Номер 352, страница 106 - гдз по алгебре 9 класс учебник Солтан, Солтан

Авторы: Солтан Г. Н., Солтан А. Е., Жумадилова А. Ж.
Тип: Учебник
Издательство: Кокшетау
Год издания: 2019 - 2025
Цвет обложки:
ISBN: 978-601-317-424-2
Рекомендовано Министерством образования и науки Республики Казахстан
Популярные ГДЗ в 9 классе
14. Метод математической индукции. III. Последовательности - номер 352, страница 106.
№352 (с. 106)
Условие. №352 (с. 106)
скриншот условия

352. Для последовательности $(b_n)$, заданной перечислением ее членов, докажите формулу суммы $n$ первых членов:
a) $S_n = \frac{n(n+1)(2n+1)}{6}$, если $(b_n): 1^2; 2^2; 3^2; \ldots; n^2;$
б) $S_n = \frac{n(4n^2-1)}{3}$, если $(b_n): 1^2; 3^2; \ldots; (2n-1)^2;$
в) $S_n = \frac{2n(n+1)(2n+1)}{3}$, если $(b_n): 2^2; 4^2; \ldots; (2n)^2;$
Решение. №352 (с. 106)


Решение 2 (rus). №352 (с. 106)
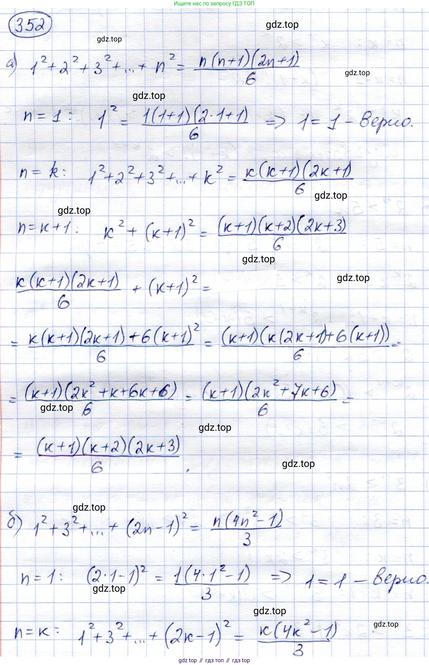
а) Докажем формулу $S_n = \sum_{k=1}^{n} k^2 = \frac{n(n+1)(2n+1)}{6}$ методом математической индукции.
1. База индукции (проверка для n=1):
При $n=1$, левая часть формулы (сумма) равна $S_1 = 1^2 = 1$.
Правая часть формулы равна $\frac{1 \cdot (1+1) \cdot (2 \cdot 1+1)}{6} = \frac{1 \cdot 2 \cdot 3}{6} = 1$.
Так как $1 = 1$, формула верна для $n=1$.
2. Индукционное предположение (предположение для n=k):
Предположим, что формула верна для некоторого натурального числа $n=k$, то есть:
$S_k = 1^2 + 2^2 + \dots + k^2 = \frac{k(k+1)(2k+1)}{6}$
3. Индукционный шаг (доказательство для n=k+1):
Докажем, что если формула верна для $n=k$, то она верна и для $n=k+1$. То есть, нам нужно доказать, что $S_{k+1} = \frac{(k+1)((k+1)+1)(2(k+1)+1)}{6} = \frac{(k+1)(k+2)(2k+3)}{6}$.
Рассмотрим сумму $S_{k+1}$:
$S_{k+1} = 1^2 + 2^2 + \dots + k^2 + (k+1)^2 = S_k + (k+1)^2$.
Используя индукционное предположение для $S_k$, получаем:
$S_{k+1} = \frac{k(k+1)(2k+1)}{6} + (k+1)^2$.
Приведем к общему знаменателю и вынесем общий множитель $(k+1)$:
$S_{k+1} = (k+1) \left( \frac{k(2k+1)}{6} + k+1 \right) = (k+1) \left( \frac{k(2k+1) + 6(k+1)}{6} \right)$.
$S_{k+1} = (k+1) \left( \frac{2k^2+k+6k+6}{6} \right) = \frac{(k+1)(2k^2+7k+6)}{6}$.
