Номер 346, страница 105 - гдз по алгебре 9 класс учебник Солтан, Солтан

Авторы: Солтан Г. Н., Солтан А. Е., Жумадилова А. Ж.
Тип: Учебник
Издательство: Кокшетау
Год издания: 2019 - 2025
Цвет обложки:
ISBN: 978-601-317-424-2
Рекомендовано Министерством образования и науки Республики Казахстан
Популярные ГДЗ в 9 классе
14. Метод математической индукции. III. Последовательности - номер 346, страница 105.
№346 (с. 105)
Условие. №346 (с. 105)
скриншот условия

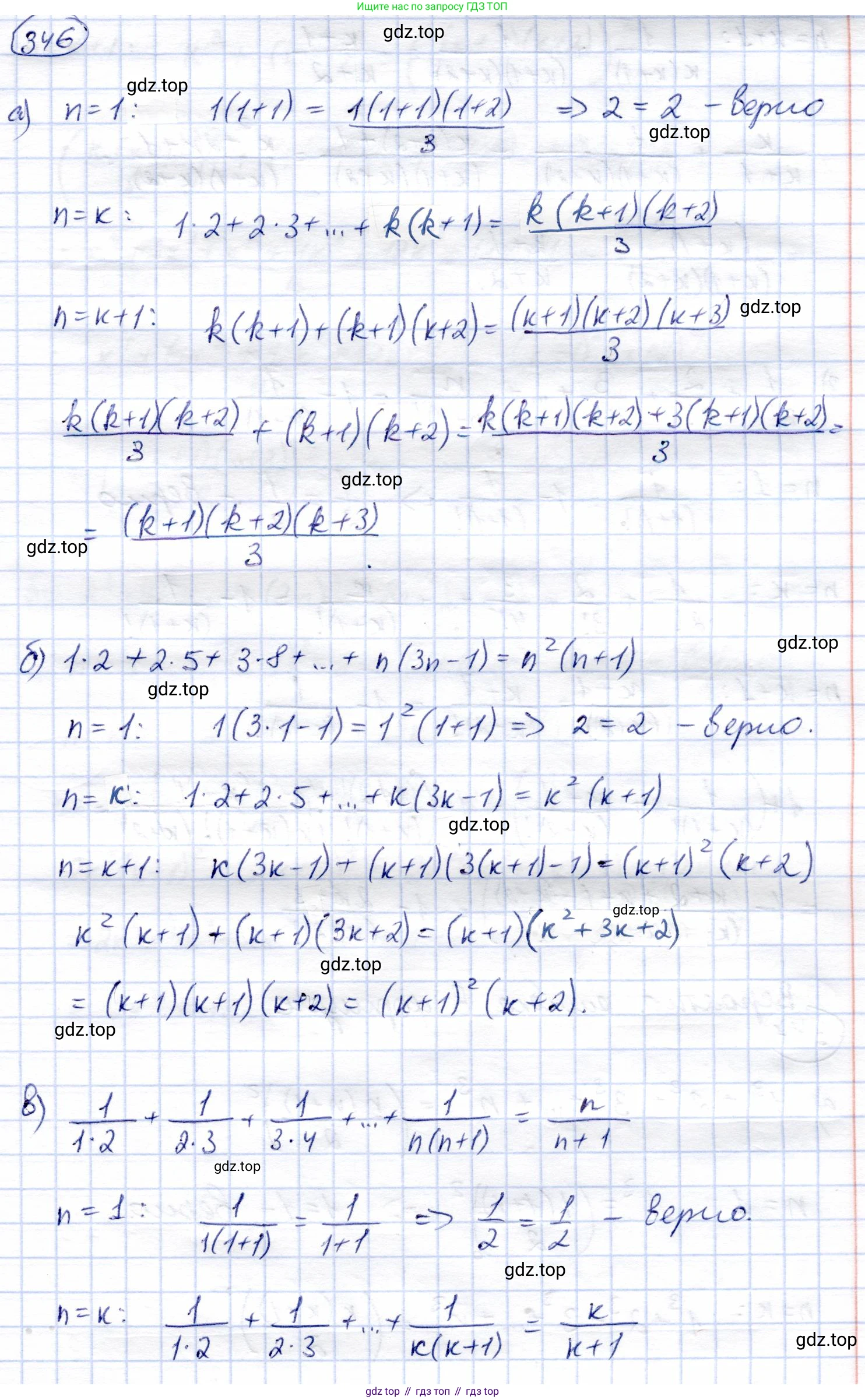
346. Докажите, что для всех $n \in N$ верно равенство:
а) $1 \cdot 2 + 2 \cdot 3 + 3 \cdot 4 + \dots + n(n + 1) = \frac{n(n + 1)(n + 2)}{3};$
б) $1 \cdot 2 + 2 \cdot 5 + 3 \cdot 8 + \dots + n(3n - 1) = n^2(n + 1);$
в) $\frac{1}{1 \cdot 2} + \frac{1}{2 \cdot 3} + \frac{1}{3 \cdot 4} + \dots + \frac{1}{n(n + 1)} = \frac{n}{n + 1};$
г) $\frac{1}{2!} + \frac{2}{3!} + \frac{3}{4!} + \dots + \frac{n}{(n + 1)!} = 1 - \frac{1}{(n + 1)!}.$
Решение. №346 (с. 105)


Решение 2 (rus). №346 (с. 105)
а) Докажем равенство $1 \cdot 2 + 2 \cdot 3 + 3 \cdot 4 + \dots + n(n + 1) = \frac{n(n + 1)(n + 2)}{3}$ методом математической индукции.
