Занимательные задачи 3, страница 100 - гдз по алгебре 9 класс учебник Солтан, Солтан

Авторы: Солтан Г. Н., Солтан А. Е., Жумадилова А. Ж.
Тип: Учебник
Издательство: Кокшетау
Год издания: 2019 - 2025
Цвет обложки:
ISBN: 978-601-317-424-2
Рекомендовано Министерством образования и науки Республики Казахстан
Популярные ГДЗ в 9 классе
13. Числовая последовательность, способы ее задания и свойства. III. Последовательности - страница 100.
Занимательные задачи 3 (с. 100)
Условие. Занимательные задачи 3 (с. 100)
скриншот условия

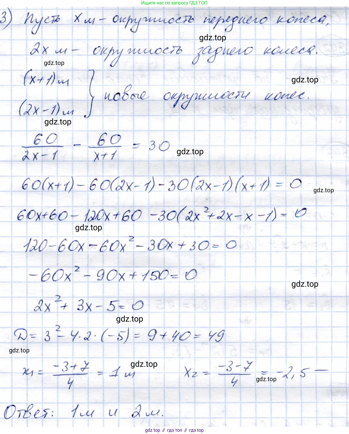
3) Длина окружности заднего колеса велосипеда для циркового представления в 2 раза больше длины окружности переднего колеса. Если длину окружности заднего колеса уменьшить на 1 м, а переднего увеличить на 1 м, то на пути 60 м заднее колесо сделает на 30 оборотов больше, чем переднее. Найдите длину окружности каждого колеса.
Решение. Занимательные задачи 3 (с. 100)

Решение 2 (rus). Занимательные задачи 3 (с. 100)
Для решения этой логической задачи введем переменные, обозначающие текущий возраст каждого человека. Пусть $E$ — это возраст Ердена, $A$ — возраст Асана, а $G$ — возраст Гульжан.
В условии говорится о будущем моменте, когда Гульжан исполнится столько лет, сколько Ердену сейчас. Это означает, что пройдет определенное количество лет, равное разнице в их возрасте. Обозначим это время как $t$. Тогда $t = E - G$. Поскольку речь идет о будущем, время $t$ должно быть положительным, из чего следует, что Ерден старше Гульжан: $E > G$.
Теперь определим, сколько лет будет Асану в этот будущий момент. Его возраст увеличится на $t$ лет и составит: $A_{буд} = A + t = A + (E - G)$.
Основное условие задачи гласит, что текущий возраст Ердена вдвое больше, чем возраст Асана в тот будущий момент. Запишем это в виде уравнения:
$E = 2 \cdot A_{буд}$
Подставим в это уравнение выражение для будущего возраста Асана:
$E = 2 \cdot (A + E - G)$
Теперь решим это уравнение относительно возрастов, чтобы найти их соотношение. Раскроем скобки:
$E = 2A + 2E - 2G$
Сгруппируем члены, чтобы выразить один возраст через другие:
$2G - 2A = 2E - E$
$E = 2G - 2A$ или $E = 2(G - A)$
Проанализируем полученное равенство. Поскольку возраст Ердена ($E$) является положительным числом, правая часть уравнения также должна быть положительной:
$2(G - A) > 0$
Это означает, что $G - A > 0$, и следовательно, $G > A$. Таким образом, мы установили, что Гульжан старше Асана.
Теперь у нас есть два неравенства:
1. $E > G$ (Ерден старше Гульжан)
2. $G > A$ (Гульжан старше Асана)
Объединив эти два неравенства, мы можем выстроить всех троих по возрасту в порядке убывания:
$E > G > A$
Это значит, что Ерден — самый старший, Асан — самый младший, а Гульжан по возрасту находится между ними. Следовательно, средняя по возрасту — Гульжан.
Ответ: Средняя по возрасту — Гульжан.
Другие задания:
Помогло решение? Оставьте отзыв в комментариях ниже.
Присоединяйтесь к Телеграм-группе @top_gdz
ПрисоединитьсяМы подготовили для вас ответ c подробным объяснением домашего задания по алгебре за 9 класс, для упражнения Занимательные задачи 3 расположенного на странице 100 к учебнику 2019 года издания для учащихся школ и гимназий.
Теперь на нашем сайте ГДЗ.ТОП вы всегда легко и бесплатно найдёте условие с правильным ответом на вопрос «Как решить ДЗ» и «Как сделать» задание по алгебре к упражнению Занимательные задачи 3 (с. 100), авторов: Солтан (Генадий Николаевич), Солтан (Алла Евгеньевна), Жумадилова (Аманбала Жумадиловна), учебного пособия издательства Кокшетау.