Номер 351, страница 105 - гдз по алгебре 9 класс учебник Солтан, Солтан

Авторы: Солтан Г. Н., Солтан А. Е., Жумадилова А. Ж.
Тип: Учебник
Издательство: Кокшетау
Год издания: 2019 - 2025
Цвет обложки:
ISBN: 978-601-317-424-2
Рекомендовано Министерством образования и науки Республики Казахстан
Популярные ГДЗ в 9 классе
14. Метод математической индукции. III. Последовательности - номер 351, страница 105.
№351 (с. 105)
Условие. №351 (с. 105)
скриншот условия

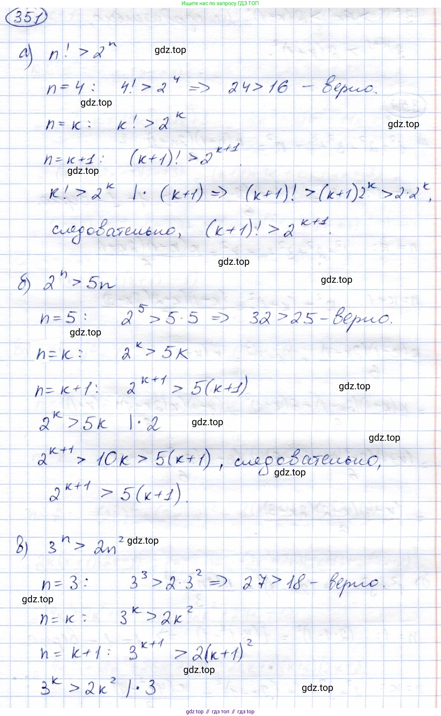
351. Докажите, что верно неравенство для указанных натуральных значений $n$:
а) $n! > 2^n$ при $n \ge 4$;
б) $2^n > 5n$ при $n \ge 5$;
в) $3^n > 2n^2$ при $n \ge 3$.
Решение. №351 (с. 105)


