Номер 345, страница 104 - гдз по алгебре 9 класс учебник Солтан, Солтан

Авторы: Солтан Г. Н., Солтан А. Е., Жумадилова А. Ж.
Тип: Учебник
Издательство: Кокшетау
Год издания: 2019 - 2025
Цвет обложки:
ISBN: 978-601-317-424-2
Рекомендовано Министерством образования и науки Республики Казахстан
Популярные ГДЗ в 9 классе
14. Метод математической индукции. III. Последовательности - номер 345, страница 104.
№345 (с. 104)
Условие. №345 (с. 104)
скриншот условия

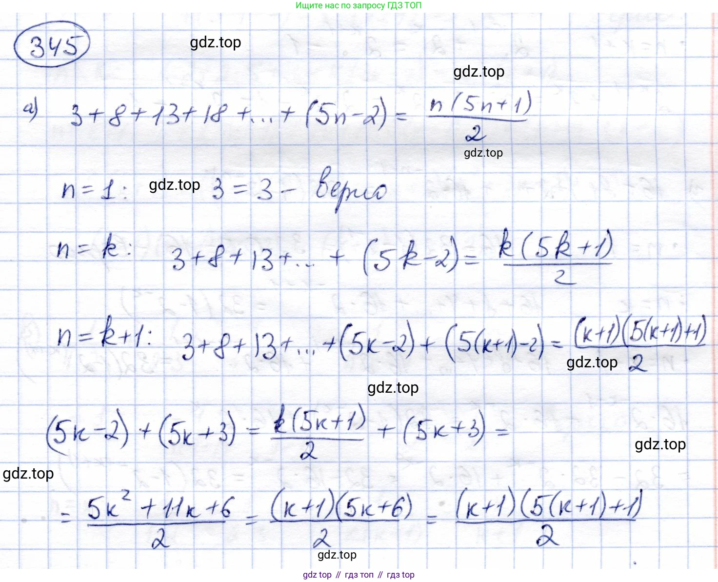
345. Для последовательности, заданной формулой n-го члена, докажите формулу суммы ее n первых членов:
а) $S_n = \frac{n(5n+1)}{2}$, если $a_n = 5n-2$;
б) $S_n = 2n(10-n)$, если $b_n = 22-4n$;
в) $S_n = 2^n - 1$, если $a_n = 2^{n-1}$;
г) $S_n = 32(1-2^{-n})$, если $b_n = 16 \cdot 2^{-n+1}$.
Решение. №345 (с. 104)


Решение 2 (rus). №345 (с. 104)
а)
Последовательность задана формулой n-го члена $a_n = 5n - 2$. Это арифметическая прогрессия, так как разность между любыми двумя последовательными членами постоянна: $d = a_{n+1} - a_n = (5(n+1) - 2) - (5n - 2) = 5n + 5 - 2 - 5n + 2 = 5$. Первый член прогрессии $a_1 = 5(1) - 2 = 3$. Сумма первых $n$ членов арифметической прогрессии вычисляется по формуле $S_n = \frac{a_1 + a_n}{2} \cdot n$. Подставив значения $a_1$ и $a_n$, получаем: $S_n = \frac{3 + (5n - 2)}{2} \cdot n = \frac{5n + 1}{2} \cdot n = \frac{n(5n + 1)}{2}$, что и требовалось доказать.
Ответ: $S_n = \frac{n(5n + 1)}{2}$
б)
Последовательность задана формулой n-го члена $b_n = 22 - 4n$. Это арифметическая прогрессия, так как разность $d = b_{n+1} - b_n = (22 - 4(n+1)) - (22 - 4n) = 22 - 4n - 4 - 22 + 4n = -4$ постоянна. Первый член $b_1 = 22 - 4(1) = 18$. Сумма первых $n$ членов вычисляется по формуле $S_n = \frac{b_1 + b_n}{2} \cdot n$. Подставляя значения, получаем: $S_n = \frac{18 + (22 - 4n)}{2} \cdot n = \frac{40 - 4n}{2} \cdot n = (20 - 2n)n = 2n(10 - n)$, что и требовалось доказать.
Ответ: $S_n = 2n(10 - n)$
в)
Последовательность задана формулой n-го члена $a_n = 2^{n-1}$. Это геометрическая прогрессия, так как отношение двух последовательных членов постоянно: $q = \frac{a_{n+1}}{a_n} = \frac{2^{(n+1)-1}}{2^{n-1}} = \frac{2^n}{2^{n-1}} = 2$. Первый член $a_1 = 2^{1-1} = 1$. Сумма первых $n$ членов геометрической прогрессии вычисляется по формуле $S_n = \frac{a_1(q^n - 1)}{q - 1}$. Подставляя значения, получаем: $S_n = \frac{1(2^n - 1)}{2 - 1} = 2^n - 1$, что и требовалось доказать.
Ответ: $S_n = 2^n - 1$
г)
Последовательность задана формулой n-го члена $b_n = 16 \cdot 2^{-n+1}$. Это геометрическая прогрессия, так как отношение двух последовательных членов постоянно: $q = \frac{b_{n+1}}{b_n} = \frac{16 \cdot 2^{-(n+1)+1}}{16 \cdot 2^{-n+1}} = \frac{2^{-n}}{2^{-n+1}} = 2^{-1} = \frac{1}{2}$. Первый член $b_1 = 16 \cdot 2^{-1+1} = 16$. Сумма первых $n$ членов вычисляется по формуле $S_n = \frac{b_1(1 - q^n)}{1 - q}$. Подставляя значения, получаем: $S_n = \frac{16(1 - (\frac{1}{2})^n)}{1 - \frac{1}{2}} = \frac{16(1 - 2^{-n})}{1/2} = 32(1 - 2^{-n})$, что и требовалось доказать.
Ответ: $S_n = 32(1 - 2^{-n})$
Другие задания:
Помогло решение? Оставьте отзыв в комментариях ниже.
Присоединяйтесь к Телеграм-группе @top_gdz
ПрисоединитьсяМы подготовили для вас ответ c подробным объяснением домашего задания по алгебре за 9 класс, для упражнения номер 345 расположенного на странице 104 к учебнику 2019 года издания для учащихся школ и гимназий.
Теперь на нашем сайте ГДЗ.ТОП вы всегда легко и бесплатно найдёте условие с правильным ответом на вопрос «Как решить ДЗ» и «Как сделать» задание по алгебре к упражнению №345 (с. 104), авторов: Солтан (Генадий Николаевич), Солтан (Алла Евгеньевна), Жумадилова (Аманбала Жумадиловна), учебного пособия издательства Кокшетау.