Шаг 1: База индукции.
Проверим утверждение для $n=1$.
Левая часть: $1 \cdot (1+1) = 1 \cdot 2 = 2$.
Правая часть: $\frac{1 \cdot (1+1) \cdot (1+2)}{3} = \frac{1 \cdot 2 \cdot 3}{3} = 2$.
Поскольку $2 = 2$, равенство верно для $n=1$.
Шаг 2: Индукционное предположение.
Предположим, что равенство верно для некоторого натурального числа $n=k$, то есть:
$1 \cdot 2 + 2 \cdot 3 + \dots + k(k+1) = \frac{k(k+1)(k+2)}{3}$.
Шаг 3: Индукционный шаг.
Докажем, что равенство верно и для $n=k+1$. То есть, мы должны доказать:
$1 \cdot 2 + 2 \cdot 3 + \dots + k(k+1) + (k+1)(k+2) = \frac{(k+1)(k+2)(k+3)}{3}$.
Рассмотрим левую часть этого выражения, используя индукционное предположение для замены суммы первых $k$ слагаемых:
$\left(1 \cdot 2 + 2 \cdot 3 + \dots + k(k+1)\right) + (k+1)(k+2) = \frac{k(k+1)(k+2)}{3} + (k+1)(k+2)$.
Вынесем общий множитель $(k+1)(k+2)$ за скобки:
$(k+1)(k+2) \left(\frac{k}{3} + 1\right) = (k+1)(k+2) \left(\frac{k+3}{3}\right) = \frac{(k+1)(k+2)(k+3)}{3}$.
Мы получили правую часть равенства для $n=k+1$. Следовательно, по принципу математической индукции, исходное равенство верно для всех натуральных $n$.
Ответ: Равенство доказано.
б) Докажем равенство $1 \cdot 2 + 2 \cdot 5 + 3 \cdot 8 + \dots + n(3n - 1) = n^2(n + 1)$ методом математической индукции.
Шаг 1: База индукции.
Проверим утверждение для $n=1$.
Левая часть: $1 \cdot (3 \cdot 1 - 1) = 1 \cdot 2 = 2$.
Правая часть: $1^2 \cdot (1+1) = 1 \cdot 2 = 2$.
Поскольку $2=2$, равенство верно для $n=1$.
Шаг 2: Индукционное предположение.
Предположим, что равенство верно для некоторого натурального числа $n=k$, то есть:
$1 \cdot 2 + 2 \cdot 5 + \dots + k(3k - 1) = k^2(k + 1)$.
Шаг 3: Индукционный шаг.
Докажем, что равенство верно и для $n=k+1$. То есть, мы должны доказать:
$1 \cdot 2 + 2 \cdot 5 + \dots + k(3k-1) + (k+1)(3(k+1)-1) = (k+1)^2(k+2)$.
Рассмотрим левую часть этого выражения, используя индукционное предположение:
$\left(1 \cdot 2 + 2 \cdot 5 + \dots + k(3k - 1)\right) + (k+1)(3k+3-1) = k^2(k + 1) + (k+1)(3k+2)$.
Вынесем общий множитель $(k+1)$ за скобки:
$(k+1) \left(k^2 + (3k+2)\right) = (k+1)(k^2 + 3k + 2)$.
Разложим квадратный трехчлен $k^2 + 3k + 2$ на множители: $k^2 + 3k + 2 = (k+1)(k+2)$.
Тогда выражение принимает вид: $(k+1)(k+1)(k+2) = (k+1)^2(k+2)$.
Мы получили правую часть равенства для $n=k+1$. Следовательно, по принципу математической индукции, исходное равенство верно для всех натуральных $n$.
Ответ: Равенство доказано.
в) Докажем равенство $\frac{1}{1 \cdot 2} + \frac{1}{2 \cdot 3} + \frac{1}{3 \cdot 4} + \dots + \frac{1}{n(n + 1)} = \frac{n}{n + 1}$ методом математической индукции.
Шаг 1: База индукции.
Проверим утверждение для $n=1$.
Левая часть: $\frac{1}{1 \cdot 2} = \frac{1}{2}$.
Правая часть: $\frac{1}{1+1} = \frac{1}{2}$.
Поскольку $\frac{1}{2} = \frac{1}{2}$, равенство верно для $n=1$.