Разложим квадратный трехчлен $2k^2+7k+6$ на множители: $2k^2+7k+6 = (k+2)(2k+3)$.
Подставим разложение в выражение для $S_{k+1}$:
$S_{k+1} = \frac{(k+1)(k+2)(2k+3)}{6}$.
Это и есть формула для $n=k+1$. Индукционный шаг доказан.
Таким образом, по принципу математической индукции, формула верна для любого натурального $n$.
Ответ: Формула доказана.
б) Докажем формулу $S_n = \sum_{k=1}^{n} (2k-1)^2 = \frac{n(4n^2-1)}{3}$ методом математической индукции.
1. База индукции (проверка для n=1):
При $n=1$, левая часть формулы (сумма) равна $S_1 = (2 \cdot 1-1)^2 = 1^2 = 1$.
Правая часть формулы равна $\frac{1 \cdot (4 \cdot 1^2 - 1)}{3} = \frac{1 \cdot 3}{3} = 1$.
Так как $1 = 1$, формула верна для $n=1$.
2. Индукционное предположение (предположение для n=k):
Предположим, что формула верна для некоторого натурального числа $n=k$, то есть:
$S_k = 1^2 + 3^2 + \dots + (2k-1)^2 = \frac{k(4k^2-1)}{3}$.
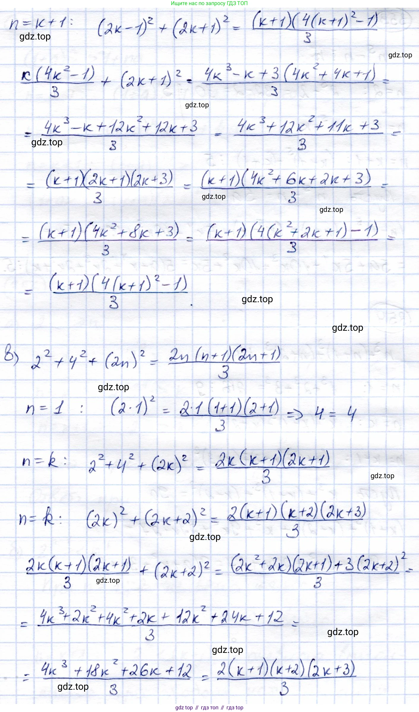
3. Индукционный шаг (доказательство для n=k+1):
Докажем, что если формула верна для $n=k$, то она верна и для $n=k+1$. Нам нужно доказать, что $S_{k+1} = \frac{(k+1)(4(k+1)^2-1)}{3}$.
Рассмотрим сумму $S_{k+1}$:
$S_{k+1} = 1^2 + 3^2 + \dots + (2k-1)^2 + (2(k+1)-1)^2 = S_k + (2k+1)^2$.
Используя индукционное предположение для $S_k$, получаем:
$S_{k+1} = \frac{k(4k^2-1)}{3} + (2k+1)^2$.
Используем формулу разности квадратов $4k^2-1 = (2k-1)(2k+1)$:
$S_{k+1} = \frac{k(2k-1)(2k+1)}{3} + (2k+1)^2$.
Вынесем общий множитель $(2k+1)$:
$S_{k+1} = (2k+1) \left( \frac{k(2k-1)}{3} + (2k+1) \right) = (2k+1) \left( \frac{2k^2-k + 3(2k+1)}{3} \right)$.
$S_{k+1} = (2k+1) \frac{2k^2-k+6k+3}{3} = \frac{(2k+1)(2k^2+5k+3)}{3}$.
Разложим квадратный трехчлен $2k^2+5k+3$ на множители: $2k^2+5k+3 = (k+1)(2k+3)$.
Подставим разложение в выражение для $S_{k+1}$:
$S_{k+1} = \frac{(k+1)(2k+1)(2k+3)}{3}$.
Теперь преобразуем правую часть целевой формулы для $n=k+1$: $\frac{(k+1)(4(k+1)^2-1)}{3}$.
$4(k+1)^2-1 = (2(k+1))^2-1^2 = (2(k+1)-1)(2(k+1)+1) = (2k+1)(2k+3)$.