Решение 2 (rus). №351 (с. 105)
а) Докажем неравенство $n! > 2^n$ при $n \ge 4$ методом математической индукции.
1. База индукции. Проверим утверждение для $n=4$. Имеем $4! = 24$ и $2^4 = 16$. Поскольку $24 > 16$, неравенство для $n=4$ выполняется.
2. Индукционный шаг. Предположим, что неравенство верно для некоторого натурального числа $k \ge 4$, то есть выполняется $k! > 2^k$ (индукционное предположение). Докажем, что из этого следует верность неравенства для $n = k+1$, то есть $(k+1)! > 2^{k+1}$.
Преобразуем левую часть доказываемого неравенства: $(k+1)! = (k+1) \cdot k!$. Используя индукционное предположение, получаем: $(k+1)! > (k+1) \cdot 2^k$.
Так как по условию $k \ge 4$, то $k+1 \ge 5$. Отсюда следует, что $k+1 > 2$. Умножив обе части этого неравенства на положительное число $2^k$, получим: $(k+1) \cdot 2^k > 2 \cdot 2^k = 2^{k+1}$.
Таким образом, мы построили цепочку неравенств: $(k+1)! > (k+1) \cdot 2^k > 2^{k+1}$, из которой следует, что $(k+1)! > 2^{k+1}$.
Индукционный шаг доказан. По принципу математической индукции, неравенство верно для всех натуральных $n \ge 4$.
Ответ: Неравенство $n! > 2^n$ доказано для всех натуральных $n \ge 4$.
б) Докажем неравенство $2^n > 5n$ при $n \ge 5$ методом математической индукции.
1. База индукции. Проверим утверждение для $n=5$. Имеем $2^5 = 32$ и $5 \cdot 5 = 25$. Поскольку $32 > 25$, неравенство для $n=5$ выполняется.
2. Индукционный шаг. Предположим, что неравенство верно для некоторого натурального числа $k \ge 5$, то есть $2^k > 5k$ (индукционное предположение). Докажем, что тогда оно верно и для $n = k+1$, то есть $2^{k+1} > 5(k+1)$.
Преобразуем левую часть: $2^{k+1} = 2 \cdot 2^k$. Используя индукционное предположение, получаем: $2^{k+1} > 2 \cdot (5k) = 10k$.
Теперь нам нужно показать, что $10k > 5(k+1)$, то есть $10k > 5k + 5$. Вычитая $5k$ из обеих частей, получаем $5k > 5$, или $k > 1$.
Поскольку по условию индукции $k \ge 5$, то условие $k > 1$ очевидно выполняется. Следовательно, $10k > 5(k+1)$ для всех рассматриваемых $k$.
Таким образом, мы построили цепочку неравенств: $2^{k+1} > 10k > 5(k+1)$, из которой следует, что $2^{k+1} > 5(k+1)$.
Индукционный шаг доказан. По принципу математической индукции, неравенство верно для всех натуральных $n \ge 5$.
Ответ: Неравенство $2^n > 5n$ доказано для всех натуральных $n \ge 5$.
в) Докажем неравенство $3^n > 2n^2$ при $n \ge 3$ методом математической индукции.
1. База индукции. Проверим утверждение для $n=3$. Имеем $3^3 = 27$ и $2 \cdot 3^2 = 2 \cdot 9 = 18$. Поскольку $27 > 18$, неравенство для $n=3$ выполняется.
2. Индукционный шаг. Предположим, что неравенство верно для некоторого натурального числа $k \ge 3$, то есть $3^k > 2k^2$ (индукционное предположение). Докажем, что тогда оно верно и для $n = k+1$, то есть $3^{k+1} > 2(k+1)^2$.
Преобразуем левую часть: $3^{k+1} = 3 \cdot 3^k$. Используя индукционное предположение, получаем: $3^{k+1} > 3 \cdot (2k^2) = 6k^2$.
Теперь нам нужно показать, что $6k^2 > 2(k+1)^2$. Раскроем скобки в правой части: $2(k+1)^2 = 2(k^2 + 2k + 1) = 2k^2 + 4k + 2$.
Таким образом, требуется доказать неравенство $6k^2 > 2k^2 + 4k + 2$, что равносильно $4k^2 - 4k - 2 > 0$, или $2k^2 - 2k - 1 > 0$.
Рассмотрим функцию $f(k) = 2k^2 - 2k - 1$. Это парабола с ветвями вверх. Найдем ее корни: $k = \frac{2 \pm \sqrt{4 - 4 \cdot 2 \cdot (-1)}}{4} = \frac{2 \pm \sqrt{12}}{4} = \frac{1 \pm \sqrt{3}}{2}$. Больший корень $k_2 = \frac{1 + \sqrt{3}}{2} \approx 1.366$.
Неравенство $2k^2 - 2k - 1 > 0$ выполняется для $k > k_2$. Поскольку по условию индукции $k \ge 3$, а $3 > 1.366$, то неравенство $2k^2 - 2k - 1 > 0$ истинно для всех рассматриваемых $k$.
Следовательно, мы построили цепочку неравенств: $3^{k+1} > 6k^2 > 2(k+1)^2$, из которой следует, что $3^{k+1} > 2(k+1)^2$.
Индукционный шаг доказан. По принципу математической индукции, неравенство верно для всех натуральных $n \ge 3$.
Ответ: Неравенство $3^n > 2n^2$ доказано для всех натуральных $n \ge 3$.
Другие задания:
Помогло решение? Оставьте отзыв в комментариях ниже.
Присоединяйтесь к Телеграм-группе @top_gdz
ПрисоединитьсяМы подготовили для вас ответ c подробным объяснением домашего задания по алгебре за 9 класс, для упражнения номер 351 расположенного на странице 105 к учебнику 2019 года издания для учащихся школ и гимназий.
Теперь на нашем сайте ГДЗ.ТОП вы всегда легко и бесплатно найдёте условие с правильным ответом на вопрос «Как решить ДЗ» и «Как сделать» задание по алгебре к упражнению №351 (с. 105), авторов: Солтан (Генадий Николаевич), Солтан (Алла Евгеньевна), Жумадилова (Аманбала Жумадиловна), учебного пособия издательства Кокшетау.