Номер 344, страница 104 - гдз по алгебре 9 класс учебник Солтан, Солтан

Авторы: Солтан Г. Н., Солтан А. Е., Жумадилова А. Ж.
Тип: Учебник
Издательство: Кокшетау
Год издания: 2019 - 2025
Цвет обложки:
ISBN: 978-601-317-424-2
Рекомендовано Министерством образования и науки Республики Казахстан
Популярные ГДЗ в 9 классе
14. Метод математической индукции. III. Последовательности - номер 344, страница 104.
№344 (с. 104)
Условие. №344 (с. 104)
скриншот условия

344. Докажите, что сумма $S_n$ первых $n$ членов последовательности $(c_n)$ можно найти по формуле:
а) $S_n = n(n+1)$, если $(c_n)$ – последовательность четных натуральных чисел;
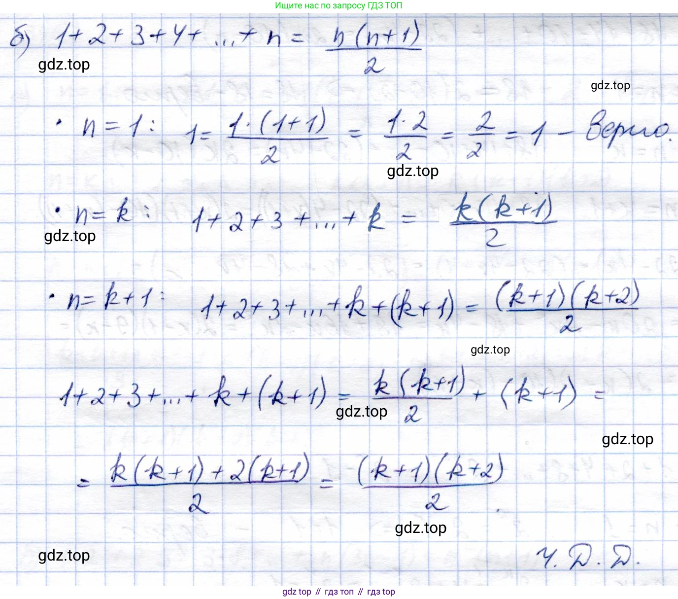
б) $S_n = \frac{n(n+1)}{2}$, если $(c_n)$ – последовательность натуральных чисел.
Решение. №344 (с. 104)


Решение 2 (rus). №344 (с. 104)
а) Необходимо доказать, что сумма $S_n$ первых $n$ членов последовательности $(c_n)$ равна $S_n = n(n + 1)$, если $(c_n)$ — последовательность четных натуральных чисел.
Последовательность четных натуральных чисел — это 2, 4, 6, 8, ... .
Эта последовательность представляет собой арифметическую прогрессию, у которой первый член $c_1 = 2$, а разность $d = 2$.
Общий член этой последовательности можно выразить формулой $c_n = 2n$.
Сумма первых $n$ членов арифметической прогрессии находится по формуле:$S_n = \frac{c_1 + c_n}{2} \cdot n$
Подставим значения для нашей последовательности: $c_1 = 2$ и $c_n = 2n$.
$S_n = \frac{2 + 2n}{2} \cdot n$
Вынесем общий множитель 2 в числителе и сократим дробь:
$S_n = \frac{2(1 + n)}{2} \cdot n = (1 + n)n = n(n + 1)$
Таким образом, формула доказана.
Ответ: Что и требовалось доказать.
б) Необходимо доказать, что сумма $S_n$ первых $n$ членов последовательности $(c_n)$ равна $S_n = \frac{n(n + 1)}{2}$, если $(c_n)$ — последовательность натуральных чисел.
Последовательность натуральных чисел — это 1, 2, 3, 4, ... .
Эта последовательность также является арифметической прогрессией, у которой первый член $c_1 = 1$, а разность $d = 1$.
Общий член этой последовательности: $c_n = n$.
Воспользуемся формулой суммы первых $n$ членов арифметической прогрессии:
$S_n = \frac{c_1 + c_n}{2} \cdot n$
Подставим значения для последовательности натуральных чисел: $c_1 = 1$ и $c_n = n$.
$S_n = \frac{1 + n}{2} \cdot n = \frac{n(n + 1)}{2}$
Таким образом, формула доказана.
Ответ: Что и требовалось доказать.
Другие задания:
Помогло решение? Оставьте отзыв в комментариях ниже.
Присоединяйтесь к Телеграм-группе @top_gdz
ПрисоединитьсяМы подготовили для вас ответ c подробным объяснением домашего задания по алгебре за 9 класс, для упражнения номер 344 расположенного на странице 104 к учебнику 2019 года издания для учащихся школ и гимназий.
Теперь на нашем сайте ГДЗ.ТОП вы всегда легко и бесплатно найдёте условие с правильным ответом на вопрос «Как решить ДЗ» и «Как сделать» задание по алгебре к упражнению №344 (с. 104), авторов: Солтан (Генадий Николаевич), Солтан (Алла Евгеньевна), Жумадилова (Аманбала Жумадиловна), учебного пособия издательства Кокшетау.