Значит, правая часть равна $\frac{(k+1)(2k+1)(2k+3)}{3}$, что совпадает с нашим результатом. Индукционный шаг доказан.
Таким образом, по принципу математической индукции, формула верна для любого натурального $n$.
Ответ: Формула доказана.
в) Докажем формулу $S_n = \sum_{k=1}^{n} (2k)^2 = \frac{2n(n+1)(2n+1)}{3}$.
Способ 1: Использование результата из пункта а).
Сумма квадратов первых $n$ четных чисел:
$S_n = 2^2 + 4^2 + \dots + (2n)^2 = \sum_{k=1}^{n} (2k)^2 = \sum_{k=1}^{n} 4k^2$.
Вынесем константу 4 за знак суммы:
$S_n = 4 \sum_{k=1}^{n} k^2 = 4(1^2+2^2+\dots+n^2)$.
Из пункта а) известно, что $\sum_{k=1}^{n} k^2 = \frac{n(n+1)(2n+1)}{6}$.
Подставим эту формулу:
$S_n = 4 \cdot \frac{n(n+1)(2n+1)}{6} = \frac{2n(n+1)(2n+1)}{3}$.
Способ 2: Метод математической индукции.
1. База индукции (проверка для n=1):
При $n=1$, левая часть формулы (сумма) равна $S_1 = (2 \cdot 1)^2 = 4$.
Правая часть формулы равна $\frac{2 \cdot 1 \cdot (1+1) \cdot (2 \cdot 1+1)}{3} = \frac{2 \cdot 2 \cdot 3}{3} = 4$.
Так как $4 = 4$, формула верна для $n=1$.
2. Индукционное предположение (предположение для n=k):
Предположим, что формула верна для некоторого натурального числа $n=k$, то есть:
$S_k = 2^2 + 4^2 + \dots + (2k)^2 = \frac{2k(k+1)(2k+1)}{3}$.
3. Индукционный шаг (доказательство для n=k+1):
Докажем, что если формула верна для $n=k$, то она верна и для $n=k+1$. Нам нужно доказать, что $S_{k+1} = \frac{2(k+1)(k+2)(2k+3)}{3}$.
Рассмотрим сумму $S_{k+1}$:
$S_{k+1} = 2^2 + 4^2 + \dots + (2k)^2 + (2(k+1))^2 = S_k + 4(k+1)^2$.
Используя индукционное предположение для $S_k$, получаем:
$S_{k+1} = \frac{2k(k+1)(2k+1)}{3} + 4(k+1)^2$.
Вынесем общий множитель $2(k+1)$:
$S_{k+1} = 2(k+1) \left( \frac{k(2k+1)}{3} + 2(k+1) \right) = 2(k+1) \left( \frac{2k^2+k + 6(k+1)}{3} \right)$.
$S_{k+1} = 2(k+1) \left( \frac{2k^2+k+6k+6}{3} \right) = \frac{2(k+1)(2k^2+7k+6)}{3}$.
Как мы уже находили в пункте а), $2k^2+7k+6 = (k+2)(2k+3)$.
Подставим разложение в выражение для $S_{k+1}$:
$S_{k+1} = \frac{2(k+1)(k+2)(2k+3)}{3}$.
Это и есть формула для $n=k+1$. Индукционный шаг доказан.
Таким образом, обоими способами мы доказали, что формула верна для любого натурального $n$.
Ответ: Формула доказана.
Другие задания:
Помогло решение? Оставьте отзыв в комментариях ниже.
Присоединяйтесь к Телеграм-группе @top_gdz
ПрисоединитьсяМы подготовили для вас ответ c подробным объяснением домашего задания по алгебре за 9 класс, для упражнения номер 352 расположенного на странице 106 к учебнику 2019 года издания для учащихся школ и гимназий.
Теперь на нашем сайте ГДЗ.ТОП вы всегда легко и бесплатно найдёте условие с правильным ответом на вопрос «Как решить ДЗ» и «Как сделать» задание по алгебре к упражнению №352 (с. 106), авторов: Солтан (Генадий Николаевич), Солтан (Алла Евгеньевна), Жумадилова (Аманбала Жумадиловна), учебного пособия издательства Кокшетау.