Шаг 2: Индукционное предположение.
Предположим, что равенство верно для некоторого натурального числа $n=k$, то есть:
$\frac{1}{1 \cdot 2} + \frac{1}{2 \cdot 3} + \dots + \frac{1}{k(k+1)} = \frac{k}{k+1}$.
Шаг 3: Индукционный шаг.
Докажем, что равенство верно и для $n=k+1$. То есть, мы должны доказать:
$\frac{1}{1 \cdot 2} + \frac{1}{2 \cdot 3} + \dots + \frac{1}{k(k+1)} + \frac{1}{(k+1)(k+2)} = \frac{k+1}{k+2}$.
Рассмотрим левую часть этого выражения, используя индукционное предположение:
$\left(\frac{1}{1 \cdot 2} + \dots + \frac{1}{k(k+1)}\right) + \frac{1}{(k+1)(k+2)} = \frac{k}{k+1} + \frac{1}{(k+1)(k+2)}$.
Приведем дроби к общему знаменателю $(k+1)(k+2)$:
$\frac{k(k+2)}{(k+1)(k+2)} + \frac{1}{(k+1)(k+2)} = \frac{k(k+2)+1}{(k+1)(k+2)} = \frac{k^2+2k+1}{(k+1)(k+2)}$.
Числитель представляет собой полный квадрат: $k^2+2k+1 = (k+1)^2$.
$\frac{(k+1)^2}{(k+1)(k+2)} = \frac{k+1}{k+2}$.
Мы получили правую часть равенства для $n=k+1$. Следовательно, по принципу математической индукции, исходное равенство верно для всех натуральных $n$.
Ответ: Равенство доказано.
г) Докажем равенство $\frac{1}{2!} + \frac{2}{3!} + \frac{3}{4!} + \dots + \frac{n}{(n + 1)!} = 1 - \frac{1}{(n + 1)!}$ методом математической индукции.
Шаг 1: База индукции.
Проверим утверждение для $n=1$.
Левая часть: $\frac{1}{(1+1)!} = \frac{1}{2!} = \frac{1}{2}$.
Правая часть: $1 - \frac{1}{(1+1)!} = 1 - \frac{1}{2!} = 1 - \frac{1}{2} = \frac{1}{2}$.
Поскольку $\frac{1}{2} = \frac{1}{2}$, равенство верно для $n=1$.
Шаг 2: Индукционное предположение.
Предположим, что равенство верно для некоторого натурального числа $n=k$, то есть:
$\frac{1}{2!} + \frac{2}{3!} + \dots + \frac{k}{(k+1)!} = 1 - \frac{1}{(k+1)!}$.
Шаг 3: Индукционный шаг.
Докажем, что равенство верно и для $n=k+1$. То есть, мы должны доказать:
$\frac{1}{2!} + \frac{2}{3!} + \dots + \frac{k}{(k+1)!} + \frac{k+1}{(k+2)!} = 1 - \frac{1}{(k+2)!}$.
Рассмотрим левую часть этого выражения, используя индукционное предположение:
$\left(\frac{1}{2!} + \dots + \frac{k}{(k+1)!}\right) + \frac{k+1}{(k+2)!} = \left(1 - \frac{1}{(k+1)!}\right) + \frac{k+1}{(k+2)!}$.
Преобразуем выражение. Вспомним, что $(k+2)! = (k+2) \cdot (k+1)!$.
$1 - \frac{1}{(k+1)!} + \frac{k+1}{(k+2)!} = 1 - \frac{k+2}{(k+2)(k+1)!} + \frac{k+1}{(k+2)!} = 1 - \frac{k+2}{(k+2)!} + \frac{k+1}{(k+2)!}$.
Объединим дроби:
$1 - \left(\frac{k+2}{(k+2)!} - \frac{k+1}{(k+2)!}\right) = 1 - \frac{(k+2)-(k+1)}{(k+2)!} = 1 - \frac{1}{(k+2)!}$.
Мы получили правую часть равенства для $n=k+1$. Следовательно, по принципу математической индукции, исходное равенство верно для всех натуральных $n$.
Ответ: Равенство доказано.
Другие задания:
Помогло решение? Оставьте отзыв в комментариях ниже.
Присоединяйтесь к Телеграм-группе @top_gdz
ПрисоединитьсяМы подготовили для вас ответ c подробным объяснением домашего задания по алгебре за 9 класс, для упражнения номер 346 расположенного на странице 105 к учебнику 2019 года издания для учащихся школ и гимназий.
Теперь на нашем сайте ГДЗ.ТОП вы всегда легко и бесплатно найдёте условие с правильным ответом на вопрос «Как решить ДЗ» и «Как сделать» задание по алгебре к упражнению №346 (с. 105), авторов: Солтан (Генадий Николаевич), Солтан (Алла Евгеньевна), Жумадилова (Аманбала Жумадиловна), учебного пособия издательства Кокшетау.