n = 0$ и $n = 7$.
Неравенство $f(n) > 0$ выполняется, когда $n$ находится вне интервала между корнями, то есть при $n < 0$ или $n > 7$.
Так как $n$ — это номер члена последовательности, оно должно быть натуральным числом, то есть $n \ge 1$. Условие $n < 0$ не подходит. Следовательно, мы рассматриваем только условие $n > 7$.
Наименьшее натуральное число, которое больше 7, это 8.
Таким образом, члены последовательности положительны, начиная с 8-го номера.
Ответ: с номера 8.
б) Чтобы найти, с какого номера члены последовательности $a_n = -n^2 + 4n + 5$ становятся отрицательными, необходимо решить неравенство $a_n < 0$ при условии, что $n$ — натуральное число.
Составим и решим неравенство:
$-n^2 + 4n + 5 < 0$
Для удобства умножим обе части неравенства на -1, изменив знак неравенства на противоположный:
$n^2 - 4n - 5 > 0$
Найдем корни соответствующего квадратного уравнения $n^2 - 4n - 5 = 0$ с помощью дискриминанта:
$D = b^2 - 4ac = (-4)^2 - 4 \cdot 1 \cdot (-5) = 16 + 20 = 36$
$n_1 = \frac{-b - \sqrt{D}}{2a} = \frac{4 - \sqrt{36}}{2} = \frac{4 - 6}{2} = -1$
$n_2 = \frac{-b + \sqrt{D}}{2a} = \frac{4 + \sqrt{36}}{2} = \frac{4 + 6}{2} = 5$
График функции $f(n) = n^2 - 4n - 5$ — это парабола, ветви которой направлены вверх. Неравенство $f(n) > 0$ выполняется, когда $n$ находится вне интервала между корнями, то есть при $n < -1$ или $n > 5$.
Так как $n$ — это номер члена последовательности, оно должно быть натуральным числом, то есть $n \ge 1$. Условие $n < -1$ не подходит. Следовательно, мы рассматриваем только условие $n > 5$.
Наименьшее натуральное число, которое больше 5, это 6.
Таким образом, члены последовательности отрицательны, начиная с 6-го номера.
Ответ: с номера 6.
Другие задания:
Помогло решение? Оставьте отзыв в комментариях ниже.
Присоединяйтесь к Телеграм-группе @top_gdz
ПрисоединитьсяМы подготовили для вас ответ c подробным объяснением домашего задания по алгебре за 9 класс, для упражнения номер 330 расположенного на странице 98 к учебнику 2019 года издания для учащихся школ и гимназий.
Теперь на нашем сайте ГДЗ.ТОП вы всегда легко и бесплатно найдёте условие с правильным ответом на вопрос «Как решить ДЗ» и «Как сделать» задание по алгебре к упражнению №330 (с. 98), авторов: Солтан (Генадий Николаевич), Солтан (Алла Евгеньевна), Жумадилова (Аманбала Жумадиловна), учебного пособия издательства Кокшетау.